1. 서 론
2. 실내 실험
2.1 시편
2.2 시험 장치 및 방법
2.2.1 표준 강도 및 투수 계수 실험
2.2.2 X-ray CT 이미지 분석
2.2.3 시간 간격을 고려한 배수성 실험 및 증발 실험
2.2.4 시간 간격을 고려한 공극 막힘 현상 실험(Clogging test)
3. 시험 결과 분석
3.1 강도 및 투수성 표준 실험 결과
3.2 X-ray CT 이미지 분석에 따른 공극률 산정
3.3 증발 양상
3.4 시간 간격을 고려한 배수성 실험 결과
3.5 시간 간격을 고려한 공극 막힘(clogging) 실험 결과
4. 결 론
1. 서 론
지난 수 십 년간 빠른 경제성장과 도시화로 인하여 녹지율이 낮아지고 기후 변화로 인한 국지성 집중호우가 증가함에 따라 도심 지역의 침수로 인한 피해가 급증하였다. NCAR(2001)과 Jongman et al.(2014)에 따르면, 매년 침수로 인하여 미국은 약 6.2조원, 유럽은 8.1조원 규모의 피해를 입고 있으며, 이는 재해 관련 부분 예산의 75% 이상을 차지 한다(EU, 2013). 또한 침수로 인한 손실 비용 중 70% 이상이 공공 시설 복구 비용으로 사용되고 있으며, 도심 지역의 불투수성 지역이 1% 상승함에 따라 피해 비용의 약 1.74%가 증가하는 것으로 나타났다(Lee and Hong, 2015). 이에 따라, 도심 지역의 불투수성 면적을 줄이면서 저하된 배수 성능을 복구하고자 투수성 콘크리트에 대한 연구가 증가하였다. 투수성 콘크리트는 높은 공극률을 가져 기존의 불투수성 콘크리트보다 뛰어난 배수 성능을 보이는 반면, 큰 공극으로 인하여 저하된 강도를 보인다(Tennis et al., 2004; Huang et al., 2010). 이에 따라 원활한 배수가 요구되는 보도, 주차장 및 교통량이 적어 상대적으로 낮은 강도가 요구되는 도로와 같은 곳에 투수성 콘크리트의 시공이 늘어나고 있다. 투수성 콘크리트는 주 목적인 우수한 배수 능력뿐만 아니라 1) 우수 정화 및 지하수 수위 유지, 2) 공기 및 물 공급을 통한 도심 내 식생 유지, 3) 열섬 현상과 소음 감소 효과 및 이에 따른 에너지 비용 절감, 4) 증진된 마찰력 및 물 튀김 방지를 통한 운전자 안전 확보와 5) 도로의 수축 현상 감소 등의 장점을 가진다 (Wanielista and Chopra, 2007; Paine, 1992; NCDENR, 2007; Tong, 2011). 그러나 도심 지역에서 발생하는 나뭇잎, 흙 등과 같은 퇴적물로 인하여 투수성 콘크리트의 공극이 막히는 공극 막힘 현상(clogging)이 발생하고, 이에 따라 투수 성능이 저하되므로 시편의 보수 및 유지 비용이 들고 낮은 내구성을 가진다는 단점이 있다(Kevern et al., 2008; Wanielista and Chopra, 2007; Tennis et al., 2004). 기존 연구에서는 투수성 콘크리트의 특성, 성능 평가 기준 및 제조 방법에 초점을 맞추었다(Tong, 2011; Maupin, 2000; Neithalath et al., 2006). 시멘트 결합력을 향상시키기 위한 실리카퓸(silica fume)이나 라텍스 폴리머(latex polymer)와 같은 충진재를 이용한 시편 제조나 제조 시 진동 에너지(vibration energy)에 따른 시편의 강도 변화 등, 높은 공극률 확보와 강도 증진을 목적으로 한 다수의 실험이 진행되었다(Chindaprasirt et al., 2008; Yang and Jiang, 2003; Huang et al., 2010). 그리고 개선된 투수성 콘크리트의 성능을 평가하기 위하여 정수위 혹은 변수위 실험을 기반으로 한 성능 평가가 시행되어 왔다. 국내에 시행되고 있는 투수 계수 평가 방법인 KS F 4419를 포함한 기존 평가 방법들은 포화된 시편을 대상으로 시편의 성능을 측정하고 있어 실내 실험과 현장에서의 성능 차이를 보인다(Tong, 2011; Haselbach, 2010). 이는 실제 시공된 투수성 보도블록의 경우 강우나 생활 하수 등에 의해 실제 도로 환경에서 포화 상태가 유지 되지 않으므로, 기존 실험을 통하여 최대 투수 성능은 보여 줄 수 있으나 불포화 상태에서의 투수성 보도 블록의 투수 양상은 반영 하지 못하고 있기 때문이다. 또한 투수성 보도블록은 9.5-19mm의 지름을 갖는 큰 골재를 주로 포함하므로, 거친 표면 및 큰 공극으로 인하여 보행자의 안전성을 확보하지 못하며 도시 미관상 좋지 못하다. 이에 따라 시제품은 그보다 작은 골재로 이루어진 얇은 표층을 보도블록의 상부에 포함한다. 또한 보도블록의 안정적인 시공을 위해 요구되는 노반은 투수성 보도블록의 유출수를 통과시키므로 직접적인 영향을 미친다. 이에 따라 본 연구에서는 기존 시제품 보도블록의 특성을 반영하고자 실험 대상으로 표층 및 노반 상부를 포함하였으며, 표준 시험법을 통하여 투수성 보도블록으로서의 기준을 확인하였다. 그리고 도심에서 발생하는 산발적 집중호우의 특성을 반영하기 위하여, 일정한 시간 간격을 둔 반복적인 강수 실험을 진행하였으며, 불포화 상태에서 시편의 배수 및 표면 유출의 경향을 알아보았다. 또한 투수성 보도블록의 배수 성능을 크게 저하시키는 주요 원인인 침전물은 공극 내로 침투하여 직접적인 영향을 주므로, 이에 따른 불포화 상태에서의 수리학적 거동을 확인하고자 공극 막힘 현상 실험을 시행하였다.
2. 실내 실험
2.1 시편
본 연구에서는 시공되는 투수성 보도블록의 구성 방식을 반영하고자, 기층(P10), 기층 및 표층(SP10), 기층 및 노반 상부(bedding layer)(P10+BL), 총 3가지의 시편을 대상으로 실험을 진행하였다(Fig. 1). 보도블록 전문생산 업체를 통하여 기존 시제품과 동일한 방식과 규정 배합비로 너비 및 길이 198mm, 높이 60mm를 갖는 시편을 제작하였다. Table 1에서 나타내는 바와 같이, 기층인 P10 시편은 KS 규격(최대 골재 크기 13mm)에 따라 최대 지름 10mm의 골재가 사용되었으며, 표층을 포함한 SP10은 1-2mm의 작은 골재로 이루어진 10mm 높이의 표층과 50mm의 기층으로 구성되었다. 제작된 보도블록은 시제품과 동일하게 2일간 온도 20°C, 습도 70%의 양생 창고에서 양생되었으며, 실내 야적장으로 옮겨져 7일간 추가 양생되었다. 양생 후, 실험 장비에 적합하도록 지름 100mm의 원형 공시체로 성형되었다. 노반은 서울시설공단(2013)의 지침에 따라 최대 입경 5mm보다 작은 주문진 규사(2.36-4.75mm)를 30mm 높이로 적용하였다. 미국과 영국은 노반 상부의 높이를 40-50mm, 일본은 30mm로 규정하고 있다(Smith, 2000; Interpave, 2010).
Table 1. Properties of specimens Unit [mm] | |||
Specimen | Property | ||
Aggregate diameter | Height | ||
P10 | < 10 | 60 | |
SP10 | Surface | 1 – 2 | 10 |
Substratum | < 10 | 50 | |
P10+BL | Specimen | < 10 | 60 |
Bedding layer | 2.36 - 4.75 | 30 | |
2.2 시험 장치 및 방법
2.2.1 표준 강도 및 투수 계수 실험
제작된 시편의 투수성 보도블록으로서의 적합성을 알아보고자, 아래와 같은 방법으로 표준화된 강도 실험 및 투수 계수 실험을 시행하였다.
시편의 상당부를 차지하는 기층(P10)을 대상으로 KS F 2405, KS F 2408에 따라 압축강도(Compressive strength) 및 휨강도(Bending strength) 실험을 시행하였다(Fig. 2). 압축강도는 정적 시험기(Static Hydraulic Systems)인 SATEC (3500kN, Instron, 일축압축강도측정전용)을 사용하여 직경 100mm, 높이 60mm의 원형 공시체를 대상으로 하였다. 휨강도는 폭 198mm, 길이 100mm와 높이 60mm의 시편을 대상으로 SATEC(600kN, Instron, 휨강도전용) 시험기를 이용하여 중앙점 재하를 시행하였다. 각 실험 당 3개의 시편들을 측정하여 평균값을 구하였다.
투수 계수 측정을 위하여 Fig. 3의 투수 및 배수 실험 장비를 이용하여 정수위 실험을 진행하였다. 실험 장비는 상・하부로 나뉘는 5mm 두께의 아크릴 통(내경 90mm, 외경 100mm)으로 구성되었다. 시편은 진공 펌프(vacuum pump)로 24시간 동안 포화시켜, Fig. 3과 같이 샌드위치 방식으로 실험 장비 사이에 위치시켰다. 그리고 시편의 공극을 통한 배수로 제한하기 위하여, 230°C에서 열수축 멤브레인(heat-shrink tube)을 수축시켜 시편 측면을 구속하고 클램프(clamp)로 아크릴 통과 멤브레인의 연결부를 고정하였다. 수위차는 시편의 상부로부터 136mm로 유지되었으며, 유출량이 일정해 진 이후 30초 동안의 유출량을 측정하여 식 (1)에 따라 포화 상태에서의 투수 계수를 산출하였다.
(1)
위의 식에서 k는 투수 계수[mm/sec], Q는 측정 시간 t초 동안에 유출된 수량[mL], L은 시편의 높이[mm], A는 시편의 단면적[mm2]이며, h는 본 연구에서 136mm로 유지되고 있는 고정 수위[mm]이다.
2.2.2 X-ray CT 이미지 분석
실험을 통한 공극률 산정은 건조 상태(dry condition)와 물에 잠겼을 때(submerged condition) 시편의 무게 차이를 이용하며, 이러한 방법은 전체 공극률과 실제 배수에 기여하는 연결 공극률을 산정하는데 한계가 있다. 이에 따라 본 연구는 3D X-ray computed tomographic(CT)를 이용하여 정량적 분석을 실시하였다. 픽셀(pixel)당 0.135mm 해상도의 2차원 이미지를 대상으로 이진화(binarization)를 시행하여, 시편(solid)과 공극(pore)을 구분하였다. 그리고 이미지를 3차원으로 쌓아 올려(stacking), 골격화(skeletonization)를 통한 Euclidean distance를 산출하고, 이로부터 공극의 크기(pore size)를 구하였다
2.2.3 시간 간격을 고려한 배수성 실험 및 증발 실험
본 연구는 시공된 시편의 실제 조건을 반영하기 위하여 시간 간격을 둔 반복적인 배수 실험을 설계 하였다. 완전 포화 상태에서 투수 계수 산출을 목적으로 진행되는 투수성 실험과는 별개로 진행이 되었으며, 배수 실험에서는 불포화 상태에서의 배수 성능 양상을 분석하였다. 유량은 서울 지역 7월의 시간 당 내린 최다 강수량 5개를 대표값으로 선정하였으며(Korea Meteorological Administration, 2014), 평균값인 78.28mm/hr를 10분간 진행하는 실내 실험에서 구현하고자 하였다. 이에 따라 최소 유량 0.06L/min을 산출하였으며, 지정한 유량의 배수에 해당하는 0.13, 0.25, 0.50L/min을 포함한 총 4가지의 유량으로 실험하였다. 이는 도심 지역에서 차도와 인도 사이의 경계석이나 건물 등의 불투수성 지역과 횡단보도의 경사면과 같은 지형학적 조건으로 인한 집중 유량을 반영한 것이다.
배수 실험은 실험 장비의 수평 밸브를 제외한 아크릴 셀을 이용하였으며(Fig. 3), 셀의 상부에는 지정된 유량을 고르게 분포할 수 있는 물 분사 장치를 설치하였다. 시편은 40°C의 오븐에서 건조되었으며, 지정된 유량을 10분간 흘려 배수 실험을 진행하였다. 실험 후 5분, 1시간, 12시간으로 3번의 시간 간격을 두어 동일한 유량으로 총 4번의 배수 실험을 진행하였다(Fig. 4). 유입되는 유량은 유량계(VN05, Aichi Tokei Denki)를 통하여 1초 간격으로 컴퓨터에 기록되었고, 시편의 하부로 배수된 유량은 전자 저울(해상도 0.001g)로 실시간 측정되었다. 또한 시편 상부로 유출된 유량은 비디오 촬영을 통하여 기록되었다.
각 배수 실험 사이의 시간 간격 동안 증발되는 공극 내 물의 변화를 반영하기 위하여 증발 실험이 진행되었다. 지름 100mm의 원형 공시체 옆면을 열수축 멤브레인으로 감싼 뒤, 시편의 상부를 통한 증발이 가능하도록 구성하였다. 초기 시편 조건인 완전 포화 상태를 구현하기 위하여 진공 챔버(vacuum chamber)에서 24시간동안 시편을 포화시켰다. 전자저울(해상도 0.001g)로 1분 마다 시편의 무게를 측정하였으며, 변화된 무게를 포화 상태의 무게로 나누어 포화도를 구하였다.
2.2.4 시간 간격을 고려한 공극 막힘 현상 실험(Clogging test)
투수성 보도블록의 주된 수명 단축 원인은 도심지에 부유하는 입자가 공극 내 침전되어 연결 공극을 막기 때문이며, 이로 인하여 투수 능력이 감소되고 표면 유출이 발생한다. 이에 따라 불포화 상태를 반영한 배수 실험에 이어 공극 내 침전물로 인한 영향을 확인하고자 하였으며, 증발 시간에 따른 공극 막힘으로 인한 표면 유출 및 배수 변화 양상을 관찰하였다. 본 실험에 사용된 침전물은 60%의 조립토(sieve no. #8 - #200)와 40%의 세립토(< sieve no. #200)로 구성되었으며, Deo et al. (2010)에 따라, 시편 내 공극의 전체 부피를 고려하여 침전물 무게 10g을 산정하였다. 침전물은 배수 실험 초기 단계에서만 주어졌으며, 건조 상태의 시편 표면에 고르게 분포되었다. 유량 0.13L/min에 대하여 시간 간격(초기 건조 상태(start), 5분, 1시간, 12시간, 2주)를 두고 배수 실험(Fig. 4)과 동일한 방식으로 실시되었으며, 가장 큰 공극을 가지는 투수성 보도블록의 주요 부분인 기층에 해당하는 시편 P10를 대상으로 하였다.
3. 시험 결과 분석
3.1 강도 및 투수성 표준 실험 결과
Table 2는 국내 표준 강도 시험 방법(KS F 2405, KS F 2408)에 따라 기층, P10을 대상으로 측정한 결과값을 나타내며, 시편이 해당하는 자체 투수성 보도블록(self- pervious block)의 압축강도 기준 16MPa, 휨강도 기준 4MPa을 만족시켰다(Seoul Metropolitan Facilities Management Corporation, 2013). 투수성 보도블록의 주요 목적인 투수 성능은 표층, 노반의 상부를 포함한 시편(P10, SP10, P10+BL)을 대상으로 시행되었으며, 모든 시편이 투수성 보도블록의 최소 투수 계수, 0.1mm/sec(KS F 4419)을 만족시켰다(Fig. 5). 시편 P10은 0.831mm/sec, 1-2mm 크기의 골재로 이루어진 표층을 포함한 SP10 시편은 0.796mm/sec로 유사한 투수 계수 값을 보여, 포화된 시편에서 측정되는 투수 계수에 표층의 영향이 미미한 것으로 나타났다. P10+BL은 0.4의 높은 공극률을 갖는 주문진의 영향을 받아, 1.907mm/sec의 큰 투수 계수를 보였다.
3.2 X-ray CT 이미지 분석에 따른 공극률 산정
P10과 SP10 시편의 3차원 X-ray CT 이미지(Fig. 6(a), 6(c))에서 밝은 색깔은 시편의 고형부분이며, 어두운 색깔은 공극을 나타낸다. 이진화(binarization)된 이미지로부터 각 공극에 해당하는 픽셀의 연결도에 따라 공극 크기 및 연결 공극이 산출되었다. Fig. 6(b)와 6(d)는 최대 연결 공극(갈색)과 그 외의 공극(파란색)을 구분하여 나타내고 있다. 기존 투수성 보도블록의 공극률은 14.1- 33.6%로(Kevern et al., 2005; Tennis et al., 2004; Huang et al., 2010), P10과 SP10은 적절한 공극률 및 최대 연결 공극률을 갖는다(Table 3). 비록 고립된 공극들이 경계 조건에 부분적으로 영향을 줄 수 있지만, 주로 시편의 상부와 연결된 최대 연결 공극이 투수성 보도블록의 우수한 배수 능력을 결정짓기 때문에, 배수 실험의 정량적 분석에는 최대 연결 공극률을 사용하였다.
P10의 평균 공극 지름은 1.10mm, SP10은 0.69mm로 SP10이 훨씬 작은 값을 보였다. 그러나 SP10의 표층과 기층을 따로 분석하였을 때, 각 평균 공극 지름값은 0.46mm, 0,97mm로 P10과 SP10의 기층 부분의 평균 공극 크기가 유사한 것으로 나타났다. SP10 기층 부분의 약간 저하된 평균 공극 지름값은 앞의 투수 실험에서 P10보다 작게 측정된 SP10 투수 계수에 영향을 미쳤을 것으로 보인다. 노반의 경우 입자들이 유동적이므로 X-ray CT 이미지 분석을 시행하지 않았으며, 노반 공극의 지름값은 유추되었다. Santamarina et al.(2001)에 따르면, 공극은 골재 크기의 최소 D/6.4(D: 골재의 지름)에서 최대 D/2.4 사이에 값을 가지므로, 2.36-4.75mm 크기의 주문진 규사는 0.363mm에서 0.983mm 크기의 공극을 가질 것으로 예상된다.
| |
Fig. 6. 3D X-ray computed tomographic images of specimens: Original gray-colored image. Maximum connected (brown color) and other (blue color) pores (a), (b) P10. (c), (d) SP10 | |
Table 3. Porosity of specimens by X-ray CT image analysis | |||
Specimen | Porosity | ||
Bulk porosity | Max connected pore | Mean diameter [mm] | |
P10 | 0.263 | 0.239 | 1.10 |
SP10 | 0.245 | 0.233 | 0.69 |
3.3 증발 양상
시간 간격 동안에 발생하는 공극 내의 변화를 반영하고자 실시된 증발 실험 결과는 Fig. 7과 같다. 일반적인 다공성 물질의 경우에, 증발 속도는 초기와 후기 포화도에 따라 두 구간(stage 1, stage 2)으로 나뉘며 전체적 양상은 이중선형(bilinear)을 나타낸다. 첫 번째 구간(stage 1)은 표면으로 연결된 공극 내 물이 증발(evaporation)하는 구간으로, 공기 중으로 노출되어 있는 표면의 영향을 받으며 모세관력(capillary force)에 의하여 물이 이동한다. 계속되는 증발로 공극 내 물의 연결이 끊어지게 되면서 두 번째 구간(stage 2)이 시작되는데, 이 구간은 증기(vapor)에 의하여 증발되므로 노출 표면의 영향이 줄어들고, 증발 속도가 현저하게 떨어진다(Yiotis et al., 2006; Shokri and Or, 2011; Lehmann et al., 2008).
P10은 stage 1에서 가장 빠른 속도로 물이 증발하였으며, SP10, P10+BL 순서로 증발 되었다. Fig. 8의 시편 단면(검정색: 시편 고체 부분, 흰색: 공극)과 같이 P10의 공기 중으로 노출된 공극 면적이 SP10보다 절대적으로 많아 증발 속도가 빠른 것으로 보인다. 또한 모관력은 공극의 크기에 반비례하기 때문에, 표층이 기층인 P10보다 더 큰 모관력을 가지고 있어 SP10의 증발 속도가 저하된 것으로 보인다. 반면 P10과 SP10의 변곡점은 유사한 시점에서 발생하였다. Shokri et al.(2010)에 따르면, 작은 골재로 이루어져 있는 얇은 층(thin and fine layer)이 굵은 골재 층(coarse textured layer)위에 위치한 경우, 증발 시에 공기가 굵은 골재 층의 상부에 갇히게 된다. 이로 인하여 공극 내 물의 연결이 끊어져 stage 2가 시작되는 것으로 보이며, 이는 SP10 시편에서 굵은 골재가 있는 기층의 영향이 지배적으로 작용한다고 볼 수 있다. 따라서 SP10과 P10의 변곡점이 유사한 시점에서 발생한 것으로 보인다. 노반을 포함하고 있는 P10+BL의 경우, 가장 느린 증발 초기 속도를 보였으며, 다른 두 시편과는 다르게 변곡점이 뚜렷하게 나타나지 않았다. 이는 작은 골재로 이루어진 노반 층이 물을 함유하고 있고 굵은 골재로 이루어진 기층(P10)에 공기가 침입하게 되면서 포화도 변화가 느려진 것으로 보인다.
| |
Fig. 8. Binarized cross section 3D X-ray image of (a) P10 specimen, (b) SP10 specimen (pore: white color, solid: black color) | |
3.4 시간 간격을 고려한 배수성 실험 결과
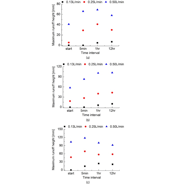
시간 간격에 따른 배수 실험을 통하여 불포화 상태에서 투수성 보도블록의 표면 유출 및 배수 변화 양상을 분석하였다. 투수성 보도블록의 표면 유출이란 시편을 통하여 배수 되지 못하고 상부에 쌓인 수량을 말하며, 10분동안 유입된 수량 중 표면 유출된 수량의 최대 표면 유출 높이는 Fig. 9와 같다. 유입량 0.06L/min에서 시간 간격에 비례하여 배수 시작점이 미미하게 지연되었으나 표면 유출은 발생하지 않아 Fig. 9에 포함되지 않았다. 유량 0.13L/min은 시간 간격에 따라 다른 표면 유출 양상을 보였다. 시편 P10의 경우, 시편의 초기 건조 상태인 start와 5분의 증발 후 시행한 배수 실험에서는 표면 유출이 발생하지 않은 반면, 1시간의 증발 이후 진행된 실험부터 표면 유출이 발생하여 최대 표면 유출 높이 5mm, 12시간 후에는 7mm를 보였다(Fig. 9(a)). 이는 증발 동안 변화된 공극 내부 상태로 인한 현상으로 보여 진다. 시간 간격 5분의 경우, 실험 전 증발 시간이 다소 짧아 초기 포화도가 비교적 높고 기층의 공극 내 물의 변화가 작아 큰 영향을 미치지 못한 것으로 보인다. 그러나 1시간, 12시간의 장기적인 증발이 진행되면서 공극 내 물이 공간적으로 재분배 되어 이동하는 물의 일부가 모관력에 의해 공극 내에 포획되고, 동시에 공극 내 공기가 물 분자 사이에 갇히게 된다. 이후에 재유입이 시작되면서 수압에 의해 공기의 압력이 높아지면서 압축된 공기 위로 물이 일시적으로 쌓이게 된다(Weizu and Freer, 1995; Perkins, 1957). 발생하였던 표면 유출은 실험이 진행되는 동안 점차 감소하며 사라졌는데, 이는 높아진 수압이 일시적으로 막혀 있던 공극을 뚫게 되어 배수 성능이 회복된 것이다. Fig. 9(b)와 같이, SP10은 표층의 작은 공극 크기로 인하여 P10보다 약간 상승한 표면 유출량을 보였으나 전반적으로는 P10과 비슷한 거동을 보였다. Fig. 9(c)는 노반을 포함한 시편인 P10+BL의 표면 유출 결과를 보여 주며, 5분의 시간 간격 후 14 mm의 최대 표면 유출 높이를 보였다. 또한 일시적으로 발생한 표면 유출과는 다르게, 발생한 표면 유출이 유입이 중단될 때까지 점차 증가하는 경향을 보였다. 이는 표층의 3배 높이로 설치된 노반 내에서 짧은 시간 동안의 증발로 인한 변화가 공극에 크게 영향을 미친 것을 알 수 있으며, 수압에 의해 쉽게 배수 성능이 회복되지 않는 것을 보여 준다. P10과 P10+BL은 5분이나 1시간의 시간 간격에서 가장 큰 최대 표면 유출 높이를 보이는 반면, SP10은 시간 간격에 비례하여 점차 증가하는 경향을 보였다. 이는 시편 상부의 작은 공극으로 인한 모세관력이 상당 시간 동안 지속되는 것을 나타낸다. 이러한 결과는 불포화 상태에서 투수성 콘크리트의 다공성 구조만으로는 표면 유출 발생 여부 등과 같은 전체적인 수리학적 양상을 단순히 결정하지 못한다는 것을 보여준다.
|
Fig. 9. Maximum runoff height depending on flow rates (0.13, 0.25, 0.50 L/min) with time intervals (a) P10, (b) SP10, (c) P10+BL |
측정한 배수량을 통하여 실시간 배수 속도(drainage rate) 변화를 구하였다. Fig. 10은 유량 0.13L/min에서 초기 시편이 완전 건조 상태였을 때(start-case)(Fig. 10(a))와 시간 간격 12시간 후 배수 실험을 진행하였을 때(12 hour- case)(Fig. 10(b))의 배수 속도 양상을 보여 준다. Start-case의 건조 시편의 초기 배수 속도는 급격히 증가하여 일정한 구간의 배수 속도와 차이가 거의 없는 반면, 12 hour- case에서 배수는 초기 낮은 속도를 보이면서 서서히 증가하다가 일정한 값으로 수렴하였다. 즉, 두 배수 실험에서 초기 배수 속도가 시작되는 구간(A)의 속도 차이는 크나, 배수 속도가 일정한 구간(B)은 일정한 값을 가졌다. 이러한 양상은 Fig. 9(a)의 표면 유출 발생과 관련성을 보였다. 동일한 유입 조건을 가지나 시간 간격에 따른 초기 포화도가 달랐던 두 배수 실험의 Fig. 10(a) 조건에서는 표면 유출이 발생하지 않았고 Fig. 10(b)의 조건에서는 표면 유출이 발생하였다(Fig. 9(a) 참고).
위의 실험 결과를 바탕으로, 초기 배수 속도와 수렴하는 배수 속도의 비율을 배수 성능(drainage capacity)으로 정의하였다. 배수 성능은 초기에 배수가 시작되면서 급증하는 값(Fig. 10(A))을 배수가 일정 해지는 구간(Fig. 10(B))의 배수 속도로 나누어 산출하였으며, Fig. 11은 유입되는 유량과 각 시편의 배수 성능과의 상관관계를 나타낸다. 시간 간격(초기 건조(start), 5분, 1시간, 12시간 후)에 따른 실험 결과는 Fig. 11의 각 유량에 순서대로 표기되었다. 0.06L/min의 유입량에서는 배수 성능이 우수하였으며, 유량 0.13L/min의 경우, 표면 유출이 발생하지 않은 P10, SP10의 구간(start-case, 5min-case)부터 배수 성능 감소가 시작 되었고, 시간 간격에 비례하여 배수 성능이 점차 저하 되었다. 0.25L/min는 초기 낮은 배수 성능을 보였는데, 이는 시편의 건조한 내벽으로 인한 것으로 공극 내 물이 연결되면서 비교적 빠르게 배수 속도가 일정해 졌다. 시간 간격에 따른 배수 성능 저하 폭이 P10과 SP10은 0.13L/min의 경우와 유사한 반면, P10+BL은 5분, 1시간의 시간 간격에서 20% 미만의 배수 성능을 보였고, 64.96%의 최대 배수 성능 차이를 가졌다. P10+BL은 유입량 0.50L/min에서도 시간 간격 5분, 1시간에서 배수 성능 20% 미만의 값을 나타냈으며, 최대 높이의 표면 유출을 보였다(Fig. 9). 이는 표층보다 두껍게 구성된 노반 층 내의 작은 공극에서 증발 발생 시, 물로 인한 일시적인 공극 막힘 현상 발생이 다발적으로 일어난 것으로 보인다. 즉, 노반은 표층 및 기층보다 증발에 민감하며, 불포화 상태에서 투수성 보도블록의 배수 성능을 크게 저하 시키는 것으로 나타났다.
|
Fig. 11. Drainage capacity in flow rates (0.13, 0.25, 0.50 L/min) with time intervals for specimens (P10, SP10, P10+BL) |
배수 실험 결과, 표면 유출 높이와 배수 성능은 서로 반비례하는 양상을 나타냈다(Fig. 12). 이는 초기 저하된 배수 속도로 인하여 일정한 배수 속도 회복까지 표면 유출량이 누적되어 배수 성능이 작을수록 누적된 표면 유출량이 많아 발생하는 현상이다. 식 (2)를 통하여 초기 배수 성능으로부터 대략적인 최대 표면 높이를 예측할 수 있다.
|
Fig. 12. Correlation between drainage capacity and maximum runoff height |
|
Fig. 13. Correlation between maximum runoff height and average degree of saturation |
(2)
위의 식에서 x는 배수 성능(drainage capacity)[%], y는 최대 표면 유출 높이(maximum runoff height)[mm]를 나타낸다. 본 식은 배수 성능이 20% 미만인 경우는 제외하였다(점선 표시, Fig. 12). 20% 미만의 배수 성능에서 상대적으로 낮은 최대 표면 유출 높이(파란색 배경)는 유입 속도 0.25L/min에 해당하며, 상대적으로 높은 최대 표면 유출 높이(빨간색 배경)는 유입 속도 0.50L/min에 해당한다. 즉, 초기 배수 성능이 매우 낮은 경우 최대 표면 유출 높이는 유입량의 절대적인 영향을 받는 것으로 보인다. 배수 성능이 20% 미만인 경우는 P10+BL에서 나타났으며, 최대 표면 유출 높이의 차가 가장 컸다.
3D X-ray CT 이미지 분석으로 구한 연결 공극률과 측정된 배수량 및 표면 유출량을 통하여 시편 내부의 실시간으로 변화하는 포화도(degree of saturation) 양상을 관찰하였다. Fig. 13은 평균 포화도와 최대 표면 유출 높이의 상관관계를 나타내며, 평균 포화도는 최대 표면 유출 높이의 증가와 관계 없이 일정 구간 내에 존재하였다(Fig. 13의 gray box). 이는 표면 유출이 발생하여도, 연결 공극의 전체는 사용되지 않는 것을 의미한다. 그러나 유입량이 0.50L/min으로 표면 유출이 크게 발생하는 경우(점선 표시, Fig. 13)는 대체적으로 큰 값을 가졌으며, 최대 92.63 %의 평균 포화도를 보였다. 이를 통하여, 일정한 수압 이상을 가했을 때, 연결 공극 중 사용되지 않았던 부분이 추가적으로 사용되는 것으로 유추할 수 있으며, 이는 수압이 모관력 등의 공극 내력을 극복하고 연결 공극을 확보하는 것으로 보인다.
3.5 시간 간격을 고려한 공극 막힘(clogging) 실험 결과
침전물을 건조 상태 시편에 분포 한 뒤, 동일한 유량으로 반복적인 배수 실험을 한 결과는 Fig. 14와 같다. Fig. 14(a)는 5번의 배수 실험 동안 시편을 통과하여 배출된 침전물을 나타낸다. 침전물은 꾸준히 배출되었으나, 그 양은 점차 줄어들었으며, 배출되어 나온 침전물은 모두 세립토였다. 이는 침전물의 굵은 입자가 공극을 빠져 나오지 못하고 내부에 침전되어 투수성 보도블록의 거동에 영향을 주고 있음을 의미한다.
일반 배수 실험에서는 초기 건조 상태(start-case)와 5분의 시간 간격(5min-case)에서 표면 유출이 발생하지 않은 반면, 공극 막힘 현상 실험에서는 초기부터 표면 유출이 최대 15mm까지 발생하였다. 그리고 12 시간 간격 이후, 일반 배수 실험에서 최대 표면 유출 높이 7mm를 가진 반면, 침전물을 동반하여 시행된 배수 실험에서는 40mm로 약 6배가 증가하였다. 배수 성능은 start-case의 87.64%에서 5분의 시간 경과 후 28.11%로 급감하여, 표면에 있는 침전물이 공극 내로 침투하게 되면서 증발에 의한 영향이 증폭된 것을 확인하였다. 또한 2주의 시간 간격을 두고 시행된 실험에서 배수 성능이 41.58%로 약간 회복되었으나, 표면 유출은 32mm로 여전히 높게 나타났다. 반복적인 배수 실험을 통한 지속적인 침전물의 배출에도 불구하고 표면 유출이 감소하지 않았는데, 이는 증발로 인해 공극 상태가 초기 공극 상태에 근접해 졌으나, 공극 내부에 조립토와 같은 침전물은 남아 있기 때문이다.
또한 공극 막힘 현상의 배수 성능 및 최대 표면 유출 양상과 기본 배수 실험 결과(Fig. 12)를 비교하였을 때, 증발 후, 동일한 배수 성능에 대한 최대 표면 유출 높이가 높아졌다. 비록 계속되는 유입으로 인하여 배수 속도가 Fig. 10(b)와 같이 일정한 배수 속도로 수렴하였으나, 초기 배수 속도가 매우 낮아 (낮은 배수 성능), 표면 유출량이 누적된 것으로 보인다. 이를 통해 굵은 입자인 조립토가 공극 막힘 현상의 주요 원인이며, 공극을 빠져 나가지 못하여 평균 공극 크기를 감소 시키는 효과를 나타낸다. 이는 증발에 따른 공극 변화를 촉진시켜, 표면 유출량을 증진시킨다. 세립토는 상대적으로 영향이 미비하나, 실제 도심 환경에서는 배출된 세립토가 노반으로 침투하게 되면서, 노반의 공극 변화를 증폭시킬 것으로 보인다.
4. 결 론
본 연구는 투수성 보도블록이 시공되는 환경을 반영하여 전체적인 배수 양상을 분석하고자 하였으며, 시판되는 투수성 보도블록의 특성 및 도심지 강우 특성을 반영하였다. 시편은 표준 강도 및 투수 계수를 만족시키는 기본 투수성 보도블록과 보행자의 안전 확보를 위한 표층, 블록의 안정적인 설치를 위한 노반을 포함하여 총 3가지 종류로 구성하였다. 산발적인 강우 특성 및 불투수성 지역과 같은 도심지 조건을 반영하고자, 시간 간격을 둔 반복적인 배수 실험과 공극 막힘 현상 실험이 진행되었다. 실시간으로 표면 유출량 및 배수량을 측정하였으며, 3D X-ray CT 이미지 분석 및 증발 실험 결과를 반영하여 분석하였다. 실험 결과, 시간 간격 동안 발생한 증발이 공극 내 물을 공간적으로 재분배시켜, 표면 유출이 발생하고 유출량이 변화하였다. 표층 및 노반은 기층보다 작은 공극의 크기로 인하여 증발에 의한 투수성 보도블록의 배수 성능 저하를 증폭시켰다. 특히, 가장 높은 투수 계수를 보였던 노반을 포함한 시편은 불포화 상태에서 초기 배수 속도가 크게 저하되어 가장 큰 표면 유출량을 발생시켰다. 또한 시간 간격에 따라 배수 성능의 변화폭이 가장 커, 증발에 민감한 것으로 나타났다. 이는 노반의 두께가 표층보다 두껍고 공극 입자가 작아 증발에 의한 공극 내 변화가 큰 것으로 보인다. 그리고 공극 막힘 현상 실험 결과, 반복되는 배수 실험을 통하여 유입된 침전물이 끊임없이 배출되나, 조립토는 배출되지 못하고 공극의 크기를 줄이는 효과를 보였다. 이는 증발에 따른 변화를 증폭시켰으며, 이에 따라 표면 유출이 급증하고 배수 성능은 급감하였다. 이러한 실험 결과는 기존에 측정되었던 포화 상태에서의 투수성 보도블록 성능이 실제 환경인 불포화 상태에서는 저하되는 것을 의미한다. 또한 초기 배수 성능과 최대 표면 유출 높이의 관계로부터 대략적인 최대 표면 유출 발생량이 유추 가능할 것으로 보이며, 이는 도심 지역에 국지성 집중호우와 같은 강우 시, 투수성 보도블록의 초기 배수 성능 측정을 통하여 최대 표면 유출 발생량을 파악하고 사전에 대응하며 배수 시스템을 개선하는 데에 기여할 것으로 사료된다.
















