1. 서 론
2. 이론적 배경
2.1 증축 리모델링
2.2 상부하중 전달 메커니즘
3. 유한요소해석 모델링
3.1 지반 및 기초 구조물 모델링
3.2 상부하중 모델링
3.3 해석 단계 및 해석 케이스 요약
3.4 해석 모델 검증
4. 결과 분석
4.1 강성 기초판
4.2 연성 기초판
5. 결 론
1. 서 론
최근 국내에서는 1999년대에 준공된 1기 신도시를 중심으로 노후화된 공동주택이 크게 증가하고 있으며, 이에 대한 방안으로 리모델링이 대두되고 있다. 리모델링의 경우, 사업성을 위해 공간확장을 동반한 증축을 하는 경우가 대부분이다. 건축물의 증축은 일반적으로 수평증축과 수직증축으로 구분된다. 이 중 수직증축의 경우, 기존 구조물 상부에 하중이 추가적으로 재하되므로 구조적 안정성에 대한 검토가 필수적이다. 이에 국토교통부는 수직증축형 리모델링 구조기준(국토교통부, 2020)을 제정하였으며, 1, 2차에 거쳐 안전진단을 통해 해당 건축물의 증축 가능 여부 및 구조안정성을 검토하도록 규정하고 있다. 본 고시에서는 시공단계별 상부하중 조합을 고려하여, 기존 및 보강말뚝의 지지력을 산정하기 위한 해석을 수행하도록 규정하고 있다.
이 때 상부하중은 일반적으로 기초판 전체에 작용하는 등분포하중으로 단순화하여 모델링 하는 경우가 대부분이며, 기초판 또한 연성 거동을 고려하지 않고 강성기초판으로 가정하여 해석하는 것이 일반적이다. 그러나 실제 상부하중은 기초판 전체에 균등하게 작용하지 않고, 기둥이나 벽체 등을 통해 하부기초로 전달된다. 이와 같이 실제 상부하중 전달 메커니즘과 기초판의 연성거동을 고려하지 않은 해석은 지반-구조물 상호작용(Soil-Structure Interaction, SSI)을 충분히 반영하지 못해 기초 거동을 부정확하게 평가하게 되며, 결과적으로 부적절한 설계 및 시공으로 이어질 수 있다.
Ahmed et al.(2014)은 유한요소해석 프로그램인 Plaxis 3D를 사용하여 초고층 구조물을 대상으로 지반-기초-구조물의 상호작용에 대해 분석하였으며, 상부 구조물 모델을 모델링하지 않고 기초판에 직접 하중을 재하할 경우, 구조물은 상대적으로 강체거동을 보이며, 이로 인해 지반-구조물 상호작용의 영향이 충분히 고려되지 않을 수 있음을 보고하였다.
Sert and Kılıç(2016)는 Mat 기초를 대상으로 상부하중 모델링 방식에 따른 거동차이를 분석하기 위해 수치해석을 수행하였다. 이 때 상부하중 모델링 방식으로는 전체 등분포 하중, 기둥하중과 전단벽 하중이 혼합된 하중 모델링, 구조물 전체를 포함한 모델링 방식을 고려하였다. 해석 결과, 상부하중 모델링 방식에 따라 침하패턴과 기초판의 휨모멘트가 상이하게 나타난다고 보고하였다.
Hartman(2023)은 압축성 지반에 시공된 초고층 구조물의 침하 거동을 대상으로 지반-구조물 상호작용(SSI) 모델링에 관한 연구를 수행하였다. 연구 결과, 구조물 하중을 단순 등분포 하중으로 모델링할 경우, 구조물의 강성을 충분히 고려할 수 없음을 보고하였다.
Song et al.(2023)은 사질토에 근입된 말뚝지지 전면기초의 기초판 연성률에 따른 거동을 수치해석을 통해 분석하였다. 연구결과, 말뚝지지 전면기초에서 기초판의 연성률은 말뚝의 하중분담률, 두부 축력 분포, 주면 마찰력비, 그리고 기초판의 부등침하에 유의미한 영향을 주는 것으로 확인되었다.
Noh et al.(2024)은 유한요소해석 프로그램인 Plaxis 3D를 사용하여 수직증축 리모델링 시, 말뚝지지 조건과 캡지지 조건을 고려한 말뚝기초 거동에 대해 분석하였다. 연구 결과, 캡지지 조건과 선단근입 조건에 따라 기존말뚝과 보강말뚝의 침하량 및 하중분담률이 상이한 것이 확인되었으며, 증축을 위한 기초보강 설계 시 선단 근입조건과 캡지지 조건을 적절히 고려해야함을 보고하였다. 해당 연구에서는 기존 기초 구조물에 보강기초가 설치된 복합기초를 대상으로 해석을 수행하였으나, 기초판의 연성 및 강성을 고려하지 않고, 구조물의 하중을 기초판에 등분포하중으로 단순화하여 모델링 하였다.
이와 같이, 기존 연구들은 상부하중 모델링 방식이나 기초판의 연성 및 강성 거동을 독립적으로 분석하거나, 아예 영향을 고려하지 않거나, Mat 기초 또는 일반적인 말뚝지지 전면기초를 대상으로 수행된 경우가 대부분이며, 그러나 수직증축 리모델링과 같이 기존 기초 구조물에 보강말뚝이 추후 시공되는 복합기초 시스템에서 상부하중 모델링 형태와 기초판의 강성·연성을 동시에 고려한 연구는 전무한 실정이다. 따라서 본 연구에서는 기초판의 연성 및 강성 특성과 상부하중의 모델링 형태를 함께 고려한 수치해석을 수행하였다. 해석 결과로는 말뚝 위치에 따른 침하량 및 축력을 도출하여 기초 거동을 비교·분석하였으며, 추가적으로 연성기초 조건에서의 기초판 침하 패턴을 도출하여 분석해보았다.
2. 이론적 배경
2.1 증축 리모델링
증축은 구조물의 횡방향으로 공간을 확장하는 수평증축과 종방향으로 공간을 확장하는 수직증축으로 크게 나눌 수 있다(Fig. 1). 증축을 하게 될 경우, 기초의 하중 부담증가와 기존 기초의 성능 불확실성 및 내진 보강으로 인해 기초보강은 필수적이다(Kim et al., 2020). 수평증축의 경우, 주로 건물 외곽부에서 기초 보강을 수행하므로 기존 건물 저층에서 보강 기초를 시공해야 하는 수직증축에 비해 설계 및 시공이 상대적으로 용이하다.
수직증축 시, 이미 기존 기초가 시공되어 있고, 기존 구조물의 골조가 남아있기 때문에 시공 시 공간의 제약이 크다. 이러한 이유로 수직증축 리모델링 시 소구경 현장타설 말뚝인 마이크로파일(Micropile)이 보강기초로 주로 사용된다. 수직증축 리모델링 시공 시 기초보강은 (1) 기존 골조하중을 제외한 나머지 하중 철거 (2) 보강말뚝 설치 (3) 기존하중 재재하 및 증축하중 재하 단계를 통해 이루어지게 된다. 이 때, 구조물의 골조하중은 오직 기존말뚝만이 분담하게 되고, 철거된 하중과 증축하중은 기존말뚝과 보강말뚝이 말뚝 강성비에 비례하여 분담하게 된다(국토교통부, 2020).
2.2 상부하중 전달 메커니즘
지반 위에 설치된 구조물의 하중은 구조물의 전단벽이나 내력벽과 같은 벽체나 기둥 등과 같은 수직 부재를 통해 하부 기초로 전달되게 된다(Fig. 2). 그러나, 지반공학 수치해석에서는 일반적으로 상부 구조물의 하중을 기초판에 등분포하중으로 단순화하여 재하하는 경우가 대부분이다. 이러한 단순화된 모델링 방식은 지반과 구조물의 상호작용(Soil-Structure interaction, SSI)을 충분히 반영하지 못하여 해석 결과와 실제 거동 간의 차이가 발생할 수 있다.
3. 유한요소해석 모델링
3.1 지반 및 기초 구조물 모델링
본 연구에서는 지반 수치해석에 특화된 Plaxis 3D(Brinkgreve et al., 2025)를 사용하여 해석을 수행하였다. Fig. 3은 본 해석에서 사용된 모델링 요소망을 나타낸다. 지반 조건은 상부 10m의 풍화토층과 하부 40m 풍화암층으로 구성된 지반으로 고려하였으며, 두 지반층 모두 Mohr-Coulomb 모델을 적용하였다.
기초구조물은 한 변의 길이가 18m, 두께 1m인 정사각형 기초판에 기존말뚝 81본, 보강말뚝이 64본 설치되어 있는 말뚝지지 전면기초로 모델링하였다. 기존말뚝의 경우 직경이 0.35m인 PC 말뚝, 보강말뚝은 직경이 0.0889m인 마이크로파일로 모델링 하였다. 기존말뚝과 보강말뚝은 모두 길이가 11m, 암반에 1m 근입되어 있는 선단지지 말뚝으로 모델링하였다. 기초구조물은 모두 Linear Elastic 모델을 적용하였다. Table 1은 해석에 사용된 물성치를 정리하여 나타낸 표이다.
Table 1.
Material properties used in the analysis
| Type | Model |
Unit weight (kN/m3) |
Young’s modulus (MPa) |
Poisson ratio (-) |
Friction angle (°) |
Cohesion (kPa) | Rinter (-) |
| Weathered soil | M.C.a | 19.0 | 13 | 0.3 | 28 | 10 | 0.67 |
| Weathered rock | M.C.a | 21.0 | 250 | 0.3 | 35 | 50 | 1.0 |
| Existing pile | L.E.b | 25 | 24,000 | - | - | - | - |
| Reinforcing pile | L.E.b | 25 | 24,000 | - | - | - | - |
| Raft | L.E.b | 25 | 43,000 | 0.2 | - | - | - |
본 연구에서 지반은 volume 요소로, 말뚝은 Embedded beam 요소로 모델링하였다. 또한 기초판의 강성 및 연성 거동을 고려하기 위해 기초판을 강성 기초판과 연성 기초판으로 구분하고 각각 Rigid body요소와 Volume요소로 모델링 하였다. Fig. 4는 기초구조물 및 지반의 평면도와 정면도를 나타낸다.
3.2 상부하중 모델링
본 연구에서는 상부하중 모델링 방식에 따른 기초 거동 차이를 분석하고자 하였다. Table 2는 본 연구에서 고려한 상부하중 형태를 정리한 표이다. 상부하중은 일반적으로 해석 편의상 많이 사용하는 전체 등분포 하중(Full Distributed Load, FDL), 기둥을 통해 상부하중이 하부기초로 전이되는 기둥하중(Column Load, CL), 벽체를 통해 하중이 전달되는 벽체하중(Wall Load, WL), 배관이나 배선, 전기 설비 등이 집중되어 있는 피트층(Pit층)을 모사한 부분 등분포 하중(Partial Distributed Load, PDL)으로 나누어 모델링하였다. FDL의 경우 기초판 전체에 균등하게 하중을 적용하였으며, CL의 경우 기존말뚝 바로 위에 하중이 작용하는 것으로 고려하였다. WL의 경우 기존말뚝 위에 일정방향으로 연속 배치되어 있는 벽체에 하중이 작용하는 방식으로 모델링하였다. PDL의 경우, 기초판을 한변의 길이가 8.35m인 정사각형의 코어부와 나머지 외곽부로 나누어 등분포 하중을 달리 적용하였다. 이 때, 전체하중의 100%가 코어부에 작용되는 경우(C100)와, 전체하중의 70%는 코어부, 나머지 30%는 외곽부에 작용되는 경우(C70)과 코어부와 외곽부가 전체하중을 50%씩 분담하는 경우(C50)으로 부분 등분포 하중을 세분화하여 모델링 하였다.
Table 2.
Comparison of superstructure load modeling 4 types
3.3 해석 단계 및 해석 케이스 요약
본 연구에서는 수직증축 리모델링 시공단계를 고려하여 수치해석을 진행하였다. 기초판에 작용하는 상부 구조물 하중은 기존말뚝의 설계하중을 500kN로 고려하여 40,500kN(500kN×81=40,500kN)로 가정하였다. 수직증축 리모델링 시 골조하중을 제외한 나머지 하중은 전체 하중의 40% 수준으로 가정하고 있다(KICT, 2013). 따라서 본 연구에서도 기존 문헌자료를 참고하여, 철거 단계에서 기존 구조물 하중의 60%를 상부하중으로 가정하고 재하하였다. 골조하중을 제외한 나머지 하중이 제거된 상태에서, 보강말뚝 64본을 모델링 하고, 제거했었던 하중을 재재하하고 증축하중을 기존하중의 150%까지 재하하였다. Table 3은 수치해석 단계를 요약한 표이다.
Table 3.
Summary of analysis stages
본 연구에서는 기초판을 연성 기초판과 강성기초판으로 나누어 고려하고, 상부하중 모델링 방식은 6개로 세분화하여 모델링하였다. 따라서 해석 케이스로는 앞서 언급한 매개변수 2가지를 고려하여 총 12개의 해석 케이스를 산정하였다. Table 4는 본 연구에서 수행한 해석 케이스를 정리한 것이다.
Table 4.
Summary of analysis cases
| Case No. | Load modeling type | Raft | ||
| Abbreviation | Figure | |||
| 1 | FDLa | ![]() | Flexible | |
| 2 | Rigid | |||
| 3 | CLb | ![]() | Flexible | |
| 4 | Rigid | |||
| 5 | WLc | ![]() | Flexible | |
| 6 | Rigid | |||
| 7 | PDLd | C100e | ![]() | Flexible |
| 8 | Rigid | |||
| 9 | C70e | Flexible | ||
| 10 | Rigid | |||
| 11 | C50e | Flexible | ||
| 12 | Rigid | |||
3.4 해석 모델 검증
본 해석에 들어가기에 앞서, 해석모델의 신뢰성 확보를 위한 검증 해석을 수행하였다. Roh(2017)는 00기관 시공 현장에서 시공 단계별로 현장계측을 수행하고 말뚝지지 전면기초의 하중분담률을 분석하였다. 본 연구에서는 Roh(2017)의 연구와 동일한 말뚝지지 전면기초에 대한 수치 해석을 수행하였으므로, 00기관의 시공 현장 지반조사결과를 반영하고 기초구조물을 동일하게 모델링하여 검증해석을 수행하고, Roh(2017)의 현장계측값과 검증해석 값을 비교하고자 하였다. 검증 해석 시 모델링한 00기관 시공현장의 말뚝지지 전면기초의 평면도 및 정면도는 Fig. 5와 같다. 해석 결과로는 하중-침하곡선을 도출하였다(Fig. 6). 수치해석 값과 현장 계측 값을 비교한 결과, 하중-침하 곡선의 형태가 유사하고, 두 결과 모두 극한 하중이 약 8,600kN으로 산정되었다. 따라서, 본 연구에서 사용한 모델링 기법은 실제 지반-구조물의 거동을 잘 모사하고 있는 것으로 판단된다.
4. 결과 분석
본 연구에서는 기초판의 재료물성(연성, 강성)과 상부하중 모델링 방식(전체 등분포 하중, 기둥하중, 벽체하중, 부분 등분포 하중)을 고려하여 유한요소해석을 수행하였다. 해석 결과로는 말뚝 위치에 따른 침하량 및 축력과 연성 기초판의 침하패턴을 도출하여 분석해보았다.
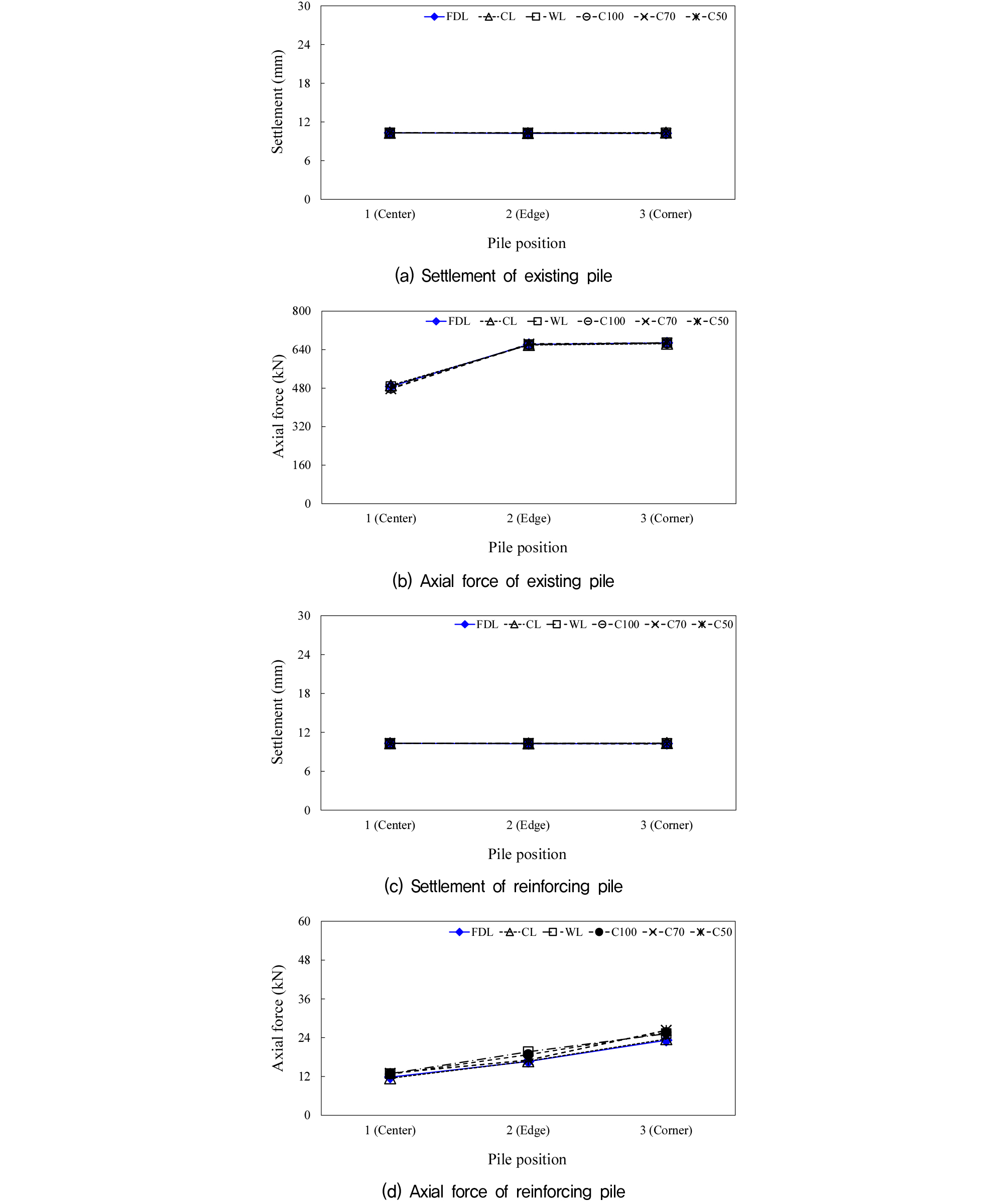
4.1 강성 기초판
Fig. 7a, 7b는 강성기초일 때의 기존 및 보강말뚝의 침하량을 나타낸다. 해석 결과, 하중 모델링 방식에 관계없이 침하량 결과는 동일하게 나타났다. 이는 기초판이 강체이기 때문에 국부적으로 하중이 작용하더라도, 판 전체로 상부하중이 재분배되어 상부하중 모델링 방식에 따른 해석 결과 차이가 없는 것으로 판단된다. 따라서 말뚝 위치에 따른 침하량 차이도 거의 없는 것으로 판단된다.
Fig. 7c, 7d는 강성기초일 때의 기존 및 보강말뚝의 축력을 나타낸다. 기초판이 강체이므로 상부하중이 재분배되어 하중모델링 방식에 따른 축력 차이가 작은 것으로 판단된다. 등분포 하중을 기준으로 했을 때, 기존말뚝은 2% 이내의 차이가 발생하고, 보강말뚝은 18% 이내의 차이가 발생하는 것을 확인할 수 있었다. 이는 연성기초일 때, 등분포하중을 기준으로 기존말뚝은 107%, 보강말뚝은 296% 이내로 차이가 발생한 것에 비해 축력 차이가 작게 발생한 것으로 판단된다. 즉, 강성기초의 경우 하중모델링 방식에 따른 기초 거동의 영향이 미미한 것으로 판단된다. 기존말뚝은 모서리부에서 중앙부 대비 축력이 35~40% 증가하였고, 보강말뚝은 96~103% 증가하였다. 이는 기존말뚝과 다르게 보강말뚝은 시공 직후 하중을 받았기 때문에 변화량이 큰 것으로 판단된다. 또한, 기존말뚝의 경우, 외곽부에서 모서리부의 축력 증가량은 평균 1%로 중앙부에서 외곽부에서의 축력 증가량인 약 37% 보다 상대적으로 작았는데, 이는 전자의 경우 말뚝이 기초판 끝단에 위치하여 축력 증가량이 작게 발생한 것으로 판단된다.
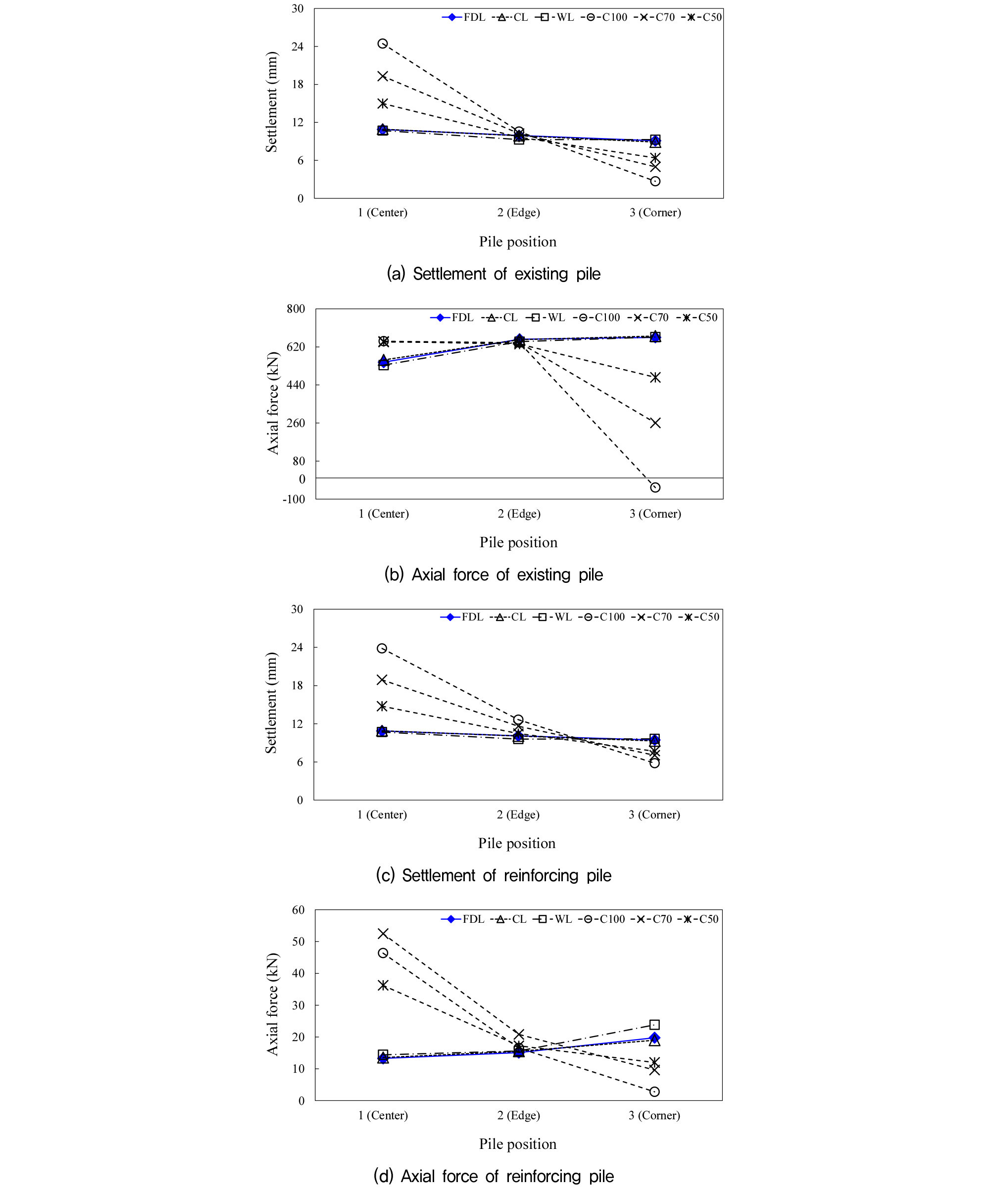
4.2 연성 기초판
Fig. 8a, 8b는 기존 및 보강말뚝의 침하량을 나타낸다. 등분포 하중 대비, CL 및 WL은 침하량 차이가 6% 이내로 발생하였다. PDL의 경우 FDL 대비 기존말뚝은 중앙부에서는 38~124%, 외곽부에서는 30~70%의 침하량 차이가 발생하였고, 보강말뚝은 중앙부에서는 36~119%, 외곽부에서는 19~39%의 차이가 발생하였다. 이는 PDL에서 코어부와 외곽부에서 작용하는 단위면적 당 하중 값이 최소 3.65배(C50일 경우) 차이가 발생하기 때문에 위와 같은 결과가 나타난 것으로 판단된다. WL, CL의 경우 상부하중이 기초판에 등간격으로 균일하게 분포하여 작용하기 때문에 FDL과 유사한 결과가 나오는 것으로 판단된다. PDL의 경우(C100, C70, C50), 기초판 중심부를 기준으로 모서리부의 침하량은 기존말뚝의 경우 57%(C50)~89%(C100), 보강말뚝의 경우 48%(C50)~76%(C100)의 차이가 발생한다. 따라서, 피트층을 고려하여 PDL으로 상부하중을 모델링 할 경우, 부등침하에 대한 안정성을 고려해야할 것으로 판단된다.
Fig. 8c, 8d는 연성기초에서 기존 및 보강말뚝의 축력을 나타낸다. 연성기초에서 상부하중을 FDL, CL, WL로 모델링 한 경우에 중앙부에 위치한 기존말뚝은 상대적으로 주변 지반과의 상대 변위가 작고 외곽부로 갈수록 주변 지반과의 상대변위가 증가한다. 따라서 외곽부의 말뚝은 주면마찰력이 더 크게 발현하여 축력도 크게 나타나는 것으로 판단된다. 그러나, PDL의 경우(C100, C70, C50), 코어부에 작용하는 단위면적당 하중이 최소 3.65배 크기 때문에(C50) 이로 인한 영향이 더욱 지배적이고, 따라서 중앙부에서 축력이 가장 크게 발생하고 외곽부로 갈수록 축력이 감소한다. 이 때 감소량은 중앙부에서 외곽부로 갈수록 기존말뚝의 경우 26%(C50)~107%(C100) 감소하고, 보강말뚝의 경우는 67%(C50)~94%(C100) 감소하는 것을 확인할 수 있었다. 보강말뚝의 경우, WL일 때, 외곽부 축력은 FDL에 비해 약 20% 더 크게 발생하였는데, 이는 벽체의 끝단에서 단면 변화 및 기초판의 휨 거동에 의해 축력도 크게 나타난 것으로 판단된다. 기존말뚝의 경우 WL과 FDL의 축력값이 거의 유사하였고 이는 기존말뚝 바로 위에서 하중이 작용하기 때문에 WL과 FDL의 차이가 거의 없는 것으로 판단된다.
Fig. 9는 상부하중 형태에 따른 연성 기초판의 침하량 패턴을 나타낸다. FDL, CL, PDL(Fig. 9a, 9b, 9d)은 중앙에서 침하량이 가장 크게 발생하고, 외곽에서 작게 발생한다. 이는 기초판의 휨 거동으로 인한 결과인 것으로 판단된다. WL의 경우(Fig. 9c) 가로로 길게 벽체 하중이 작용하여, 벽체와 평행하게 침하량 패턴이 발생하였고, 특히, 벽체 양 끝단 중앙부에서 벽체의 단면 변화 및 휨 거동에 의해 최대 침하량이 발생한 것으로 판단된다. 양 끝단 중심부에서 침하량은 최소 침하량이 발생한 외곽부 대비 기존말뚝에서는 1.2배, 보강말뚝에서는 1.1배 큰 것으로 나타났다.
5. 결 론
본 연구에서는 수직증축 리모델링 구조물을 대상으로, 기초판의 강성, 연성 및 상부하중 모델링 형태(전체 등분포하중, 기둥하중, 벽체하중, 부분등분포하중)을 함께 고려하여 유한요소해석을 수행하였다. 해석 결과로 말뚝의 축력과 침하량 및 기초판의 침하패턴을 도출하여 기초 거동 특성을 정량적으로 비교·분석하였다. 이로부터 다음과 같은 결과를 도출하였다.
(1) 상부하중을 기둥하중(CL)과 벽체하중(WL)으로 모델링 하는 경우, 전체 등분포하중(FDL) 대비 해석 결과에서 큰 차이가 나지 않는 것으로 나타났다. 이는 본 연구에서 하중을 기초판 전체에 등간격으로 균일하게 작용시켰기 때문인 것으로 판단된다. 벽체하중(WL)은 모서리부 보강말뚝에서 상대적으로 축력이 크게 발생하였고 이는 단면 불연속에 의해 발생한 응력집중에 의한 것으로 판단된다.
(2) 기초판이 강성기초일 때, 상부하중 모델링 형태에 따른 기초 거동은 연성기초 대비 그 차이가 작게 나타났다. 따라서, 강성기초일 때는 상부하중 모델링 방식이 기초 거동에 미치는 영향이 미미한 것으로 판단된다.
(3) 상부하중을 부분 등분포하중(PDL)으로 작용할 경우, 연성 기초일 때 중앙부 대비 외곽부의 침하량이 기존말뚝, 보강말뚝 각각 최대 89%, 76% 크게 발생하였다. 따라서 부분 등분포 하중(PDL)으로 상부하중을 모델링 할 경우, 부등침하에 대한 검토가 필수적일 것으로 판단된다.










: Loading area
: Point load for column load
: Loading area
: Loading area at core zone
: Loading area at outer zone
: Existing pile,
: Reinforcing pile









