1. 서 론
2. 배경이론
2.1 균열밀도 모델의 물리 기반 탄력도
2.2 AI 기반 민감도 분석
3. 데이터 확보 및 불확실성 적용
4. 영향성 분석 결과
4.1 탄력도 분포 특성
4.2 AI 알고리즘 기반의 중요도 분석
5. 토 론
6. 결 론
1. 서 론
균열은 암반 및 지반 재료의 역학적 거동을 지배하는 핵심 구조적 요소로, 미세한 균열의 발달 정도와 배향(orientation), 개방률(aperture), 연결성(connectivity)에 따라 탄성계수, 전단강도, 투수성, 파괴 특성이 크게 변화한다(Yun et al., 2025). 특히 탄성파 기반 비파괴 탐사 기법은 균열의 존재를 감지하고 그 영향 범위를 추정하는 데 널리 사용되고 있으며, 이때 탄성파 속도 변화와 균열밀도간의 관계는 재료 상태 평가의 출발점이 된다. 균열밀도는 매질 내 존재하는 균열의 총량을 정량적으로 표현하는 지표로서, 매질의 강성 저하와 파속 감소를 설명할 수 있는 구조적 변수로 기능한다(Kim et al., 2024). 이러한 이유로 균열밀도는 지반 및 암반공학뿐 아니라 지진공학, 토목 구조물 건전성 평가, 지하 구조물 안전성 평가 등 다양한 분야에서 핵심 매개변수로 다루어진다(Bae et al., 2024; Heo and Byun, 2025). 전통적으로 균열밀도는 실험적 관측, 역산 기법, 또는 이론적 모델을 바탕으로 추정되어 왔다. 특히 탄성파 전파 이론에 근거한 균열매질 모델은 균열의 존재가 등가 매질의 유효 탄성계수와 파속에 미치는 영향을 수식으로 묘사할 수 있다는 장점을 갖는다. 이러한 이론에 기반하여 제안된 Byun et al.(2015)의 균열밀도 산정식은 단순한 형태에도 불구하고 다양한 암반 재질에서 실험적으로 검증된 바 있으며, 현재까지도 균열 지수 연구에서 널리 사용되고 있다. 그러나 균열밀도의 항으로 정리된 수식은 탄성파속도와 간극률의 비선형 조합으로 구성되기 때문에 입력 물성치의 작은 변화가 출력에 어떻게 전파되는지 그 구조적 특성을 면밀히 분석할 필요가 있다.
실제 현장 및 실험 환경에서는 탄성파 속도 측정값이 다양한 형태의 불확실성을 포함한다(Cao et al., 2024; Meng et al., 2024; Zhang et al., 2024). 예를 들어 센서 압착력, 시료 접촉 상태, 온도 변화, 물성의 이방성, 장비 분해능 등의 요인으로 인해 동일한 시료라도 측정값이 반복 측정 시 미세하게 달라진다. 간극률 측정 역시 건조·포화 과정, 시료 절단, 밀도 측정 방식 등에 따라 오차가 발생하기 쉽다. 이러한 측정 불확실성을 고려하지 않은 균열밀도 예측은 민감도 왜곡을 초래할 수 있으며, 특히 비선형성을 지닌 균열모델에서는 입력 오차가 출력 분산을 과도하게 확장시키는 현상까지 발생할 수 있다. 그럼에도 기존 연구에서는 입력 데이터의 불확실성 수준 변화가 균열밀도 예측 결과에 어떤 영향을 미치는지, 그리고 어떤 변수의 민감도가 상대적으로 더 크게 변화하는지에 대한 체계적인 분석이 부족했다.
한편, 물리 기반 균열모델이 제공하는 민감도는 모델 구조를 반영한 이론적 결과이기 때문에 식이 반영하지 못하는 데이터 기반 특성인 변수 간 상관성, 비선형 상호작용 그리고 측정 잡음은 반영하지 못한다. 이를 보완하기 위해 최근 지반·암반 분야에서도 데이터 기반 AI 기법을 활용하여 변수 중요도를 평가하려는 시도가 점차 늘고 있다. 그러나 기존 연구는 대부분 Random Forest나 SHAP에 집중되어 있으며, 이 방법들은 이미 지나치게 널리 사용되고 있어 연구의 새로운 기여도가 제한되는 문제가 있다(Go et al., 2024). 또한 SHAP의 경우 계산량이 많고, 변수 간 상관성이 높을 때 과잉 해석을 유발한다는 한계가 보고되고 있다(Ahmed et al., 2024; Antonini et al., 2024). 이러한 한계를 해결하기 위해, 본 연구는 물리 기반 민감도 분석과 AI 기반 변수 중요도 분석을 통합하여 균열밀도 예측의 지배인자를 종합적으로 규명하는 새로운 접근법을 제안한다. 우선 Byun et al.(2015)의 실험 데이터를 기반으로 입력 물성에 대해 1%, 2%, 5% 수준의 상대 불확실성을 부여하여 Monte Carlo 증폭 데이터를 생성하고, 이를 통해 균열밀도 예측식이 입력 오차에 대해 어떻게 반응하는지를 분석하였다. 이어서 탄력도 기반 민감도 분석을 통해 균열밀도가 각 물성에 대해 갖는 국소 민감도를 평가하였다. 동시에, LASSO 회귀, Gradient Boosting Regressor, PLSR VIP Score 세 가지 AI 기법을 활용하여 데이터 기반 변수 중요도를 산정함으로써, 모델 구조와 실제 데이터의 상호 관계를 전역적 관점에서 해석하였다. 이와 같은 이중 분석체계는 기존 연구가 놓쳤던 입력–출력 관계의 비선형성, 불확실성 전파, 변수 간 상관성 문제를 종합적으로 평가할 수 있다는 점에서 의의가 있다.
본 논문은 균열밀도 산정식의 이론적 배경과 물리 기반 탄력도 정의, 그리고 AI 기반 변수 중요도 평가 기법을 상세히 소개하는 것으로 시작하며, Byun et al.(2015)의 실험 데이터와 이를 기반으로 한 Monte Carlo 증폭 절차와 σ 수준별 데이터 구성 특성을 설명한다. 4장에서는 물리식 기반 탄력도 분석과 AI 기반 중요도 분석 결과를 제시하고, 5장에서는 두 분석법 간의 일치·불일치 원인을 중심으로 균열모델의 비선형 특성과 지배 변수의 역할을 심층적으로 논의한다. 마지막으로 결론에서는 해당 연구 결과의 주요 내용과 향후 연구 방향을 제시한다.
2. 배경이론
2.1 균열밀도 모델의 물리 기반 탄력도
균열을 포함한 암반 또는 다공성 지반의 동적 거동은 압축파 속도(Vp), 전단파 속도(Vs), 간극률(φ), 포아송비(ν) 등 탄성물성 변화에 민감하게 반응한다. 본 연구에서는 Byun et al.(2015)에 기반한 균열밀도 산정식을 사용하였다. 해당 모델은 유효매질 이론(Biot-consistent effective medium theory)에 의해 도출된 것으로, 암반 내 미세균열의 크기, 방향성, 공극 특성 등이 거시적 탄성파 응답에 미치는 영향을 수식적으로 표현한다. 균열밀도 ε는 다음과 같이 정의된다.
여기서, Gs는 비중을 의미하며, 과 는 간극률과 균열의 종횡비를 나타낸다.
균열밀도 산정식은 입력 물성치의 변화가 균열밀도에 어떠한 방식으로 반영되는지를 비선형적으로 표현한다. 그러나 개별 입력변수가 균열밀도에 미치는 상대적 기여 정도는 수식 자체만으로 직관적으로 이해하기 어렵다. 본 연구에서는 이러한 입력–출력 간의 민감도를 정량적으로 표현하기 위해 탄력도(elasticity) 개념을 도입하였다. 탄력도는 경제학·공학 분야에서 널리 사용되는 무차원(normalized) 민감도 지표이며, 특정 입력변수가 1% 변화할 때 출력변수가 몇 % 변하는지를 나타낸다. 균열밀도 ε가 입력변수에 대해 갖는 탄력도는 다음과 같이 정의된다.
탄력도의 계산은 입력변수에 대한 미분항 ∂ε/∂x를 필요로 한다(Mao et al., 2024). 그러나 균열밀도 수식은 고차 비선형성을 갖기 때문에 해석적으로 미분식을 도출하는 것이 어렵다. 이에 본 연구에서는 각 입력변수에 대해 ±1% 변화를 부여하는 유한차분 방식을 적용하여 수치적으로 미분값을 근사하였다. 즉, x를 1% 증가(x) 및 1% 감소(x−)시킨 상태에서 계산된 균열밀도 ε+, ε−을 이용하여 미분항을 추정하였다.
2.2 AI 기반 민감도 분석
물리식 기반 탄력도는 균열밀도 산정식의 구조로부터 도출되는 이론적 민감도를 제공한다는 점에서 유용하지만, 실제 자료에서는 비선형성, 변수 간 상관성, 측정 오차, 그리고 모델식이 설명하지 못하는 잔차가 존재한다. 이러한 이유로, 물리식만을 통해 얻은 민감도는 실제 자료의 변동성과 입력–출력 관계를 완전히 반영하지 못하는 한계가 있다. 이에 본 연구에서는 물리 기반 분석을 보완하고, 실제 데이터 관점에서 균열밀도 ε를 지배하는 변수를 규명하기 위해 AI 기반 변수 중요도 분석을 수행하였다. 기존 연구에서는 주로 Random Forest(RF)의 분할 중요도나 SHapley Additive exPlanations(SHAP)의 기여도 분해 방식을 사용해 왔다. 그러나 RF와 SHAP은 이미 광범위하게 활용되고 있으며, 특히 SHAP은 계산 복잡성이 높고, 모델 특성에 따라 과도한 해석을 유발할 수 있는 한계가 보고되고 있다. 따라서 본 연구에서는 RF와 SHAP을 의도적으로 배제하고, 다음 세 가지 분석 기법을 채택하여 새로운 시각의 데이터 기반 민감도 평가를 수행하였다.
(1) L1 regularization(LASSO)
L1 regularization(LASSO)는 다음 수식 (3)의 목적함수를 최소화하며, 중요도가 낮은 변수의 계수를 0으로 수축시켜 LASSO가 자연스럽게 변수 선택 기능을 갖도록 만든다(Hajihosseinlou et al., 2024). 따라서, |βi|의 크기는 변수 i가 균열밀도 ε을 설명하는 정도를 나타내는 지표로 해석할 수 있다. LASSO 기반 변수 중요도는 선형 관계 또는 약한 비선형 관계가 지배적인 상황에서 특히 안정적이며, 데이터 내 다중공선성 문제에도 강인한 특성을 보인다(Mishra and Pandey, 2025).
여기서, X는 압축파 속도, 전단파 속도 및 간극률 등의 입력 변수이며, 는 회귀계수 벡터이다.
(2) Gradient Boosting Regressor(GBR)
Gradient Boosting Regressor(GBR)는 잔차(residual)를 단계적으로 보정해 나가는 부스팅 방식의 앙상블 모델로, 선형성이 약한 복잡한 관계나 변수 간 상호작용이 존재하는 문제에서 우수한 예측 성능을 보이는 것으로 알려져 있다(Sinha et al., 2024; Alahmad et al., 2025). GBR의 변수 중요도는 각 노드 분할이 전체 모델 성능(MSE 감소)에 기여한 정도를 기반으로 계산된다.
이는 RF와는 다른 방식의 중요도 산정으로, 변수 간 상호작용 효과를 상대적으로 더 민감하게 포착할 수 있다. 본 연구에서는 GBR 기반 중요도를 사용하여 균열밀도 예측 과정에서 Vp, Vs, 및 φ가 차지하는 비선형적 기여도를 정량적으로 평가하였다.
(3) Partial Least Squares Regression(PLSR)
Partial Least Squares Regression(PLSR)은 입력 X와 출력 Y의 공분산을 극대화하는 잠재변수(를 구성하여 회귀를 수행하는 방법으로, 특히 다중공선성 상황에서 높은 신뢰도를 갖는 것으로 알려져 있다. 균열밀도 모델에서 Vp와 Vs는 서로 밀접한 상관관계를 가지며, 이러한 상황에서 PLSR은 개별 변수의 독립적 기여를 평가하는 데 유리하다(Sun et al., 2024; Wang et al., 2024). 변수 중요도는 Variable Importance in Projection(VIP) 점수로 정의되며 다음과 같이 계산된다.
여기서, p는 전체 변수 개수, wja는 변수 j가 latent component a에 기여한 비중 그리고 SSYa는 component a가 출력 ε 변동을 설명한 제곱합이다. VIP 값은 1.0 보다 클 때, 0.8 보다 작을때를 각각 중요한 변수와 영향이 상대적으로 낮은 조건으로 해석하며, 그 사이는 중간 중요도로 본다. VIP는 입력변수가 균열밀도 예측에 기여하는 정보량의 투영된 영향도를 의미하므로, LASSO 및 GBR 기법과 성격이 상이한 보조적 민감도 정보를 제공한다.
3. 데이터 확보 및 불확실성 적용
실제 현장에서 측정되는 암반 물성치는 항상 일정 수준의 불확실성을 내포하고 있다. 예를 들어 탄성파 속도는 센서 접촉 상태, 수분 조건, 시료 형상, 현장 잡음 등에 따라 동일 시료를 반복 측정하더라도 값이 미세하게 달라진다. 간극률 역시 건조 및 포화 상태, 시료 절단 과정, 무게 측정 오차 등에 의해 변동성이 발생한다. 이러한 불확실성을 고려하지 않고 단일 값만을 이용해 균열밀도를 산정하면, 균열밀도 예측식의 출력 이 얼마나 안정적인지, 혹은 입력 오차에 얼마나 민감한지에 대한 정량적 평가는 불가능하다. 본 연구에서는 Byun et al.(2015)에서 제시한 10개 암석 시료 × 10단계 풍화 결과로부터 얻어진 원천 데이터(Vp, Vs, φ)를 기반으로, 입력 물성치의 불확실성을 모사하기 위한 Monte Carlo 데이터 증폭을 수행하였다. 구체적으로는, 각 데이터 포인트에 대해 다음 세 수준의 상대 표준편차를 불확실성 수준 σ로 가정하였다.
1) σ = 1% : 계측 오차가 상대적으로 작은 고정밀 측정 상황
2) σ = 2% : 일반적인 실험·현장 측정 수준
3) σ = 5% : 열악한 현장 환경 또는 시료 이질성이 큰 상황을 가정한 경우
증폭 절차는 다음과 같다. 먼저, Byun et al.(2015)의 실험에서 얻어진 각 풍화 단계별 원본 데이터로 정의한 후 각 σ 수준별로 정규분포 기반 난수 샘플링을 통해 증폭된 입력값을 생성하였다. 각 σ 수준마다 이러한 방법으로 1000개의 샘플을 생성하고, 해당 샘플에 Eq. (1)을 적용하여 균열밀도 ε를 산정하였다. 그 결과, σ = 1%, 2%, 5% 각각에 대해(Vp,Vs,ϕ,ε)로 구성된 Monte Carlo 데이터셋이 구축되었다. 이 증폭된 데이터셋은 이후 물리식 기반 탄력도 분석과 AI 기반 변수 중요도 평가에서 공통으로 활용된다. 특히, σ 수준별로 입력 분포와 출력 분포가 어떻게 변화하는지 비교함으로써, 입력 불확실성이 균열밀도 예측의 분산과 믿을 수 있는 범위(신뢰구간)에 어떠한 영향을 미치는지를 확인할 수 있다.
Monte Carlo 증폭 결과를 보다 직관적으로 이해하기 위해 각 σ 수준에서 생성된 입력 및 출력 변수의 분포를 히스토그램 형태로 Fig. 1에 도시하였으며, 1%, 2% 그리고 5%의 불확실성 수준에서 압축파 속도, 전단파 속도, 간극률 및 균열밀도의 분포 변화를 보여준다. Fig. 1(a)는 압축파 속도의 분포를 나타낸다. 원본 데이터는 약 3000 m/s 전후의 값들을 중심으로 비교적 좁은 범위에 분포하나, σ = 1% 증폭 결과는 원래 분포를 중심으로 한 가느다란 종 모양(Gaussian-like histogram)을 보인다. σ = 2% 및 σ = 5%에서는 동일한 평균을 중심으로 하되, 분포 폭이 단계적으로 넓어지며 꼬리가 양·음 방향으로 확장되는 모습이 관찰된다. 이는 입력 데이터에 부여한 상대 표준편차가 점진적으로 커짐에 따라 Vp 측정값의 불확실성이 어떻게 확대되는지를 개략적으로 보여준다. Fig. 1(b)의 전단파 속도 분포 역시 Vp와 유사한 경향을 보인다. σ = 1%에서는 원본 값 주변에 밀집된 분포를 보이지만, σ = 5%에서는 저속 및 고속 영역으로 분포가 넓게 퍼지며, 일부 샘플은 원본 데이터 범위를 벗어난 영역까지 나타난다. 이러한 분포 확장은 균열밀도 산정식에서 Vs가 강성 및 균열 기하 특성에 영향을 미치므로, Vs 불확실성이 ε의 불확실성으로 어떻게 전파되는지를 분석하는 데 중요한 기반 자료를 제공한다. Fig. 1(c)는 간극률 φ의 분포이다. 원천 데이터의 간극률은 약 0.5~2.5% 수준으로 매우 좁은 범위에 존재하지만, σ = 1%, 2%, 5%의 상대 오차를 적용하면 간극률 분포의 폭이 점진적으로 증가함을 확인할 수 있다. 다만 초기 분포 폭이 매우 작기 때문에, σ 수준이 증가하더라도 여전히 전체 분포는 0~3% 내외의 제한된 범위에 머무른다. 또한 음수로 샘플링된 값은 0으로 보정되었기 때문에, 히스토그램의 최하단 구간에 값이 약간 몰리는 경향이 존재할 수 있다. 마지막으로 Fig. 1(d)는 균열밀도 ε의 분포를 제시한다. 앞선 세 변수(Vp, Vs, φ)의 불확실성이 동일하게 증가하더라도, 균열밀도 분포는 단순히 선형적으로 넓어지는 것이 아니라 비선형적인 왜도(skewness)와 꼬리 증가를 동반하여 변화하는 것이 특징적이다. σ = 1%에서는 ε 값이 비교적 좁은 범위에 모여 있으며, 대체로 대칭에 가까운 분포를 보이지만, σ = 5%에서는 우측 꼬리가 길어지고 분포의 비대칭성이 커지면서 일부 샘플은 상당히 큰 균열밀도를 나타낸다. 이는 균열밀도 산정식이 Vp, Vs, φ의 변화에 대해 비선형 구조를 가지므로, 입력 불확실성이 출력 영역에서 증폭되거나 특정 조건에서 민감 구간을 형성하기 때문으로 해석할 수 있다.
Fig. 2는 입력 물성치(Vp, Vs, φ)와 균열밀도 ε에 대해 불확실성 수준(σ = 1%, 2%, 5%)을 적용했을 때 평균값이 어떻게 변하는지를 나타낸 것이다. Vp와 Vs의 평균은 세 수준의 σ 조건에서 모두 거의 동일하게 유지되며, 이는 몬테카를로 기반 난수 샘플링이 원자료의 중심 경향성을 보존하도록 설계되었기 때문이다. φ 역시 매우 좁은 범위에서 일정한 평균을 유지하는데, 이는 원래 데이터 자체의 분산이 작고, 입력 오차가 상대적 형태로 부여되기 때문에 평균값의 변동이 제한적이기 때문이다. 한편, 균열밀도의 평균은 입력 변수들과 달리 σ 증가에 따라 소폭 증가하는 경향을 보인다. 이는 균열밀도 산정식이 분모와 분자에 비선형 항을 포함하고 있어 입력 변동이 ε 평균에 완전히 대칭적으로 반영되지 않기 때문이며, 특히 분모 항의 변화가 ε의 평균 이동을 유발하는 것으로 해석된다. Fig. 3은 동일한 변수들에 대해 표준편차의 변화를 시각화한 것으로, 불확실성 수준이 증가함에 따라 데이터 분산이 어떻게 확장되는지를 보여준다. Vp와 Vs의 표준편차는 σ의 증가에 따라 선형적으로 비례하여 증가하며, 이는 증폭 과정에서 적용한 상대 표준편차가 그대로 반영된 결과이다. 간극률은 원자료의 값이 매우 작기 때문에 전체 표준편차 역시 작게 유지되지만, σ 증가에 따른 분산 확대는 명확하게 관찰된다. 균열밀도 ε의 표준편차는 세 변수(Vp, Vs, φ)보다 더욱 민감하게 반응하며, σ 증가에 따라 보다 급격하게 증가하는 특징을 보인다. 이는 Eq. (1)의 구조적 특성상 입력 물성의 작은 변동도 출력 영역에서는 비선형적으로 증폭되기 때문이며, 특히 분모의 값이 작아지는 구간에서는 ε의 분포 폭이 더 크게 확대될 수 있다.
4. 영향성 분석 결과
4.1 탄력도 분포 특성
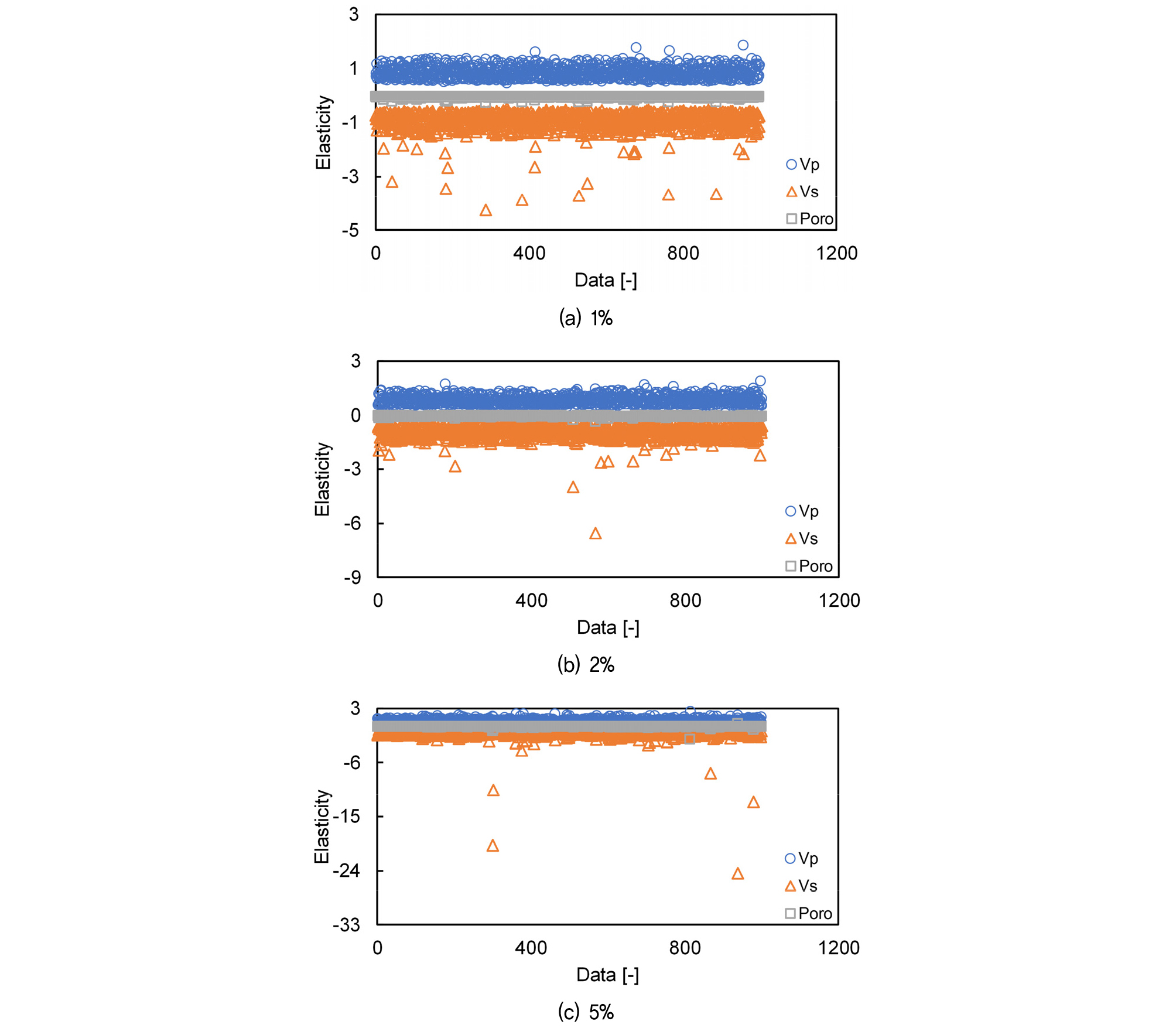
Fig. 4는 불확실성 수준이 각각 1%, 2%, 5%로 증가함에 따라 입력 변수(Vp, Vs, φ)에 대해 계산된 탄력도(Elasticity) 지표의 분포 변화를 나타낸 것이다. 각 데이터 포인트는 Monte Carlo로 생성된 개별 샘플에 대한 탄력도 값을 의미하며, 데이터 번호(Data index)는 샘플링 순서를 나타낸다. 전반적으로 Vp와 Vs는 두 변수 모두 균열밀도 산정식에 비선형적으로 기여하므로 탄력도 값 역시 넓은 분포 범위를 갖는다. 반면, φ는 균열밀도 식의 분자 항에 선형적으로 등장하기 때문에 상대적으로 좁고 안정된 탄력도 범위를 보인다. 이러한 차이는 균열밀도 모델이 Vp와 Vs에 훨씬 더 강한 비선형 의존성을 가진다는 구조적 특징을 반영한다. Fig. 4(a)는 σ = 1% 조건이며, 모든 입력 변수의 변동 폭이 작아 탄력도 값 역시 비교적 안정적인 분포를 보인다. Vp는 주로 0.5–1.5 범위에 집중되며, 균열밀도에 대해 일관된 양(+)의 기여 방향을 갖는다. Vs는 전체적으로 음(–)의 기여를 보이는데, 이는 Vs 증가가 균열밀도 ε을 감소시키는 방향으로 작용함을 의미한다. φ는 –0.05~0.05 내외의 매우 좁은 범위에서 분포하며, 간극률 변화가 균열밀도에 미치는 영향은 작고 비교적 선형적임을 보여준다. Fig. 4(b)는 2% 조건으로 Vs 탄력도의 분산이 눈에 띄게 증가한다. 이는 Vs가 균열밀도 산정식의 분모 부분을 통해 비선형적으로 작용하기 때문에 입력 변동성이 커질수록 ε의 변화량이 더 민감해지기 때문이다. 일부 Vs 탄력도는 –6까지 확대되어, 비선형 민감 구간이 존재함을 시사한다. Vp는 평균적으로 안정된 수준을 유지하지만 극값의 폭이 약간 확대되며, φ는 여전히 작은 변화 범위를 유지한다. 마지막으로 Fig. 4(c)는 5% 결과로 Vs 탄력도의 분포 폭이 크게 확장되며 일부 값은 –20 이하로 크게 감소한다. 이는 입력 오차가 충분히 커질 경우 Vs가 균열밀도의 주요 지배 인자로서 지배적 비선형성을 나타낸다는 점을 보여준다. Vp는 여전히 양의 탄력도 범위에 있지만 편차가 증가하여 ε에 대한 영향의 불확실성이 커짐을 나타낸다. 반면 φ는 σ 증가와 관계없이 거의 일정한 탄력도 분포를 유지하여, ε에 대한 간극률의 영향은 상대적으로 낮고 안정적임을 다시 확인할 수 있다. 영향성 분석 결과를 종합해보면 불확실성 증가에 따라 Vs, Vp, φ 순으로 탄력도 분포 폭이 크게 확대되며, 특히 Vs는 σ 증가 시 민감도 비선형성이 가장 강하게 나타나는 변수임을 시사한다.
Fig. 5는 입력 변수에 대해 σ = 1%, 2%, 5% 조건에서 계산된 평균 절대 탄력도를 비교한 결과이다. 평균 절대 탄력도는 각 변수의 기여 방향(증가/감소)을 제거하고, 균열밀도에 미치는 순수 영향의 크기만을 평가하기 위한 지표이다. 그림에서 보듯이, Vp는 세 σ 조건에서 모두 가장 높은 평균 탄력도 값을 나타내며, 균열밀도 ε이 압축파 속도 변화에 가장 민감함을 의미한다. Vs는 두 번째로 큰 영향도를 보이며, σ가 증가함에 따라 평균 탄력도가 점차 증가하는 경향을 나타낸다. 이는 σ 증가가 Vs의 비선형 민감성 확대를 유발한 Fig. 4의 관찰 결과와 일관된다. 반면 φ의 평균 탄력도는 모든 σ 조건에서 매우 낮은 값을 유지하며, 간극률 변화가 균열밀도에 미치는 영향은 미미함을 확인할 수 있다. 특히 σ = 5% 조건에서 Vp와 Vs의 평균 탄력도가 유사한 수준까지 접근하는 것은, 입력 오차가 커질수록 Vp와 Vs 모두 균열밀도 산정에 주요 기여를 한다는 점을 시사하며, ε 산정식에서 Vp와 Vs가 모두 비선형 항을 통해 ε에 기여하고 있음을 보여준다. 반대로 φ는 σ 증가와 무관하게 안정적인 영향도 수준을 유지하여, ε 산정에서의 구조적 영향이 제한적임을 재확인할 수 있다.
4.2 AI 알고리즘 기반의 중요도 분석
입력 물성치에 대해 세 가지 AI 기반 방법(LASSO, GBR, PLSR)을 적용하여 산출한 변수 중요도를 Fig. 6에 나타내었으며, (a), (b) 그리고 (c)는 불확실도 수준 σ = 1%, 2%, 5% 조건에서의 결과이다. σ = 1% 조건인 Fig. 6(a)는 두 번째 영향 변수로 평가된다. φ은 세 방법 모두에서 비교적 낮은 중요도를 보이며, 이는 물리 기반 탄력도 분석에서 확인된 결과와도 일관된다. 특히 LASSO와 PLSR은 φ의 계수가 거의 0에 가까워 간극률 변화가 균열밀도 ε 예측에 기여하는 비율이 매우 제한적이라는 점을 명확히 보여준다. σ = 2% 조건(Fig. 6(b))에서도 전체적인 중요도 순위는 동일하게 유지된다. 그러나 Vs의 중요도가 세 알고리즘 모두에서 뚜렷하게 증가하며, 특히 GBR에서는 Vs가 Vp에 근접한 수준까지 상승하는 양상을 보인다. 이는 입력 변동성이 커질수록 Vs가 ε의 변동성에 미치는 영향이 강화되는 결과로, Fig. 4에서 나타난 탄력도 분산 증가와도 맞물린 현상이다. 반면 φ는 σ가 증가해도 거의 일정한 낮은 수준을 유지하고 있어, ε 산정식인 수식 (1)의 구조적 영향이 데이터 기반 분석에서도 그대로 관찰됨을 시사한다.
마지막으로 Fig. 6(c)인 σ = 5% 조건은 Vs의 중요도가 가장 크게 증가하였으며, GBR 알고리즘에서는 Vs가 Vp와 거의 동등한 수준의 기여도를 보인다. 이는 불확실성 수준이 충분히 커질 경우, Vs가 ε 산정식의 분모 항에 미치는 비선형적 영향이 더욱 확대되기 때문이다. 반면 LASSO와 PLSR은 여전히 Vp를 가장 중요한 변수로 평가하지만, Vs와의 차이는 σ가 증가함에 따라 점차 줄어드는 경향을 보인다. 이러한 결과는 물성 변화(특히 Vs)의 작은 변동이 σ 증가 시 ε의 기울기와 분산을 크게 변화시키는 민감 구간의 존재를 시사한다. Fig. 6은 불확실성 수준과 무관하게 Vp > Vs >> φ라는 전역적 중요도 순서를 대체로 유지한다. 이는 Vp와 Vs 속도가 균열밀도 모델의 주된 입력변수임을 재확인하는 근거이다. 또한 불확실성이 증가함에 따라 Vs의 중요도가 상대적으로 더 빠르게 증가하는데, 이는 Fig. 4의 탄력도 분석에서 나타난 Vs의 국소적 비선형성 증가와 일관된 현상이다. 즉, Vp는 전체 모델에서 안정적으로 높은 영향도를 유지하는 반면, Vs는 σ 증가 시 민감도가 폭발적으로 증가하는 국소적 특성을 가지는 변수로 해석할 수 있다. 따라서 Fig. 6은 물리 기반 탄력도 분석과 AI 기반 중요도 분석이 서로 다른 방식으로 정보를 제공하면서도 동일한 결론에 수렴하고 있음을 보여주는 중요한 결과라 할 수 있다.
5. 토 론
본 연구는 Byun et al.(2015)의 풍화 실험 데이터를 기반으로 입력 물성치(Vp, Vs, φ)에 불확실성(σ = 1%, 2%, 5%)을 부여하여 Monte Carlo 데이터셋을 구성하고, 물리식 기반 탄력도와 AI 기반 변수 중요도를 통해 균열밀도 ε 산정에 대한 지배인자를 다각도로 분석하였다. 본 절에서는 앞선 결과들을 종합적으로 해석하고, 물리식과 AI 분석이 제공하는 민감도 차이의 원인과 모델의 비선형 특성을 중심으로 논의한다. Monte Carlo 증폭 결과는 입력 물성에 부여된 상대 표준편차(σ)가 변수 분포의 확장을 선형적으로 반영함을 보여주었다. 특히 Vp와 Vs의 표준편차는 σ 증가에 따라 거의 비례적으로 증가하였으며, 이는 증폭 모델이 의도대로 작동함을 확인시켜 준다. 반면 균열밀도 ε은 σ 증가에 따라 평균이 소폭 증가하고 분산이 더 빠르게 증가하는 특징을 보였다. 이는 균열밀도 산정식이 Vp, Vs, φ의 변동에 대해 단순 선형이 아닌 고차 비선형 구조를 가지기 때문이다. 즉, 입력 불확실성의 증가가 ε의 분포에 미치는 영향은 선형적 확대가 아니라 비선형적 확대라는 점이 확인된다.
Fig. 4에서는 Vs가 가장 큰 변동성과 민감도 분산을 보이고, Fig. 5는 Vp가 가장 지배적인 변수로 나타나는 차이는 국부적인 특징으로 설명될 수 있다. Fig. 4는 개별 샘플 단위의 탄력도인 시점 민감도를 보여주는 반면, Fig. 5는 전체 샘플에 대한 평균 절대 민감도를 제시한다. Vs는 특정 입력 조합에서 분모 항을 급격히 변화시키는 비선형 민감 구간이 존재하여 분포가 매우 넓어지지만, 모든 샘플에서 꾸준히 높은 기여도를 갖는 것은 아니다. 즉, Vs는 local spikes를 가지는 변수이다. 즉, Vp는 전체 구간에서 일정하게 높은 영향력 유지하며, Eq. (1)에 직접적으로 작용하며 전체 입력 공간에서 안정적으로 ε을 변화시키기 때문에, 분포 폭은 Vs보다 작더라도 평균 기여도는 더 크다. 즉, Vp는 global consistency를 가지는 변수이다. 또한 Vs는 σ 증가 시 민감도 폭발 구간이 늘어나지만, Vp는 σ 증가 시 비선형 증폭성이 더 제한적으로 나타난다. 따라서 분포 기반 분석에서는 Vs가 더 민감해 보이지만, 전역 평균 기반 분석에서는 Vp가 더 중요한 변수로 평가된다. 결론적으로, Vs는 특정 조건에서 극단적으로 민감한 변수(locally dominant) 이고, Vp는 전체적으로 안정적이고 지속적으로 ε을 지배하는 변수(globally dominant) 이다.
Eq. (1)은 균열 기하학과 탄성파 속도 비(Vp/Vs)를 기반으로 균열밀도를 추정하는 데 유용하지만, 포아송비 ν의 영향이 반영되지 않는 단순화 모델이라는 한계가 존재한다. 본 연구에서는 ν의 불확실성도 증폭하여 탐색 범위를 확장하였으나, ε 산정식이 ν를 직접 포함하지 않기 때문에 ν의 탄력도는 항상 0으로 나타났다. AI 기반 분석에서도 ν의 중요도는 매우 낮은 수준에 머물러 결과 도식 및 분석에는 생략하였다. 이는 Eq. (11)이 구조적으로 ν의 역할을 제한하고 있음을 의미한다. 향후 연구에서는 ν가 포함된 완전한 Biot-consistent 균열 모델 또는 실험 기반 ν–ε 관계를 고려한 확장 모델을 적용하여 포아송비의 기여도를 평가할 필요가 있다.
6. 결 론
본 연구에서는 풍화 실험에서 얻어진 암반 물성치를 기반으로, 입력 물성치(Vp, Vs, φ)의 불확실성이 균열밀도 산정식에 미치는 영향을 정량적으로 평가하였다. 이를 위해 입력값에 1%, 2%, 5% 수준의 상대 불확실성을 적용하여 Monte Carlo 기반 증폭 데이터를 구축하고, 물리 기반 탄력도 분석과 AI 기반 변수 중요도 평가를 병행하였다. 이러한 이중 분석체계는 균열밀도 예측 모델의 구조적 민감도와 데이터 기반 현실 민감도를 동시에 파악하여 다음과 같이 세부적인 결론을 정리하였다.
(1) 물리식 기반 탄력도 분석 결과, 균열밀도인 ε은 Vp와 Vs에 대해 높고 비선형적인 민감도를 보이며, φ에는 제한적인 영향을 받는 것으로 나타났다. 특히 Vs는 특정 입력 조합에서 분모 항의 특성에 의해 국소적으로 매우 큰 민감도 값을 나타내어, 비선형 민감 구간의 존재가 확인되었다. 반면 Vp는 전체 입력 공간에서 안정적이고 일관된 영향도를 보이며, 전역적 민감도 측면에서는 가장 중요한 변수로 평가되었다.
(2) AI 기반 분석 역시 물리 기반 결과와 높은 일관성을 보였다. LASSO, GBR, PLSR 세 방법 모두 Vp와 Vs가 균열밀도 예측의 주요 변수로 식별하였으며, φ의 기여도는 상대적으로 낮게 나타났다. 입력 불확실성이 증가할수록 Vs의 상대적 영향도가 상승하는 경향을 보였는데, 이는 물리 기반 분석에서 관찰된 Vs의 비선형 민감도 확장과 정확히 대응한다. 이러한 결과는 물성 변동성의 증가가 균열밀도 예측에서 Vs가 수행하는 역할을 더욱 강화하는 방향으로 작용함을 시사한다.
(3) 향후 연구에서는 포아송비(ν)를 포함한 보다 정교한 균열 모델을 적용하여 ν의 기여도를 재평가하고, 실측 기반의 노이즈 특성을 반영한 확장형 Monte Carlo 모델을 구축할 필요가 있다. 또한 본 연구에서 제시한 AI 기반 변수 중요도 분석 기법은 다른 형태의 균열 지수(crack index)나 취성(Brittleness) 지표 등 다양한 지반·암반 특성 예측 연구에도 적용 가능하므로, 그 활용 범위가 넓을 것으로 기대된다.








