1. 서 론
2. 탄성파 속도를 이용한 간극비
2.1 Wood 방법
2.2 Gassmann 방법
2.3 Foti 방법
3. 적용성 평가
3.1 현장실험
3.2 실내실험
3.3 적용결과
4. 오차규범(Error Norm)
4.1 분석
4.1.1 Wood 방법
4.1.2 Gassmann 방법
4.1.3 Foti 방법
5. 요약 및 결론
1. 서 론
협소한 국토의 이용공간을 확대시키고자 국내 해안 근처의 연약지반에는 국가 발전계획에 따라 다양한 사업을 수행하고 있으며, 선행적으로 지반개량 및 지층보강 공사가 이루어지고 있다. 형성조건에 따라 다양한 특징을 보이는 연약지반은 공통적으로 입자사이에 간극수가 포함되어 외부하중이 작용하면 간극수 거동에 따라 체적변화를 보인다. 따라서 해안 및 연약지반의 설계 및 공사 수행시 입자사이의 특성, 즉 간극비와 같은 기본적인 특성을 정확히 평가해야 시공의 경제성과 구조물의 안정성을 모두 향상 시킬 수 있다.
간극비는 토질역학 삼상구조(phase diagram)에서 간극의 부피와 흙 입자의 부피 비율로 정의되며 지반의 압축성, 상대밀도 그리고 다양한 거동을 예측하는데 사용되는 중요한 지표 중 하나이다. 간극비는 일반적으로 현장에서 시료를 채취한 후 실험실로 운반하여 사용자의 목적에 맞게 표준압밀실험(Standard Consolidation Test: SCT) 그리고 일정변형률실험(Constant Rate-of-Strain Consolidation: CRSC)등으로 값을 결정한다(Imai 1979). 모래의 경우는 점착력이 없는 이유로 일반적인 채취 방법외에 동결샘플링 방법 등의 복잡한 기법들이 사용되고 있으며, 점착력이 있는 점토의 경우는 일반적인 방법으로 시료를 채취 한 후 실내실험을 수행한다. 하지만 시료를 채취하여도 채취 순간에 발생하는 응력해방(stress relief), 시료 운반시 발생하는 진동, 그리고 실험 준비과정에서 발생하는 오차로 현장상태를 정확하게 반영하지 못하는 한계가 있다.
체적파(Body wave)와 표면파(Surface wave)로 구성된 탄성파는 각 파의 전파 특성에 따라 다양한 파로 세분화되며 지반공학에서는 파 전파특성을 고려해 대체적으로 체적파(Body wave) 즉, 압축파(Compressional wave)와 전단파(Shear wave)가 활용되고 있다. 압축파는 일반적으로 p-wave 라고 불리며 파 에너지의 진행방향과 입자의 미세 진동 방향이 평행한 특성이 있으며, S-wave라고 불리는 전단파는 파의 진행방향과 입자의 거동이 서로 수직인 성질이 있다. Foti et al.(2002)는 다공성 물질(porous media)에서 탄성파 전파 특성은 각 매체의 탄성계수와 간극비에 의존적임을 명시하였으며 이를 통해 입자 골격과 간극 특성(유체 혹은 공기)의 관계를 묘사 할 수 있다고 서술하였다. 이와 같은 관련성은 수년 전부터 탄성파 속도와 간극률 간의 관계를 이론 및 경험식으로 제시하고 있는 연구내용을 뒷받침 해준다(Wyllie et al., 1956; Han et al., 1986; Klimentos and McCann 1990). Foti et al.(2002)는 Biot(1956)의 poroelasticity 이론을 활용하여 탄성파 속도와 간극률 간의 관계를 이론적으로 정립하였으며, Hunter(2003)은 12개의 탄성파 시추공 데이터를 이용하여 탄성파 속도를 간극률로 도출하였다. 또한 최근에는 Gassmann의 이론에 근거하여 탄성파 속도를 이용하여 간극률을 산정할 수 있는 방법도 제시되었다(Yoon and Lee 2010). 따라서 본 논문에서는 탄성파 속도를 이용하여 간극률을 도출할 수 있는 수식을 활용하여 각각의 수식이 가지고 있는 민감성을 상대오차 값으로 표현 및 고찰하고자 한다.
본 논문은 간극비의 기본적인 이론에 대한 설명으로 시작되며, 선행 연구자들이 제안한 파 에너지 전파 특성으로 제시된 이론식을 소개하였다. 또한 현장실험으로 획득한 탄성파를 이용하여 간극비로 도출하였으며, 압밀실험으로 도출된 값과 비교하였다. 뿐만 아니라 오차규범(error norm) 방법을 이용하여 각 제안된 기법이 가지고 있는 자체적인 오차 및 개별 인자들의 특성에 대하여 분석하고 서술하였다.
2. 탄성파 속도를 이용한 간극비
간극비는 지반의 물리적 그리고 수리학적 등의 특성에 의존하는 값으로 지층의 자연적인 특성을 반영한다. 따라서 대상지반의 압축성, 상대밀도 그리고 다짐 등의 다양한 공학적인 특성을 모사하기 위한 기본적인 인자로 활용된다. 간극비는 현장에서 채취 한 시료를 이용하여 실내실험을 통해 도출하고 있다. 하지만, 시료 채취시 세심한 주의를 기울인다 하여도 시료 자체의 응력해방(stress relief)과 운반시 발생하는 진동등으로 인하여 지층의 정확한 특성을 반영하지 못하는 한계가 있다. 이를 개선하기 위하여 다양한 연구자들이 탄성파 속도로 간극비를 도출 할 수 있는 기법을 제시하였으며, 본 연구에서는 각각의 방법들을 소개하고 신뢰성을 비교하였다.
본 연구에서는 선행연구자들이 탄성파 속도로 간극비를 도출할 수 있도록 제안한 수식 중 경험적인 방법은 제외하고 이론적인 내용을 기초로 완성된 식들만 이용하였다. 따라서 본 연구에서 고려한 방법은 총 3가지이며, 식이 제안된 연도 순서에 따라 Wood 방법(1949년), Gassmann 방법(1951년) 그리고 Foti 방법(2002년)으로 구분된다. 각각의 이론식에 대한 내용과 수식을 구성하는 인자들에 대한 설명은 다음과 같다.
2.1 Wood 방법
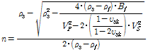
포화된 지층은 입자 내부의 유체 특성으로 생성되는 내부 응력(inter stress) 조건과 상재하중과 같은 외부 조건에 의해 발생하는 외부 응력(external stress) 조건에 영향을 받는다. Biot(1956a; 1956b)은 이와 같은 특성을 이용하여, 탄성적인 연속체 이론 하에 입자에 작용하는 응력과 그에 따라 발생하는 변형률 관계로 포화된 구조에서 탄성파 전파 특성을 규명하였다. 여기서 응력-변형률 관계는 포화토의 구성성분인 흙과 유체의 특성에 영향을 미치는 함수를 이용하였으며, 그 인자들은 흙입자 구조의 팽창성, 간극수, 간극비, 간극수의 압력, 전단탄성계수 그리고 다양한 탄성계수로 구성된다. Biot(1956a; 1956b)이 제안한 이론은 파의 전파 특성을 수학적인 수식을 통하여 체계적으로 제시한 내용으로 현재까지 탄성파 이론의 소개 및 활용에 다양하게 적용되고 있다. 하지만 Biot(1956)보다 먼저 Wood는 1949년도에 탄성파가 포화된 지층을 전파 할 경우 간극의 부피, 유체의 체적 그리고 흙의 체적을 변화시킨다는 가정하에 파 전파 특성을 수식으로 모사하였다. 여기서 간극의 부피는 간극의 압축성, 유체의 체적은 유체의 압축성 그리고 흙의 체적은 흙의 압축성으로 재표현 되었으며, 각각의 압축성은 압축파 속도와 간극률에 큰 영향을 미친다고 언급하였다. 따라서 Wood 방법(수식 (1))은 압축파의 속도와 간극률 간의 관계를 지층의 다양한 압축성으로 표현하였으며, 여기서 압축성은 체적탄성계수(Bulk modulus)의 역수를 의미한다. Wood 방법은 실제적으로 현탁액이나 부유물상태(suspension)에서 적합하다고 알려져 있지만(Mavko et al., 1998), Salem(2001)연구에 따르면 Wood 방법은 지층이 포화되고, 간극률 값은 크고 그리고 세립토인 경우에 식 (1)을 사용할 수 있다고 언급하였다. 하지만, 다양한 입경을 가지고 있는 지층과 그에 따라 간극률 값이 낮은 지역에서는 전단탄성계수를 고려해야 함을 설명한 후 (2)와 같이 압축파 속도과 간극률 간의 관계를 추천하였다.
(1)
(2)
여기서, βf와 βs는 유체 및 흙입자의 압축성을 의미하며, ρf와 ρs는 유체 및 흙입자의 밀도를 나타낸다. 또한 VP, n 그리고 G는 각각 압축파 속도, 간극률 그리고 전단탄성계수를 의미한다. 전단탄성계수(G=ρ・VS2)가 전단파 속도(VS)의 함수인 것을 고려하면 식 (2)는 압축파 및 전단파 속도를 동시에 이용하여 간극률로 도출할 수 있음을 알 수 있다. 식 (2)를 궁극적으로 간극률에 대한 식으로 재정리 하였으며, 수작업으로 재정리 할 경우 오차발생 소지가 있어 수학프로그램인 매스캐드(math cad)를 이용하여 도출하였다(식 (3) 참조).
(3)


2.2 Gassmann 방법
Gassmann은 1951년도에 지층을 하나의 큰 매체(mono-mineralic medium)로 설정하고 등방구조 특성으로 가정하여 파 에너지 전달 특성을 체적탄성계수와 전단탄성계수의 관계로 제안하였다. 또한 입자와 유체는 탄성계수에 영향을 미칠정도로 화학적 상호작용이 없는 관계로 가정하였으며, 파 에너지 전파로 인한 지반의 거동은 유사정적 상태(quasistatic), 즉 저주파 상태(low frequency) 조건으로 식을 제안하였다. 단순하게 기존 응력-변형률 간의 관계가 아닌 수압에 대한 함수를 추가하여 입자와 유체가 결합된 상태를 모사하였으며 간극 상태에 따라 유체의 체적이 변화하는 특성을 모사하였다. 따라서 비배수상태와 배수상태의 탄성계수 차이를 간극수압의 유・무로 표현하였으며, 비배수 상태의 전단탄성계수는 배수상태(유체가 없는 상태)의 탄성계수와 동일하다고 언급하였다. 즉 공기, 물 그리고 흙이 섞여 있는 상태의 전단탄성계수(Gmix)는 입자자체의 골격의 전단탄성계수(Gskeleton)과 유사함을 증명하였다. Gassmann이 제안한 수식은 식 (4)과 같으며, Wood가 제안한 방법과 동일하게 수학프로그램을 이용하여 간극률에 대한 함수로 재정리하여 식 (5)에 표현하였다.
여기서, BGassmann, Bsk, Bg 그리고 Bf는 각각 포화된 시료(mixture), 입자의 골격(skeleton), 입자의 알갱이(grain) 그리고 유체(fluid)의 체적탄성계수를 나타내며 n은 간극률을 의미한다. BGassmann은 탄성계수 간의 관계를 이용하여 식 (4)과 같이 탄성파의 속도 함수로 표현 할 수 있어 Gassmann이 제안한 식 역시 지층의 압축파 및 전단파 속도를 이용하여 간극비로 도출 할 수 있음을 보여준다.
2.3 Foti 방법
Foti et al.(2002)는 가장 최근에 Biot(1956)의 poroelasticity 이론을 기반으로 탄성파 속도와 간극비 간의 관계를 수식으로 정리하였다. 여기서 poroelasticity는 흙과 유체가 연속적으로 혼합되어 있을 경우 흙은 탄성적인 거동을 보이고 유체는 점성이 있는 상태를 의미한다. Foti 방법 역시 Gassmann 방법과 동일하게 파 에너지 전달을 저 주파수(low frequency) 영역으로 가정하여 흙입자와 유체의 상대적인 변화가 없다고 가정하였다. 건조상태 흙입자의 밀도를 간극률의 함수로 가정하여 궁극적으로 식 (6)을 제안하였다. 여기서 Foti방법은 흙입자를 비압축성으로 가정하여 흙 입자 자체의 체적탄성계수를 무한대 값으로 설정하고 식을 체계화 시켰다. Foti et al. (2002)는 타 방법처럼 탄성계수와 간극의 함수를 제안한 것이 아닌 기존에 제안된 내용을 이용하여 탄성파 속도와 간극률의 관계를 정리한 것으로 별도의 수학프로그램 없이 다음의 수식으로 나타내었다.
여기서, VS와VP는 전단파 및 압축파 속도를 나타내며, ρS, ρf, Bf와 υsk는 각각 입자의 밀도, 유체의 밀도, 유체의 체적 탄성 계수, 그리고 입자 골격(skeleton)의 포아송 비를 의미한다. 또한 n은 간극률을 나타낸다.
3. 적용성 평가
선행연구에서 제안된 방법들의 적용성을 평가하기 위하여 국내 남해안 부근의 매립지층인 광양지역에서 탄성파 속도 실험을 진행하였다. 대상지역은 하부 연약지반을 개량하기 위하여 상부를 매립한 지층으로 매립 지층은 실트질 모래지반으로 두께가 약 6.0m이다. 획득한 탄성파 속도를 이용하여 각각의 방법에 대입한 후 최종적으로 간극비 값을 도출하였으며, 채취한 시료로 실내압밀실험을 진행하여 깊이에 따른 간극비의 참값을 결정하였다.
3.1 현장실험
탄성파 탐사 실험은 투과법을 응용하여 개발된 현장 탄성파 속도 프로브(Field Velocity Probe: FVP)를 이용하여 지층의 상세한 탄성파 속도값을 획득하였다. FVP는 관입 실험을 목적으로 개발되어 지층을 최소 10cm 이상으로 상세하게 평가할 수 있는 장점이 있다. 따라서 다양한 지반의 탄성파 속도 값을 도출하기 위하여 널리 사용되고 있으며, 현재는 도출된 속도값을 이용하여 지반 특성 예측에 활용되고 있다. 대상지반에 관입실험을 진행하기전 FVP 장비의 안정성을 고려해 상부 매립층은 시추하였으며, 공벽붕괴를 방지하기 위하여 케이싱을 설치한 후 원지반에서부터 관입 실험을 실시하였다. 탄성파 측정은 발신 트랜서듀서에 입력신호를 주기 위한 20MHz파형 발생기(Agilent33220A), 수신 신호의 잡음제거와 증폭을 위한 필터-증폭기(Krohn-Hite 3364) 그리고 수신 신호의 저장을 위한 디지털 오실로스코프 (Agilent 54624A)를 활용하였다. 여기서 입력신호는 본 연구에서 분석하고자 하는 수식의 조건을 만족시키기 위하여 저주파수(low frequency) 영역인 20Hz의 구형파를 사용하였다. 참고로 저주파수(low frequency) 영역은 100Hz 이하로 알려져 있다(Mavko et al., 1998). FVP에 관련된 내용은 본 연구의 주제와 거리가 있어 자세한 설명은 생략하고 참고문헌으로 대체하고자 한다(Yoon et al., 2008; Lee et al., 2010).
3.2 실내실험
대상지반의 불교란 시료는 수압에 의하여 튜브를 지중에 관입시키고 시료를 채취하는 수압식 피스톤 샘플러(Osterberg 샘플러)를 이용하여 채취하였다. 피스톤 샘플러는 이 물질이 튜브 내로 유입되는 것을 차단할 수 있어 양질의 시료를 획득할 수 있는 장점으로 국내 현장에 다양하게 활용되고 있다. 불교란 시료는 현장실험이 수행된 지역에서 약 10m 떨어진 위치에서 채취하였으며, 채취심도는 약 16m와 20m이다. 대상지반에서 채취한 시료는 현장 유효응력 상태를 반영한 간극비로 도출하도록 표준압밀시험을 수행하였다. 양면배수 조건으로 실험을 진행하였으며, 하중 증가비(LIR)은 1로 전단계 압밀하중의 2배가 되도록 한 후 실험을 수행하였다. 압밀실험 결과는 Fig. 1과 같으며, 각각의 심도별 물리적 특성 및 압축지수는 Table 1과 같다.
3.3 적용결과
파에너지의 전파 특성을 근거로 간극률(비)를 도출 할 수 있는 이론식을 활용하여 현장의 간극비 주상도를 도출하였다. 각각의 식이 포함하고 있는 압축파 및 전단파 속도는 현장실험으로 획득한 자료를 이용하였으며, 나머지 함수들은 선행연구결과를 참조하여 결정하였다. 따라서 Table 2와 같이 Bg, Bf, Bsk, ρs, ρf, 그리고 υsk 값은 15×109 Pa, 2.18×109 Pa, 7.778×107 Pa, 2.7t/m3, 1t/m3 그리고 0.4로 결정하였다. 도출된 결과는 Fig. 2와 같으며, 압밀실험에서 유효응력을 고려하여 결정된 간극비도 함께 나타내었다. 압밀실험 결과와 비교해 볼 때 3개의 이론식 중 Gassmann 방법이 가장 신뢰성 높게 나타났으며 Wood 방법으로 환산한 간극비 값이 가장 큰 차이를 보이고 분산성도 높은 것을 보여준다. Foti 방법은 압밀실험 결과보다 약간 큰 값을 보였지만 경향성은 거의 유사하게 나타났다. 이와 같은 결과는 입력값들을 일반적으로 지층에 사용하고 있는 값들로 가정하여도 Gassmann 방법으로 충분히 지층의 간극값을 예측할 수 있음을 보여주며, 더욱 다양한 지층의 적용성을 확대하면 제안된 방법의 신뢰성이 증대할 것으로 판단된다.
4. 오차규범(Error Norm)
오차는 측정 값의 고유한 특성을 의미하며 측정 장치에 의하여 발생하는 시스템 오차(systematic error)와 매개변수들에 의한 무작위 오차(random error)로 나뉜다. 본 연구에서는 시스템 오차는 동일하다는 가정하에 무작위 오차에 초점을 맞춰 각 식들을 분석하였다. 오차를 분석하는 방법에는 요소오차들을 합성하는 RSS 방법, 상대적인 오차(relative error), 절대 오차(absolute error), 오차 전파(propagation of error) 그리고 상호 관련된 계통 오차등이 존재한다(Beasley and Figliola 2010). 본 연구에서는 서로 다른 단위를 가지고 있는 매개 변수들을 고려하여 상대적으로 계산량이 작고 각 인자들에 따른 결과를 쉽게 비교할 수 있는 상대적인 오차(relative error) 계산 방법을 활용하였다. 상대적인 오차는 이미 지반공학에서 유사한 조건의 오차를 분석하기 위하여 활용되고 있는 방법으로 본 연구의 적용성도 타당하다고 판단하였다(Lee et al., 2005; Yoon and Lee 2010). 또한 기존 연구에서는 상대적인 오차 보다는 오차를 표준화시킨다는 의미로 오차규범(error norm)의 용어를 사용하고 있어 본 논문에서도 오차규범(error norm)으로 용어를 통일하였다.
매개변수 값으로 결과를 도출하는 역문제(Inverse problem)는 인자들 서로간의 관계로 자체적인 오차규범(error norm)이 존재하며, 이는 단순하게 수식으로 다음과 같이 표현 할 수 있다(Santamarina and Fratta 2005).
여기서, ENi는 오차규범을 의미하며, Vi<measured>와 Vi<predicted>는 각각 측정된 값과 예측된 값을 나타낸다.
하나의 시스템에서 크기가 서로 다른 변수 값이 존재할 경우, 오차규범(error norm)은 크기가 큰 값을 반영하는 편향된 특성이 있다. 동일한 물리적인 현상에서 식 (9)는 변수값 차이로 오차규범 자체에도 오류가 나타날 수 있음을 의미하며, 이를 해소하기 위하여 식 (10)과 같이 비율에 따른 오차규범(proportional error norm) 계산 방법이 제안되었다(Santamarina and Fratta 2005). 각 항이 의미하는 내용은 식 (7)와 동일하며, 이번 연구에서는 오차규범식 자체의 신뢰성을 증대시키기 위하여 식 (8)을 사용하였다.
(8)
4.1 분석
제안된 식들이 가지고 있는 오차규범(error norm)을 결정하기 위하여 다양한 매개변수 중 하나의 인자만을 변화시키며 오차규범(error norm)을 계산하였다. 식을 구성하는 각각 인자들의 참값은 Table 2와 같이 선행연구에서 사용된 값을 이용하였으며, 계산된 참값(간극비, Vi<measured>)는 Wood 방법, Gassmann 방법 그리고 Foti 방법을 토대로 순서대로 각각 0.952, 0.794, 그리고 1.051 를 이용하였다. 각각의 인자들은 참값을 기준으로 최소 1%부터 최대 100%까지 입력값을 증가・감소시켰으며, 오차규범(error norm)을 전체적으로 비교하기 위하여 참값으로 입력값을 정규화(normalization)하였다. 입력값 변화에 따라 정규화된 값은 0(1%감소)에서부터 2(100%증대)까지 나타났으며 이때 정규화 값이 1인 지점은 입력값과 참값이 동일함을 의미한다. 따라서 정규화 값이 1인 지점은 예측값과 측정값이 동일하므로 오차규범은 0으로 나타났다.
4.1.1 Wood 방법
총 6개(Vp, Bf, ρs, ρf, Bg 그리고 G)의 인자로 구성된 Wood 방법의 오차규범 결과는 Fig. 3과 같으며 각각 인자들의 값을 변화시켜 얻은 분석 결과는 다음과 같다.
∙Vp와 ρf는 정규화 값이 1보다 작을 때 오차규범 (error norm)이 갑작스럽게 증가하는 것으로 나타났으며, Bf는 반대로 정규화 값보다 클 경우에 오차규범(error norm)이 증가하였다. Vp, ρf 그리고 Bf는 약간의 입력값 차이로 오차가 크게 나타나는 것을 고려할때 입력값 결정시 사용자의 주의가 요구된다.
∙ρs는 정규화 보다 작은 값에서 오차규범(error norm)이 지속적으로 증가하는 경향을 보였다. 이와 같은 결과는 Wood 방법 활용시 ρs의 영향이 가장 크다는 것을 보여주며, 대상지층에서 참값을 결정하기 어렵다면 선행 연구를 고려하여 본 연구에서 사용한 값이나 더욱 큰 값을 이용해야 신뢰성이 향상 될 것으로 판단된다.
∙Wood 방법에서 흙입자의 압축성(Cs)은 Bg의 역수이므로 본 해석과정에서는 Bg값을 역수로 취하여 분석하였다. 역수값은 거의 0에 가까운 값으로 그 크기가 매우 작았으며, 이와 같은 이유로 Bg 변화에 따른 오차규범(error norm)은 0으로 나타났다. 또한 G값도 오차규범(error norm)이 거의 0에 가까운 값을 보였다. 따라서 Wood 방법에서는 Bg와 G의 입력값 차이에 따른 오차가 거의 없는 것을 보여주며, 타 인자들에 비하여 식에 대한 영향성이 작은 것으로 판단된다. Wood 방법 이용시 결과값에 가장 큰 영향을 미치는 인자는 오차규범 값을 토대로 ρs > Vp > Bf > ρf > G > Bg로 나타났으며 ρs 값 결정시 사용자의 주의가 가장 요구된다.
4.1.2 Gassmann 방법
Gassmann 방법은 총 5개(Vp, Vs, Bg, Bf 그리고 Bsk)의 인자들로 구성되며, 앞서 설명한 방법을 이용하여 분석한 결과는 다음과 같다(Fig. 4 참조).
∙Vp와 Bg는 정규화 값이 1보다 작을 때, 즉 입력값이 참값 보다 작을때 갑작스런 오차규범(error norm) 값을 보이며, Bf는 상대적으로 반대(입력값 보다 큰 값) 경우에서 오차가 크게 나타났다. Bf의 경우는 오차규범(error norm) 값이 거의 200가까이 나타났으며, Gassmann 방법에서 가장 큰 영향을 미치는 요소임을 알 수 있다.
∙Vs와 Bsk도 정규화 값에 따라 오차가 발생하지만 그 값은 거의 0에 가까운 것으로 나타났다. 따라서 Gassmann 식에서 Vs와 Bsk는 문헌값을 이용하여도 결과값에 큰 영향을 미치지 않을 것으로 판단된다.
∙Gassmann 방법의 오차규범(error norm)이 큰 순서는 Bf > Vp > Bg > Vs > Bsk이며, 제일 영향이 큰 Bf 값의 결정에 주의가 요구된다. Bf 값은 압력과 유체특성에 따라 변화하는 특성을 가지고 있으므로 실험 수행시 주변의 응력조건과 염분 및 불순물 포함 유무의 유체 상태 등 상세한 조건을 고려해야 Gassmann 방법으로 정밀한 간극비 값을 도출 할 수 있을 것으로 판단된다. 나머지 각종 체적탄성계수 값은 직접적으로 실험을 통해 결정하기 어려워 이번 연구에서 사용된 입력 참값을 토대로 오차규범(error norm)을 고려해 작거나 큰 값을 사용하는 것이 바람직하다.
4.1.3 Foti 방법
가장 최근에 이론식을 바탕으로 제안된 Foti 방법은 총 6개(Vp, Vs, ρs, ρf, Bf 그리고 νsk)의 인자로 구성되며 해석된 결과는 Fig. 5와 같다.
∙Vp, ρs 그리고 ρf는 정규화 값이 작을수록 오차가 크게 발생하는 것으로 나타났으며, 특히 Vp는 비이상적으로 큰 오차규범(error norm)을 보여줬다. 따라서 Foti 방법을 이용할 경우에는 타 인자에 비하여 상대적으로 지층의 Vp 값을 정확하게 측정하고 이를 입력값으로 반영해야 신뢰성 높은 결과값을 도출 할 수 있을 것으로 판단된다.
∙반면에 Vs, Bf, νsk는 반대 경향을 보여주며, 오차규범(error norm) 값도 상대적으로 작게 나타났다. 특히 νsk 값의 입력값이 작을수록 오차가 작게 발생하는 결과는 Foti et al.(2002)의 연구결과와 유사하며 본 연구의 오차규범(error norm) 방법 역시 식 자체에 영향이 미비한 것을 보여준다.
∙Foti 방법에서 가장 큰 오차규범(error norm)을 나타내는 요인은 Vp > ρs > Bf > Vs > νsk 순서이며, Vp 의 정확한 측정이 식의 신뢰성을 증대시킬 수 있다고 판단된다. Vp 결과에서 정규화 값이 커짐에 따라 오차가 작아지는 현상이 나타남을 볼 때, Foti 방법은 Vp 가 크게 도출되는 지반에 적용성이 좋을 것으로 사료된다. 따라서 불포화토나 느슨한 지반 보다는 포화된 지층이나 단단한 지층에 적용하면 Foti 방법으로 신뢰성 높은 간극비 값을 얻을 것으로 판단된다.
Wood 방법, Gassmann 방법 그리고 Foti 방법을 오차규범(error norm)으로 분석해 본 결과 주로 Vp, Bf 그리고 ρs의 인자들이 각 수식들에 가장 큰 영향을 미치는 것으로 나타났다. 즉 간극비 결정식 사용시 3가지 인자 값을 결정하는 것이 중요함을 암시한다.
5. 요약 및 결론
본 연구에서는 포화된 지반에서 Wood 방법, Gassmann 방법 그리고 Foti 방법으로 현장 간극비 값을 도출하고 각 기법이 가지고 있는 오차특성을 규명하였다. 각각 방법의 입력 상수 중 압축파 및 전단파 속도는 현장에서 직접적으로 측정한 데이터를 이용하였으며, 나머지 값들은 선행연구에서 제안 및 활용한 문헌값으로 결정하였다. 현장의 탄성파 속도 값은 투과법을 응용하여 개발된 현장 탄성파 장비 속도 프로브를 이용하였으며, 간극비의 참값을 획득하기 위하여 시료를 채취한 후 압밀실험도 수행하였다. 분석결과 Gassmann 방법이 참값의 간극비와 거의 일치하는 것으로 나타났으며, Wood 방법이 상대적으로 분산성이 높고 값 차이도 큰 것으로 나타났다. 또한 각 방법들이 자체적으로 가지고 있는 오차 특성을 분석하기 위하여 오차규범 방법을 이용하였다. 각 식들이 포함하고 있는 함수 중에서 Vp, Bf 그리고 ρs가 수식에 가장 큰 영향을 주는 것으로 나타났으며, 상대적으로 Vs의 영향은 크지 않은 것으로 나타났다. 따라서 현장에서 도출된 탄성파 속도를 이용하여 대상지반의 간극비 결정시, 각 방법들이 포함하고 있는 영향인자들의 특성을 고려하여 입력값을 결정한다면 더욱 신뢰성 높은 간극비 값을 도출할 수 있을 것으로 판단된다.



























