1. 서 론
2. 하천 제방의 안정해석
2.1 2차원 침투해석
2.2 사면안정 해석
3. 기계학습 기반의 대리 모델 구축
3.1 ML 모델 학습 및 검증
3.2 대리 모델의 성능 평가
4. 확률론적 해석 절차
5. 제방의 확률론적 거동해석
5.1 지반물성과 해석조건
5.2 결정론적 해석
5.3 확률론적 해석
6. 결 론
1. 서 론
하천 제방은 홍수로 인한 재해를 예방하기에 충분한 안전성을 확보해야 한다. 이에 따라 제방의 안전성 평가는 구조적 결함 혹은 외부 요인에 의해 발생할 수 있는 사고의 가능성과 그 영향을 분석함으로써, 잠재적 위험을 사전에 인지하고 합리적인 개선 대책을 수립하기 위한 홍수 위험도 분석의 핵심 요소로 인식되고 있다. 하천 제방의 위험도를 합리적으로 평가하기 위해서는 수리·수문학적 요인뿐만 아니라, 침투에 의한 내적 침식 및 사면 불안정과 같은 지반공학적 요인을 종합적으로 고려한 확률론적 안정성 평가가 필수적이다(Ahn, 2009; Nam et al., 2017; Cho, 2022).
전통적으로 하천 제방의 지반공학적 안정해석은 결정론적 접근 방법에 따라 수행되었다. 그러나 결정론적 해석은 홍수 시 제방의 거동에 영향을 미치는 제체 및 기초 지반의 수리학적, 역학적 특성의 불확실성을 충분히 고려하지 못한다. 이러한 한계를 극복하기 위해, 제방의 다양한 파괴 메커니즘의 분석에 확률론적 기법을 적용하는 연구가 꾸준히 수행되었다(e.g., Fenton and Griffiths, 1997; Cho, 2007; Sharafati et al., 2020; Cho, 2022).
지반공학 분야에서 수치해석 기법은 지반의 복잡한 수리학적 및 역학적 거동을 분석하는 유용한 도구로 오랫동안 활용됐으며, 사면 안정해석, 지반구조물의 침투 및 변형 해석 등 다양한 문제에 적용되고 있다. 일반적으로 수치 시뮬레이션은 기하학적 모델링, 적절한 구성 모델의 선정, 요소 생성, 경계조건의 설정, 그리고 결과의 후처리 과정을 포함한다. 이러한 해석 절차는 상당한 시간과 노력이 요구될 뿐만 아니라, 각 단계에서의 정확성을 확보하기 위해 고도의 전문 지식이 필요하다. 특히 지반공학 문제의 상당수는 강한 비선형 거동을 나타내므로, 수치해석을 통해 정확하고 신뢰성 있는 해를 도출하기 위해서는 반복적인 계산과 많은 계산 시간이 요구된다(Gao et al., 2025). 컴퓨터 성능의 비약적인 향상으로 계산 속도는 크게 증가하였으나, 동시에 해석 기법의 발전으로 해석 모델이 점차 복잡해지고 대규모화됨에 따라 요구되는 계산량 또한 증가하였다. 그 결과, 실제 공학적 문제를 해결하기 위한 수치해석에는 여전히 상당한 시간과 노력이 소요되고 있는 실정이다.
기계학습(Machine Learning, ML)은 컴퓨터가 경험적 데이터로부터 스스로 학습하도록 하는 인공지능 기법이다. ML 알고리즘은 사전에 명시적으로 정의된 수식을 모델로 사용하지 않고, 입력 데이터와 출력 데이터 간에 존재하는 잠재적인 패턴이나 관계를 학습하여 이를 기반으로 새로운 샘플을 분류하거나 예측한다. 이러한 ML 기법은 지반공학 분야에서도 다양한 문제에 성공적으로 적용되어 왔다(Cho, 2009; Puri et al., 2018; Rauter and Tschuchnigg, 2021; Wu et al., 2021; Zhang et al., 2022; Kang et al., 2024).
특히 ML 기법은 수치 시뮬레이션의 입력 변수와 출력 응답 간의 복잡한 비선형 관계를 효과적으로 모사하는 데 활용될 수 있으며(Zheng et al., 2021; Mitelman et al., 2023; Gao et al., 2025), 이를 통해 기존 수치해석의 계산 비용 및 시간적 제약을 극복할 수 있는 잠재력을 지니고 있다. 제한된 수의 수치해석 결과를 학습 데이터로 활용하여 정확하고 신뢰성 있는 실용적 대리 모델(surrogate model)을 구축할 수 있다면, 지반공학 엔지니어링 실무에서 수치 시뮬레이션의 활용 범위는 크게 확대될 것으로 기대된다.
본 연구의 목적은 ML 기반 대리 모델을 구축하고 이를 활용하여 하천 제방의 확률론적 안정해석을 효율적으로 수행할 수 있는 방법론을 제시하는 데 있다. 이를 통해 제방의 위험도 및 성능 평가 과정에서 요구되는 반복적인 수치 시뮬레이션의 적용을 쉽게 하고자 한다.
2. 하천 제방의 안정해석
본 연구에서는 제방의 침투 및 사면안정 거동을 해석하기 위하여, 유한요소법 기반의 침투해석과 한계평형법 기반의 사면 안정해석을 연계하여 수행하는 GeoStudio(2012)를 사용하였다.
2.1 2차원 침투해석
흙의 포화 흐름과 마찬가지로 불포화 흐름에도 Darcy의 법칙이 적용된다(Richards, 1931). 층류 흐름에서, 임의 지점의 유속 와 동수경사 는 다음과 같은 관계를 갖는다.
여기서, (m/sec)는 투수계수이다.
지반으로의 2차원 정상상태 흐름은 다음과 같은 식으로 표현된다.
여기서, (m)는 전수두, (m/sec)와 (m/sec)는 와 방향의 투수계수, (m/sec)는 경계유량(boundary flux)이다.
식 (1)의 일반화된 Darcy의 법칙에서 불포화 투수계수 는 모관흡수력이나 포화도에 따라 변하는 값이다. 이를 표현하기 위한 투수계수 함수가 다양한 형태로 제안되었으며, 본 연구에서는 유효포화도 로 표현되는 van Genuchten-Mualem 모델(Mualem, 1976; van Genuchten, 1980)을 적용하였다.
여기서, , , (kPa)는 모관흡수력, (무차원)는 모관흡수력 의 함수인 체적함수비, (무차원)은 잔류체적함수비, (무차원)는 포화체적함수비, (무차원), (무차원), (kPa-1)는 변수이며, (m/sec)는 흙의 포화투수계수이다.
식 (2)에 대한 유한요소법 기반의 2차원 정상상태 흐름해석을 수행하면, 제체 내에 형성되는 동수경사 분포를 통해 파이핑 발생 가능성을 평가할 수 있다. 파이핑에 대한 안정성 검토에는 한계동수경사에 의한 방법과 한계유속에 의한 방법, 크리프비에 의한 방법 등이 주로 사용된다(Kim et al., 2016). 본 연구에서는 Terzaghi의 유효응력 개념에 근거한 한계동수경사에 의한 방법을 적용하였다.
또한, 계산된 간극수압 분포를 사면 안정해석의 입력 자료로 활용함으로써 사면의 안전율을 산정할 수 있다.
2.2 사면안정 해석
한계평형법 기반의 사면 안정해석은 파괴 직전 상태에서 활동 토체가 만족해야 하는 평형 조건을 바탕으로 사면의 안전율을 산정한다. 이때 안전율은 특정 활동면을 따라 발휘할 수 있는 흙의 전단강도를 실제로 작용하는 전단응력으로 나눈 비로 정의되며, 계산된 안전율이 허용 기준을 초과하면 해당 사면은 안정한 것으로 평가된다. 한계평형법을 이용한 사면 안정해석에서는 최소 안전율을 나타내는 임계 활동면을 도출하기 위해 반복적인 계산 과정이 필요하며, 이를 위해 다양한 활동면 탐색 기법이 활용된다. 본 연구에서는 원호 형태의 파괴면을 가정하는 Bishop 방법을 적용하여 사면 안정해석을 수행하였다.
한편, 기존 연구에서는 포화 및 불포화 영역의 전단강도 특성을 반영하기 위해 모관흡수력을 고려한 확장된 Mohr–Coulomb 파괴 기준이 제안된 바 있다(Fredlund et al., 1978). 제체에서 모관흡수력에 의한 전단강도 증가는 불포화 영역인 침윤선 상부를 통과하는 파괴면에서 발현되므로 수위가 낮을수록 영향이 크지만, 모관흡수력에 따른 전단강도 증가율을 나타내는 정수인 는 점착력 및 내부마찰각에 비하여 사면 안전율에 미치는 영향이 훨씬 작은 것으로 보고되었다(Siacara et al., 2020). 제방 사면 안정해석에서는 일반적으로 보수적인 해석을 수행하기 위해 모관흡수력에 따른 전단강도 증가 효과를 고려하지 않는 접근법이 널리 사용된다. 이에 따라 본 연구에서도 불포화 상태에서의 전단강도 증가는 해석에 포함하지 않았다.
3. 기계학습 기반의 대리 모델 구축
기계학습 모델을 이용한 대리 모델 구축을 위해서는 학습용 데이터베이스의 체계적인 구성이 필수적이며, 이 과정에서 입력 및 출력 매개변수의 합리적인 선정이 핵심적인 요소로 작용한다. 입력 매개변수는 수치해석 모델의 특성을 고유하게 규정하고 해석 결과에 지배적인 영향을 미치는 주요 인자로 구성되어야 한다. 일반적으로 이러한 매개변수에는 기하학적 형상 및 규모, 재료 물성, 경계조건, 하중 조건, 그리고 시간 관련 변수가 포함된다. 그러나 입력 매개변수의 수가 과도하게 증가하면 모델의 복잡성이 증대되어 학습 효율과 예측성능이 저하될 수 있으므로, 입력 공간의 차원을 축소하고 대표적인 핵심 매개변수를 중심으로 데이터베이스를 구성하는 것이 바람직하다. 출력 매개변수는 수치해석을 통해 산정된 결과로 정의된다.
본 연구에서는 MATLAB(MathWorks, 2025) 환경에서 제공되는 기계학습 도구를 활용하여 수치해석 결과를 기반으로 한 대리 모델을 구축하였다. 기계학습 절차는 데이터 전처리, 학습 데이터 분할, 모델 학습, 성능 검증, 그리고 최종 모델 선정의 단계로 구성된다.
3.1 ML 모델 학습 및 검증
ML 알고리즘은 일반적으로 지도 학습(supervised learning), 비지도 학습(unsupervised learning), 강화 학습(reinforcement learning)으로 분류할 수 있다. ML의 기본적인 학습 방식인 지도 학습은 레이블이 지정된 데이터 집합을 이용하여 모델을 학습하고 예측을 수행하는 방법으로, 주로 회귀 및 분류 문제에 적용된다. 반면, 비지도 학습은 레이블이 없는 데이터로부터 내재된 패턴이나 구조를 탐색하는 데 목적이 있으며, 주로 군집화(clustering) 분석에 활용된다(Gao et al., 2025). 강화 학습은 알고리즘이 환경과의 상호작용을 통해 학습을 수행하고, 특정 행동에 대해 보상 또는 페널티 형태의 피드백을 받는 방식으로, 대표적인 적용 사례로는 비디오 게임 분야가 있다(Gao et al., 2025).
ML 알고리즘을 이용하여 수치 시뮬레이션의 입력 변수와 출력 응답 간의 관계를 모사하는 대리 모델을 구축하는 과정은 전형적인 회귀 문제에 해당한다. 지도 학습 기반의 회귀 분석에 활용될 수 있는 알고리즘으로는 선형회귀(Linear Regression), 회귀 트리(Regression Trees), SVM(Support Vector Machine), GPR(Gaussian Process Regression), 그리고 신경망(Neural Network, NN) 등이 있다.
본 연구에서 학습 및 검증에 사용된 입력·출력 데이터 중 투수계수는 넓은 변동 범위와 비대칭적인 분포 특성을 나타내므로, 상용로그 스케일로 변환하여 분석에 활용하였다. 전체 데이터는 학습 및 검증용 데이터 90%와 시험용 데이터 10%로 구분하였으며, 해당 학습 데이터로 5겹의 교차검증(5-fold cross-validation)을 수행하였다. 즉, 학습 데이터를 5개의 하위 집합으로 분할하고, 각 반복에서 4개의 하위 집합은 모델 학습에, 나머지 1개는 검증에 사용하여 모델을 학습시킨 후 성능의 평균을 내는 방식이다. 이를 통해 과적합(overfitting)을 최소화하고, 구축된 모델의 일반화 성능을 확보하고자 하였다. 이후 교차검증을 통해 학습된 최종 모델을 사용하여, 학습 과정에 전혀 사용되지 않은 나머지 10%의 데이터로 독립적인 테스트를 수행하여 예측성능을 평가하였다.
3.2 대리 모델의 성능 평가
학습된 모델의 예측 성능 평가는 평균 제곱근 오차(Root Mean Square Error, RMSE)와 결정계수(Coefficient of Determination, R2)와 같은 통계적 지표를 사용하여 수행하였다. RMSE는 예측값과 관측값 간의 오차를 제곱하여 평균을 구한 평균제곱오차(Mean Square Error, MSE)에 제곱근을 취해 산정되는 지표로, 예측값이 평균적으로 실제값에서 얼마나 벗어나는지를 나타내며 단위는 원래 변수의 단위와 같다. 일반적으로 RMSE가 작을수록 모델의 예측 정확도는 높은 것으로 판단된다.
결정계수 R2은 회귀 모델에서 독립변수가 종속변수의 변동성을 얼마나 잘 설명하는지를 나타내는 지표로, 그 값은 0과 1 사이의 범위를 가지며 1에 가까울수록 모델의 설명력이 높고 회귀선이 관측 데이터에 잘 적합됨을 의미한다(Kang et al., 2024).
여기서, 는 실제값, 는 예측값, 는 실제값의 평균, 은 데이터의 개수를 나타낸다.
검증 데이터와 시험 데이터를 대상으로 산정된 예측 결과를 실제 수치해석 결과와 대조함으로써 대리 모델의 예측 정확도와 신뢰성을 평가하였다. 이를 바탕으로 예측성능이 뛰어나고 계산 효율이 높은 모델을 최종적으로 선정하여, 제방의 확률론적 안정해석을 수행하기 위한 MCS(Monte Carlo Simulation)에 적용하였다.
4. 확률론적 해석 절차
확률론적 해석을 적용하면 지반 물성치, 즉 흙의 수리학적 및 역학적 특성값의 불확실성이 해석 결과에 어느 정도 영향을 미치는지 정량적으로 평가할 수 있다. 본 연구에서는 난수를 기반으로 확률적 문제를 해결하는 MCS를 이용하여 확률론적 해석을 수행하였다. MCS는 비선형성 및 복잡한 파괴 메커니즘을 직접적으로 반영할 수 있는 가장 일반적인 확률론적 해석 기법이다. 그러나 매우 작은 파괴확률을 안정적으로 추정하기 위해서는 과도한 계산 비용이 요구되는 한계가 있으므로, 본 연구에서는 ML 기반 대리 모델과 MCS를 결합하여 계산 효율을 높이고자 하였다.
Fig. 1은 ML 기반의 대리 모델을 활용한 제방의 확률론적 안정해석 절차를 개략적으로 나타낸 것이다. 기계학습에 사용되는 데이터는 반복적인 수치해석을 통해 생성하였다. 이 과정에서 수치해석 입력값 중 불확실성이 고려되는 랜덤변수를 샘플링하기 위해 비교적 적은 샘플 수로도 넓은 변동 범위를 효과적으로 반영할 수 있는 LHS(Latin Hypercube Sampling)를 적용하였다. 랜덤변수로 정의된 수리학적 및 역학적 물성치를 입력값으로 반복적인 해석을 수행하기 위해, GeoStudio(2012)의 침투해석 모듈인 SEEP/W와 사면 안정해석 모듈인 SLOPE/W를 직접 연계하여 적용하는 연구 방법(Siacara et al., 2020; Cho, 2025)을 채택하였다.
최종적으로 구축된 대리 모델을 이용한 제방의 확률론적 안정해석은 MCS를 통해 수행된다. 이를 위해 랜덤변수로 설정된 지반 물성치의 평균, 표준편차, 확률분포 형태와 같은 통계적 특성을 기반으로 LHS를 이용한 대규모 랜덤 샘플을 생성하였다.
대리 모델 훈련을 위한 데이터 샘플링은 수치해석 결과의 응답면(response surface)을 근사하는 것이 목적이므로, 실험계획법 관점에서 입력 변수들의 확률분포나 상관관계를 반드시 반영할 필요는 없다. 즉, 이 단계에서는 변수 공간을 효율적으로 탐색하여 함수 근사 정확도를 확보하는 것이 핵심이다. 반면, MCS를 수행하기 위한 지반물성의 샘플링에서는 입력 변수들의 확률분포 형태와 상관관계가 확률론적 해석 결과에 직접적인 영향을 미치므로 이에 대한 고려가 필요하다. 특히 지반물성치는 가정한 확률분포에 따라 물리적으로 불가능한 값이 발생할 수 있으므로, 확률분포의 절단(truncation) 또는 합리적인 상·하한 설정을 통해 물리적 타당성을 확보할 필요가 있다.
5. 제방의 확률론적 거동해석
5.1 지반물성과 해석조건
본 연구에서 해석 대상으로 설정한 제방은 Cho(2025)에 제시된 제원을 기반으로 하였다. Fig. 2는 하상의 퇴적 기초층 위에 축조된 전형적인 제방 단면을 나타내며, 제방의 높이는 6m이고 사면의 기울기는 1:2.0이다. Kim(2006)은 침투해석 시 요소 크기에 따른 국부동수경사의 변화를 해석하여 요소의 크기를 제체높이의 1/10 이하, 대략 0.5m 이하로 설정하도록 국내 제방에 대하여 제안하였으므로 본 연구에서도 유출동수경사가 과소 평가되지 않도록 Fig. 2와 같이 요소망을 적용하였다.

Fig. 2
Levee cross-section and geological configuration for seepage and slope stability analysis (modified from Cho(2025))
침투해석 및 사면 안정해석에 사용된 지반 물성치는 Table 1에 정리된 값을 적용하였다. 문헌(Siacara et al., 2020)에 의하면 점착력의 변동계수는 10%~50%, 사질토에서 내부마찰각의 변동계수는 5%~15%인 것으로 알려져 있다. 투수계수는 변동계수가 통상 60~90% 정도이며(Duncan, 2000), 100%를 넘는 경우도 보고될 정도로 불확실성이 큰 변수로 알려져 있다.
Table 1.
Input soil parameters used for analysis (modified from Cho(2025))
Cho(2025)의 연구 결과에 따르면, 불포화 특성을 나타내는 변수(, , )의 불확실성은 제방의 유출 동수경사 및 사면 안전율의 확률분포에 미치는 영향이 매우 작아 통계적으로 유의미하지 않은 것으로 보고되었다. 반면, 제체 및 퇴적 기초층의 투수계수와 사면 안전율 간의 상관계수는 수위의 증가에 따라서 커지는 경향을 보였다. 이에 따라 본 연구에서는 침투해석에 사용되는 수리학적 특성과 사면 안정해석에 사용되는 전단강도 정수를 랜덤변수로 설정하여 불확실성을 고려하였다. 이들 변수는 대수정규분포(Lognormal distribution)를 따르는 것으로 가정하였다.
수위 변화에 따라 결정되는 제체 내부의 침윤선 위치와 간극수압 분포를 산정하기 위해서는 침투해석 시 지반의 함수특성곡선(water retention curve)과 투수계수 함수가 필요하다. 침윤선 상부에 있는 제체 재료(embankment)는 불포화 거동을 고려해야 하므로, 본 연구에서는 실트질 모래와 유사한 함수특성곡선과 투수계수 함수를 적용하였다(Table 1).
5.2 결정론적 해석
확률론적 해석에 앞서, 수위 변화에 따른 제체의 침투 및 사면안정 거동을 파악하기 위해 Table 1에 제시된 물성치의 평균값을 적용한 결정론적 해석을 수행하였다. Fig. 3은 수위가 11m일 때의 정상상태 침투 흐름과 이에 대응하는 제내지 사면 안정해석 결과를 나타낸다. 제체의 투수계수가 기초층의 투수계수보다 훨씬 작아서 침투수가 제체 선단 인접부에 집중적으로 유출되며, 해당 위치에서 발생하는 연직 동수경사(유출 동수경사, )가 제방의 침투 안정성에 큰 영향을 미치는 것으로 나타났다. 따라서, 유출동수경사 는 Fig. 2에 표시된 유출부 요소에서 계산된 연직동수경사 중 최대값을 대표값으로 정의하였다.
침투로 형성된 간극수압 분포를 고려한 사면 안정해석 결과, 파괴면은 제체와 기초층을 통과하여 형성되었으며, 계산된 사면 안전율은 1.36이다. 다른 수위에 대해서도 유사한 거동을 나타내며 수위가 증가할수록 유출 동수경사가 커지고 사면 안전율은 감소하였다.
5.3 확률론적 해석
수위 변화에 따른 제방의 확률론적 침투 및 사면 안정해석을 수행하기 위해, 기초층과 제체 재료의 수리학적·역학적 특성을 대표하는 총 6개의 변수를 랜덤변수로 정의하였다. 제방의 해석을 위하여 침투 유한요소 해석에서 구한 간극수압 분포를 한계평형법에 의한 사면안정해석에 적용하여 안전율을 계산하는 침투-사면안정은 일방향 연관(one-way coupling)해석을 사용하므로 침투가 사면의 응력 상태에 영향을 미치지만, 사면의 변형이 다시 침투 흐름에 영향을 미치지 않는다. 따라서 사면안정 대리 모델의 입력은 , , , , , 의 6개이며, 침투 대리 모델의 입력은 , 이다.
확률론적 해석은 1m 간격의 수위에 대한 대체 모델을 각각 구축하고 이로부터 MCS를 수행하는 방식으로 수행하였다. 대체 모델 구축을 위한 학습에 필요한 데이터를 생성하기 위하여 Fig. 2의 제방에 대한 안정해석을 수행하였다.
수치해석의 대리 모델을 구축하기 위해 필요한 데이터 샘플링 점의 선택에 대한 명확한 이론은 없으며 몇몇 경험적인 방법들이 제안되어 사용되고 있다(Cho, 2009). 본 연구에서는 랜덤변수의 확률분포 영역을 충분히 포괄할 수 있도록, 표준정규화 공간(standard normal space)에서 평균을 중심으로 의 범위에 대해 등분포(uniform distribution)를 이용하여 무작위 샘플링을 수행하였다. 이는 확률밀도에 따른 가중 샘플링이 아니라, 입력공간 전반을 균등하게 탐색하여 응답면 근사의 정확도를 확보하기 위함이다. 이때 랜덤변수들 간의 상관관계는 없는 것으로 가정하였으며, 샘플링된 물성값이 물리적으로 타당하도록 0보다 작은 값이 발생하지 않도록 하한을 적용하였다. 샘플링된 랜덤변수 세트를 이용하여 침투해석으로 제방 내부의 간극수압 분포를 산정한 후, 이를 입력 자료로 활용하여 한계평형법에 기반한 제내지 사면의 안전율을 산정하였다. 이로부터 입력 물성과 제체의 유출 동수경사 및 사면 안전율의 관계를 나타내는 학습 데이터 집합을 구성하였다.
여러 회귀 모델 중, 정확도가 높은 모델을 선택하기 위하여 구성된 데이터를 이용하여 다양한 ML 모델에 대한 학습을 수행하였다. Fig. 4는 H=10m인 조건에서 사면안정 해석의 안전율과 침투해석의 유출 동수경사 데이터에 훈련을 진행한 결과로 각 모델의 RMSE와 R2을 나타낸다. Fig. 4(a), (b)의 사면안정에서는 GPR 모델의 RMSE는 0.08 이하(평균적으로 안전율 예측 오차가 ±0.08 이하임을 의미) 수준, R2은 0.96 이상의 값을 나타내 가장 좋은 성능을 보였다. Fig. 4(c), (d)의 침투해석에서도 GPR 모델이 RMSE 0.003 이하(평균적으로 안전율 예측 오차가 ±0.003 이하), R2 0.99 이상의 값을 나타내어 가장 좋은 성능을 보였다. GPR은 데이터로부터 함수를 예측하는 확률적 비모수(nonparametric), 커널(kernel) 기반의 회귀 모델이다. NN(Neural Network) 모델도 상당히 좋은 성능을 나타냈다. 다른 수위에 대해서도 유사한 결과가 얻어졌으며, RMSE와 R2을 종합적으로 평가하여 GPR 모델을 안전율과 유출 동수경사의 예측 모델로 결정하였다. 본 연구에서는 기계학습에서 모델의 예측성능을 높이기 위해서 사용자가 직접 설정해야 하는 외부 환경 설정값인 하이퍼파라미터(hyperparameter)를 데이터에 맞춰 조정하는 최적화를 적용하여 GPR 모델을 구축하였다.
수치해석 결과를 정확하게 대체할 수 있는 회귀 모델을 구축하는 데 필요한 샘플링 데이터의 수는 고려되는 문제와 문제의 비선형성에 따라 영향을 받게 된다. Fig. 5는 학습에 사용된 데이터의 수에 따른 GPR 대리 모델의 RMSE와 R2의 변화를 나타낸다. 안전율과 유출 동수경사 예측 모델에서 모두 샘플 수의 증가에 따라 초기에 R2이 급격하게 증가하고 이후에 안정화되어 일정하게 수렴하는 경향을 나타낸다. RMSE도 유사한 경향을 보였으나 값은 감소하는 방향으로 변하였다. 본 연구에서는 우수한 성능의 대리 모델을 구축하기 위하여 총 160개의 랜덤변수의 샘플을 적용하였다. 전체 160개의 데이터의 90%를 학습 데이터로 사용하였으며, 학습 과정에 전혀 사용되지 않은 나머지 10%의 데이터로 독립적인 테스트를 수행하였다.
최종적으로 결정된 160개의 데이터 수를 사용하여 각 수위에 대하여 사면 안전율과 유출 동수경사를 예측하는 GPR 모델을 구축하였다.
Fig. 6은 수위별로 구축된 대리 모델에 의한 예측값과 실제 값을 비교한 그림이다. Fig. 6에서 왼쪽의 그림은 교차검증을 통해 학습된 모델에 대한 결과이며, 오른쪽은 학습 과정에 전혀 사용되지 않은 10%의 데이터로 독립적인 테스트를 수행한 것이다. 구축된 대리 모델이 실제 해석을 잘 대체할 수 있음을 알 수 있다.
대리 모델을 MCS에 의한 확률론적 해석에 적용할 때 결과의 정확성을 평가하기 위해 Table 1의 정보를 바탕으로 10,000개의 샘플을 생성하고 샘플된 물성치를 이용하여 10,000회의 수치해석을 수행하는 직접 MCS를 수행하였다. Fig. 7은 수위 11m 조건에서 대리 모델 기반 MCS와 직접 MCS 결과를 비교한 것이다. Fig. 7(a), (b)는 제내지 사면 안전율 및 유출부에서의 동수경사의 평균과 표준편차가 시행회수에 따라 수렴하는 과정을 나타내는 것으로 대리 모델의 정확도가 매우 높게 유지됨을 알 수 있다. 이는 대리 모델을 이용한 접근법이 제방의 확률적 거동을 신뢰성 있게 평가하는 데 효과적임을 보여준다.
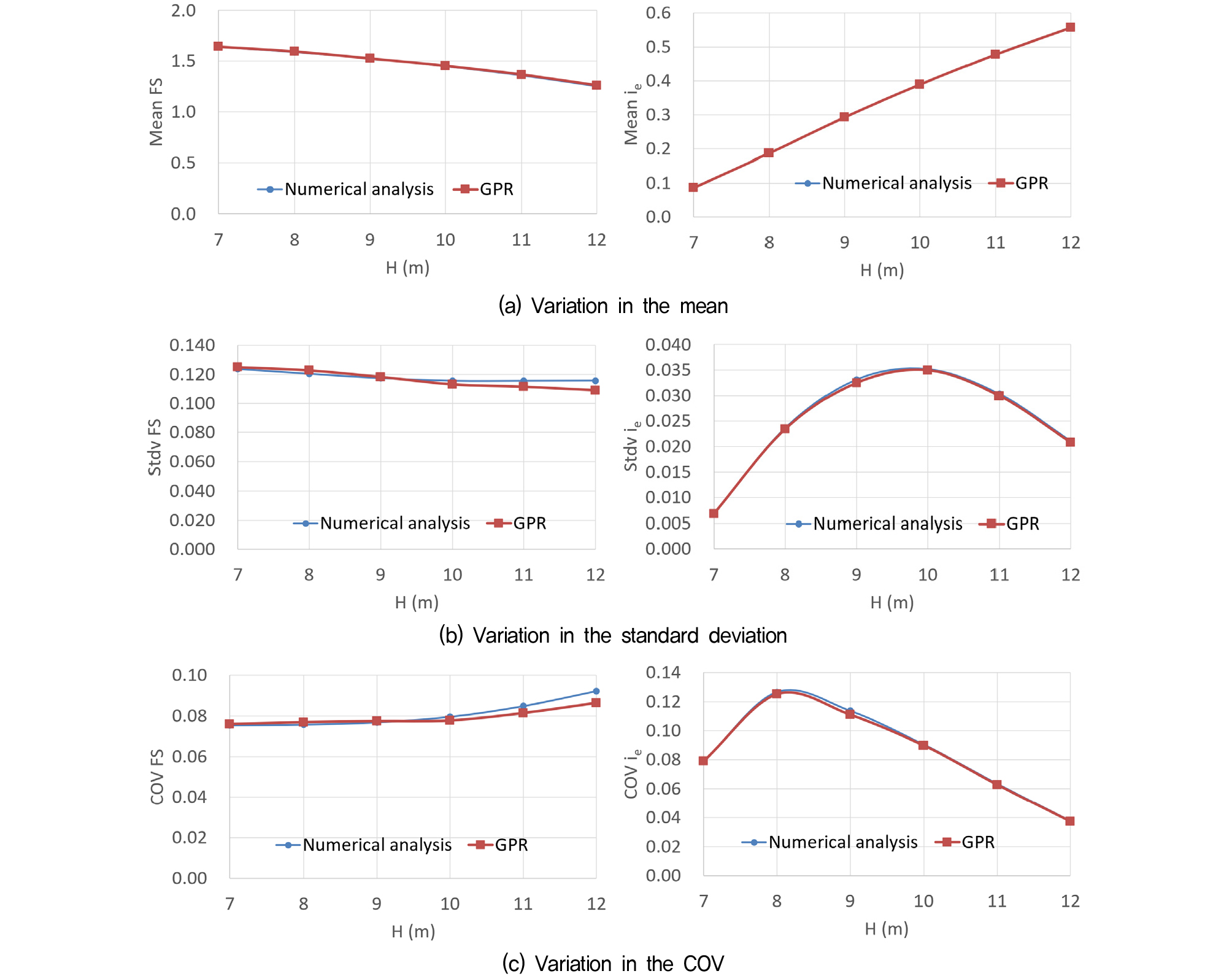
마찬가지로, 다른 수위에 대해서도 구축된 대리 모델과 10,000개의 샘플에 대한 침투-사면안정 해석을 실시한 직접 MCS를 수행하고 그 결과로부터 평균, 표준편차, 변동계수 COV를 계산하여 Fig. 8에 도시하였다. 각 수위에 대하여 구축한 대리 모델에 의한 MCS로부터 제방의 사면 안전율 및 유출 동수경사의 평균, 표준편차, 변동계수를 비교적 정확하게 추정할 수 있음을 알 수 있다.
랜덤변수 에 의해 파괴상태를 정의하는 한계상태함수 가 정의되면 MCS의 결과로부터 파괴확률 를 구할 수 있다. 는 전체 랜덤변수의 샘플링 수 에 대한 인 샘플링 수 의 비로 계산된다. 사면의 파괴확률은 식 (8)과 같이 계산할 수 있다.
일반적으로 사면의 파괴를 정의하기 위하여 임계안전율 의 값을 1.0으로 적용하지만, 필요에 따라 다른 값을 적용할 수도 있다.
사면안정의 경우와 마찬가지로, 파이핑에 대한 는 파이핑을 유발하는 한계동수경사 에 대하여 식 (9)와 같이 계산할 수 있다.
수위가 낮으면 제방 사면의 안전율이 높고 침투로 인한 유출 동수경사는 매우 작게 발생한다. 따라서 제방의 사면안정과 파이핑에 대한 파괴확률은 매우 작아진다. 이 경우 MCS에 의해 추정한 파괴확률이 실제 값에 안정적으로 수렴하기 위해서는 시행 횟수 이 매우 커야 한다.
Fig. 9는 파괴확률을 계산하기 위하여 구축된 대리 모델을 사용하여 1,000,000쌍의 대규모 샘플에 대하여 수행한 MCS의 결과로부터 얻은 결과이다. Fig. 9(a), (c), (e)는 수위에 따른 제방 하류 사면의 안전율에 대한 확률밀도함수(Probability Density Function, PDF)와 누적확률분포(Cumulative Distribution Function, CDF)를 나타내고 있다. 안전율의 분포는 개략적으로 대칭 형태를 보이며 수위가 증가함에 따라 제체 내부의 간극수압이 증가하면서 사면의 안전율이 감소하므로 안전율이 작아지는 방향으로 분포가 이동하였다.
Fig. 9(b), (d), (f)는 수위에 따른 제방의 유출 동수경사의 확률도함수(PDF)와 누적확률분포(CDF)를 나타낸다. 확률분포의 형태는 수위의 변동에 따라 크게 바뀌고 수위의 증가에 따라 유출 동수경사가 증가하는 방향으로 분포가 이동하였다.
식 (8), (9)에서 추정되는 는 이 무한대로 커질수록 정확한 값에 접근한다. 일반적으로, MCS로부터 추정된 의 정확도는 변동계수(COV)로부터 다음과 같이 평가할 수 있다(Ji and Cao, 2024).
식 (10)에서, 작은 파괴확률을 평가하기 위해 MCS에서 필요한 샘플 수는 점근적으로 다음과 같이 추정된다(Ji and Cao, 2024).
따라서 대상 구조물의 기대 파괴확률 수준이 감소할수록, 요구되는 정확도가 높아질수록 필요한 은 급격하게 증가하게 된다.
대부분의 지반공학 문제는 낮은 파괴확률과 많은 수의 랜덤변수를 다뤄야 하므로 한계상태함수를 계산하기 위한 계산량이 매우 크며, 유한요소 해석과 같은 복잡한 해석 모델을 사용할 때는 계산량의 증가를 감당하기 어렵게 된다. 특히 하천 제방의 경우 구조물의 특성상 매우 높은 신뢰도(즉, 매우 작은 파괴확률) 수준을 유지하도록 요구되므로 직접적인 MCS의 적용에 비해 ML 기반의 대리 모델의 적용이 매우 유리하다.
Fig. 10은 Fig. 9의 대규모 샘플()의 결과로부터 식 (8)과 식 (9)로 사면안정과 파이핑에 대한 파괴확률을 계산하여 도시한 것이다. 확률론적 해석에서 파괴여부를 판단하는 한계상태함수는 구조물이나 지반 시스템이 요구되는 성능을 더 이상 만족하지 못하는 경계조건을 의미한다. 즉, 필요에 따라 한계상태에서 임계안전율 과 한계동수경사 를 여러 값으로 적용하여 동일한 수위에 대해서 복수의 손상상태를 초과하는 파괴확률을 구할 수 있다. Fig. 10에 제시된 바와 같이 다양한 성능을 정의하는 와 를 적용한 사례를 제시하였다.
식 (11)에 따라 에 대하여 목표 변동계수 을 가정하면, 은 1,000,000회 이상이어야 하므로 계산된 파괴확률이 10-4보다 작은 경우는 통계적으로 무의미하다고 할 수 있다. Fig. 9의 분포에서 알 수 있듯이 제체의 유출 동수경사가 대체로 작은 값으로 발생하므로 Fig. 10(b)에서 한계동수경사 0.5이면 수위가 10m 이하에서는 파괴확률이 0으로 계산되었다.
기계학습 기반의 대리 모델을 하천 제방의 확률론적 해석에 적용한 결과, 침투-안정 연계 수치해석을 수행하는 시간을 대폭 감소시키므로 전통적인 수치해석 대비 계산 효율성이 크게 향상된다. 본 연구에서는 대리 모델을 구축하기 위하여 총 160개의 랜덤변수의 샘플을 적용하였으므로 직접적인 MCS와 대비하여 이 10,000회인 경우의 절감율은 98.4%, 이 1,000,000인 경우의 절감율은 99.98%에 이른다. 따라서 작은 파괴확률을 나타내는 제방의 파이핑 및 사면 파괴 확률을 효율적이고 안정적으로 평가할 수 있음을 확인하였다.
6. 결 론
하천 제방은 홍수로 인한 재해를 예방하기 위해 충분한 안전성을 확보해야 한다. 수치해석 기법은 지반의 복잡한 수리학적 및 역학적 거동을 분석하는 유용한 도구로 하천 제방의 안정성 해석에 널리 활용되고 있다. 하천 제방은 파괴가 발생하면 대규모 인명 피해와 막대한 재산 손실로 이어질 가능성이 크므로 매우 높은 수준의 안전성과 신뢰도가 요구된다. 따라서 수치해석을 반복적으로 수행하는 직접적인 MCS의 적용에 의한 확률론적 해석은 과다한 계산 비용을 유발한다. 이러한 단점을 극복하기 위하여 본 연구에서는 ML 기반의 대리 모델을 구축하고 이를 활용하여 하천 제방의 확률론적 안정해석을 수행하는 효율적인 방법을 연구하였다. 연구 결과를 요약하면 다음과 같다.
(1) 회귀 문제를 분석할 수 있는 Linear Regression, Regression Trees, NN, SVM, GPR 등의 다양한 기계학습 모델을 제방의 침투해석과 사면안정 해석 데이터로 학습시킨 후 예측성능을 종합적으로 평가한 결과, GPR 모델이 가장 좋은 성능을 나타냈다.
(2) 학습에 사용된 데이터의 수에 따른 GPR 대리 모델의 성능을 평가한 결과, 안전율과 유출 동수경사 예측 모델에서 모두 샘플 수의 증가에 따라 초기에 R2이 급격하게 증가하고 이후에 안정화되어 일정하게 수렴하는 경향이 나타났다. RMSE도 유사한 경향을 보였으나 값은 감소하는 방향으로 변하였다.
(3) 구축된 대리 모델과 수치해석에 의한 MCS를 10,000개의 샘플에 대하여 수행하고 그 결과로부터 평균, 표준편차, 변동계수를 평가한 결과, 대리 모델을 사용하여 제방의 사면 안전율 및 유출 동수경사의 평균, 표준편차, 변동계수를 비교적 정확하게 추정할 수 있었다.
(4) 랜덤변수의 대규모 샘플링이 필요한 하천 제방의 확률론적 안정해석에 대하여 기계학습 기반의 대리 모델을 적용하면 기존 수치해석 기반의 확률론적 해석에 비해 계산 효율성의 큰 향상이 가능하여, 파이핑 및 사면 파괴확률과 취약도 곡선을 안정적으로 평가할 수 있음을 확인하였다.











