1. 서 론
2. 미세플라스틱 특징 및 시료 선정
2.1 미세플라스틱 특징
2.2 시료 선정
3. 시험 결과 분석
3.1 시험 개요
3.2 다짐시험
3.3 직접전단시험
4. 미세플라스틱의 영향 검토
5. 결 론
1. 서 론
최근 미세플라스틱에 의한 환경오염 문제가 전 세계적으로 심각한 문제로 대두되고 있다. 미세플라스틱은 크기 5mm 이하의 작은 플라스틱 입자로, 폐기물, 의류 섬유, 산업 활동 등 다양한 경로를 통해 생성되며 흙, 물, 공기 등 거의 모든 환경에 분포한다(Korean MOE, 2023). 이로 인한 인체 위해성, 생태계 내 축적, 생물다양성 저하 및 해양오염에 관한 연구는 활발히 진행되고 있으며(Kim et al., 2019a; Kim et al., 2019b; Kim et al., 2022; Kim et al., 2025), 이를 저감하기 위한 정책과 규제도 강화되고 있다. 반면, 미세플라스틱이 지반공학적 특성에 미치는 영향에 관한 실증적 연구는 매우 부족한 실정이다. 특히 토사 내에 혼입된 미세플라스틱이 전단저항성, 다짐성, 압축성 등 기초적인 지반거동에 어떠한 영향을 미치는지는 아직 충분히 규명되지 않았다. 최근 건설폐기물 재활용이 활성화되면서 순환골재의 활용이 증가하고 있으며, 이에 따른 공학적 특성에 대한 연구도 이루어지고 있다(Yun, 2025). 또한, 폐기물 매립지에서 다양한 형태의 미세플라스틱이 검출되었으며(Kim et al., 2025) 이들이 지반환경에 유입될 가능성이 제기되고 있다. 이러한 점에서, 순환자원으로 활용되는 건설폐기물 내의 미세플라스틱이 일부 잔존할 경우, 지반재료로 혼입될 가능성이 충분히 존재한다. 실제로 기존 연구들에서는 모래나 실트질 모래에 섬유, 고무칩, 플라스틱 스트립 등 다양한 재료를 보강재로 혼입하여 전단강도 향상 효과를 분석한 사례가 다수 보고되었다(Consoli et al., 2002; Tang et al., 2007; Yu and Kim, 2018; Kim, 2021; Khan et al., 2021). 그러나 이러한 보강재는 대부분 수 mm 이상의 비교적 큰 크기를 가지며, 자연환경 또는 재활용 과정에서 비의도적으로 혼입될 수 있는 미세플라스틱과는 물리적 특성과 거동 메커니즘에서 차이를 보인다. 이에 따라 미세하고 비균질한 미세플라스틱이 지반의 전단거동에 미치는 영향을 규명하는 것이 필요하다. 지반의 전단강도는 구조물의 지지력 확보와 사면 및 기초의 안정성 평가에 있어 핵심적인 인자이며, 혼입물의 물리적 특성에 따라 마찰각 및 점착력 등 강도정수에 영향을 줄 수 있다. 따라서 본 연구에서는 전단거동에 미치는 영향을 정략적으로 분석하기 위해, 주문진 표준사에 미세플라스틱을 0~8%의 혼입률로 첨가한 시료를 대상으로 KS F기준에 따른 실내 다짐시험(KS F 2312) 및 직접전단시험(KS F 2343)을 수행하였다.
2. 미세플라스틱 특징 및 시료 선정
2.1 미세플라스틱 특징
미세플라스틱은 일반적으로 크기 5mm 이하의 고체형 플라스틱 입자를 의미하며, 연구자 및 규제기관에 따라 정의의 범위와 분류 기준은 다소 상이하다. 일반적으로 1차 미세플라스틱(의도적으로 제조된 작은 플라스틱), 2차 미세플라스틱(플라스틱이 물리적인 충격·마모 등에 의해 파편화된 것)으로 나눌 수 있다(Korea MOE, 2023). 이러한 미세플라스틱은 물리적, 화학적 특성상 환경 내에서 장기간 분해되지 않고 잔류하며, 공기, 물, 흙 등 다양한 환경에 존재한다. 특히, 토양 내로 유입될 경우, 입자 간 간극, 투수성, 간접적인 생물학적 영향뿐만 아니라 지반의 기초적인 역학적 특성에까지 영향을 미칠 수 있다.
2.2 시료 선정
본 연구에서 주문진 표준사를 모래 시료로 선정하였다. 표준사는 현장 조건을 간접적으로 모사할 수 있고, 입도 분포가 균일하여 반복 실험에 적합하다. 미세플라스틱은 사용 빈도가 높은 폴리프로필렌(PP)을 선정하였다. 일반적으로 토양 및 해양 환경에서 흔히 발견되는 미세플라스틱 종류에는 폴리에틸렌(PE), 폴리스티렌(PS), 폴리프로필렌(PP) 등이 있으며, 특히 PE와 PP가 주요하게 검출되는 것으로 보고되었다(En-Nejmy et al., 2024). PP는 포장재, 일회용 용기, 합성섬유 등 다양한 일상 제품에 널리 사용된다. 이에 따라 본 연구에서는 얇은 PP 재질의 플라스틱을 분쇄하여 5mm 이하의 크기로 제조하였다(Fig. 1). 시험 시료는 미세플라스틱 혼입 비율에 따라 총 5개의 Case로 구분하였다. 각각의 혼입률은 중량 기준으로 0%, 2%, 4%, 6%, 8%로 설정하였다. 각 시료는 공시체 제작 전 균일하게 혼입되었으며, 이후 다짐시험 및 직접전단시험을 통해 미세플라스틱 혼입률에 따른 공학적 특성 변화를 분석하였다.
3. 시험 결과 분석
3.1 시험 개요
본 연구에서는 미세플라스틱 혼입률에 따른 지반의 다짐 및 전단강도 특성 변화를 분석하기 위해 실내 다짐시험과 직접전단시험을 수행하였다. 모래는 주문진 표준사를 사용하였으며, 미세플라스틱은 각각 0%, 2%, 4%, 6%, 8%의 혼입률로 구분하여 총 5개 조건(Table 1)으로 시료를 제작하였다. 다짐시험은 KS F 2312(Test Method for soil compaction in laboratory) 중 A다짐 방법을 적용하였다. 각 조건별 최대건조단위중량과 최적함수비를 산정하였다. 이후 전단시험에서는 각 조건에서 도출된 최적함수비를 이용한 공시체를 제작하였다. 직접전단시험은 KS F 2343(Industrial Standards Council, 2022)에 따라 수행되었으며, 각 시료는 최대건조단위중량에 해당하는 함수비로 다져졌으며, 시험은 수직응력 20, 40, 60kPa의 조건에서 진행되었다.
Table 1.
Microplastic contents of soil used in the experiment
| Test Condition | Microplastic content (%) |
| Case 1 | 0 |
| Case 2 | 2 |
| Case 3 | 4 |
| Case 4 | 6 |
| Case 5 | 8 |
3.2 다짐시험
다짐시험 결과는 Fig. 2, Fig. 3과 Table 2에 제시하였다. Fig. 2의 전체 다짐곡선에서 미세플라스틱 혼입률 증가에 따라 최대건조단위중량이 감소하고 최적함수비가 변동하는 경향이 확인되었다. 최대건조단위중량은 혼입률 0%(Case 1)에서 15.6kN/m3로 가장 높았으며, 8%(Case 5)에서 13.8kN/m3로 약 11.5% 감소하였다. 최적함수비는 혼입률 0%(Case 1)에서 14.27%로 시작하여 4%(Case 3)에서 11.58%로 감소하였으며, 이후 8%(Case 5)에서 소폭 증가하였다. 특히 6%(Case 4)에서 나타난 특이한 값은 미세플라스틱이 일정 수준을 초과하면서 혼합 균질성 저하 등 복합적인 요인이 작용해 발생한 특이점으로 판단된다. 이는 단순한 실험적 변동이 아니라 다짐 효율 저하가 본격적으로 나타나기 시작하는 지점으로 볼 수 있다. 이러한 경향은 미세플라스틱이 수분 보유 및 전달 특성에 영향을 미쳐 함수비 변화를 유도한 결과로 해석된다. 결과적으로, 미세플라스틱은 단순한 이질재가 아니라 다짐특성에 직접적인 영향을 미치는 변수로 작용하며, 적정 혼입률 이하에서는 상대적으로 유리한 구조 형성이 가능하지만, 과도한 혼입은 다짐 효율 감소로 이어지는 한계를 나타냈다.
Table 2.
Results of soil compaction test
| Test Condition | Maximum Dry Unit Weight (kN/m3) | Optimum Moisture Content (%) |
| Case 1 | 15.6 | 14.27 |
| Case 2 | 15.2 | 12.75 |
| Case 3 | 14.8 | 11.58 |
| Case 4 | 14.9 | 12.19 |
| Case 5 | 13.8 | 12.91 |
3.3 직접전단시험
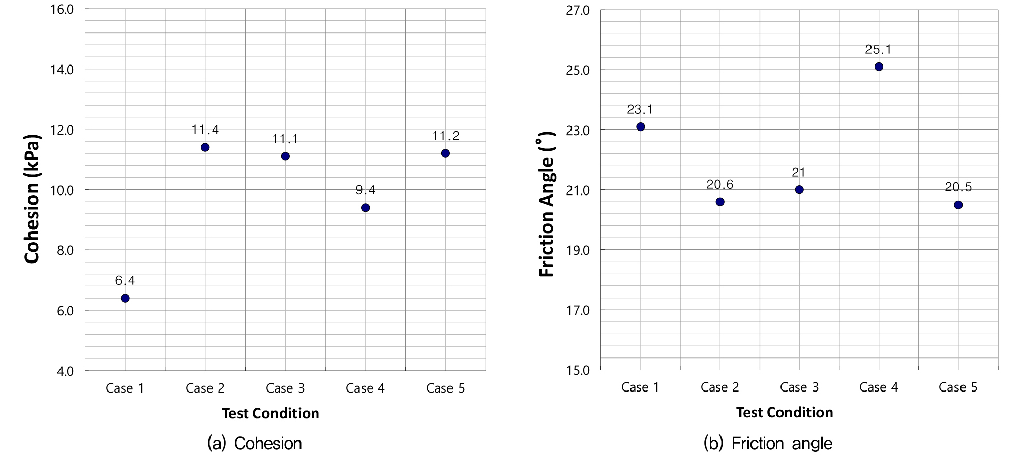
본 연구에서 미세플라스틱의 혼입률 변화가 지반의 전단강도 특성에 미치는 영향을 분석하기 위해 직접전단시험을 수행하였다. 본 시험은 KS F 2343(Industrial Standards Council, 2022)을 기준으로 진행되었으며, 각 Case 별 시료에 대해 20, 40, 60kPa의 수직응력을 가한 후 일정한 속도로 실험을 진행하였다. 최대 전단응력이 발생한 시점을 파괴로 간주하였으며, 이를 기준으로 내부마찰각, 점착력을 산정하였다. 전단강도는 식 (1)을 통해 구해지며, 이는 점착력과 내부마찰각을 이용해서 산정된다. 실험결과는 Fig. 4~10 및 Table 3에 나타내었다. 시험결과 내부마찰각은 2%(Case 2), 4%(Case 3), 6%(Case 4)에서 각각 20.6°, 21.0°, 25.1°로 증가하였다가 8%(Case 5)에서 20.5°로 감소하는 경향을 보였다. 이는 미세플라스틱의 혼입률이 일정 비율까지는 전단저항성 향상에 기여할 수 있으나, 과도한 혼입은 오히려 전단강도를 저하시킬 수 있음을 시사한다. 점착력은 0%(Case 1)에서 6.4kPa로 가장 낮았으며, 2%(Case 2)에서 11.4kPa, 4%(Case 3)에서 11.1kPa, 6%(Case 4)에서 9.4kPa, 8%(Case 5)에서 11.2kPa로 나타났다. 전반적으로 미세한 차이를 보였으나, 뚜렷한 증가 또는 감소 경향은 관찰되지 않았다. 이는 미세플라스틱이 입자의 물리적 특성이 점착력 형성에는 큰 영향을 미치지 않은 것으로 판단된다. 또한, Fig. 9에서 확인된 바와 같이 6%(Case 4)에서는 점착력이 감소하는 반면 내부마찰각이 증가하는 상반된 경향이 확인되었다. 이러한 불규칙성은 실험적 요인과 혼합 균질성 저하 등 복합적인 영향으로 발생할 수 있다. 특히 응력수준별 경향을 살펴보면(Fig. 10), 20kPa와 60kPa에서는 혼입률 증가에 따른 전단강도가 증가하다가 일정 함량을 초과하면 감소하는 경향이 확인되었다. 반면 40kPa에서는 Case 4에서 일시적인 감소 후 Case 5에서 다시 증가하는 불규칙한 변동이 관찰되었다. 이는 중간 응력수준에서 전단면이 안정적으로 발달하지 못해 실험값 변동이 커지고, 플라스틱 혼합 특성이 더해져 나타난 결과로 해석된다. 그러나 이러한 변동에도 불구하고, 전체적으로 혼입률 증가에 따라 전단강도는 일정 수준까지 증가한 뒤 과도한 혼입에서는 감소하는 일관된 경향을 보였다. 본 연구에서는 전단강도의 전반적인 경향에 중점을 두어 분석을 수행하였다. 향후 점착력과 내부마찰각의 변화 메커니즘에 관한 연구가 필요할 것으로 판단된다.
4. 미세플라스틱의 영향 검토
본 연구에서 수행한 직접전단시험 결과, 미세플라스틱 혼입률에 따라 지반의 전단강도는 일정 수준까지 증가한 후 감소하는 경향을 나타냈다. 초기에는 입자 간 마찰 저항이 감소하면서 내부마찰각이 낮아졌으나, 혼입률이 증가하면서 6%(Case 4)일 때 내부마찰각이 25.1°로 가장 크게 증가하며 전단강도 또한 38.4kPa로 최대값을 나타냈다. 이후 혼입률 8%(Case 5)에서는 32.9kPa로 감소하였다. 이는 일정 비율까지의 미세플라스틱이 전단저항을 향상시킨 반면, 과도한 혼입은 강도 저하를 유발한다. 이러한 경향은 기존 보강재 활용 연구와 유사하며, 미세플라스틱 또한 유사한 물리적 효과를 가질 수 있음을 시사한다. 특히 6%(Case 4)에서는 내부마찰각이 가장 크게 증가했으나 점착력은 오히려 감소하는 상반된 결과가 나타났다. 이는 단순히 혼합 불균질이나 다짐 효율 저하 때문만이 아니라, 입자 간 힘 전달 방식의 변화로 설명할 수 있다. 즉, 저함량에서는 모래–모래 접촉이 지배적이나, 약 6%에서는 모래–플라스틱–모래 접촉이 본격적으로 형성되며 플라스틱이 국부적인 걸림·교락 효과를 유발한다. 반면, 8%에서는 플라스틱–플라스틱 접촉 비율이 높아져 매끄러운 접촉면이 윤활 작용을 하게 되어 전단강도가 다시 감소하는 경향을 보인다. 따라서 Case 4는 임계 혼입률에서 거동이 전환되는 지점으로 이해하는 것이 타당하다. 다짐시험 결과에서는 미세플라스틱 혼입률 증가에 따라 최대건조단위중량은 0%(Case 1)에서 15.6 kN/m3, 8%(Case 5)에서 13.8 kN/m3까지 약 11.5% 감소하였으며, 최적함수비는 혼입률 증가에 따라 대체로 감소하다가, 6%(Case 4)와 8%(Case 5)에서 다시 증가하는 경향을 나타냈다(Table 2). 이는 미세플라스틱이 수분 분포의 비균질을 초래하여 균질한 다짐을 저해한 것으로 판단된다. 전단강도와 다짐 특성을 비교해 보면, 최대건조단위중량은 혼입률 증가에 따라 지속적으로 감소하였으나, 전단강도는 일정 수준까지는 오히려 증가하는 상반된 경향을 보였다. 이는 미세플라스틱의 혼입으로 인한 최대건조단위중량 감소에 따른 강도 저하가 내부마찰각의 증가에 의해 부분적으로 상쇄된 결과로 판단된다. 그러나 일정 함량을 초과할 경우 강도는 다시 저하되어 지반 강도에 중요한 영향을 미칠 것으로 판단된다. 다만 본 연구의 결과는 혼입 균질도, 최적함수비, 시료 제작 방법 등 다양한 인자에 좌우되므로 결과의 일반화는 한계가 있다.
5. 결 론
본 연구는 미세플라스틱 혼입률에 따른 지반의 전단강도 특성 변화를 분석하기 위해 실내 다짐시험 및 직접전단시험을 수행하였다. 주요 결과는 다음과 같다.
(1) 미세플라스틱 혼입률이 증가할수록 최대건조단위중량은 지속적으로 감소하는 경향을 보였으며, 혼입률 8%(Case 5)에서는 11.5% 감소하였다. 최적 함수비는 비선형적인 변화를 나타냈으며, 이는 미세플라스틱이 흙과 완전히 균질하게 혼입되지 못하고 다짐효율을 저하시킨 결과로 판단된다. 이러한 변화는 미세플라스틱이 흙의 다짐성과 함수특성 모두에 부정적인 영향을 미치는 것으로 판단된다.
(2) 직접전단시험 결과, 미세플라스틱 혼입률이 증가함에 따라 전단강도는 혼입률 0%(Case 1)에서 33.1kPa, 6%(Case 4)에서 38.4kPa까지 점차 증가하는 경향을 보였으며, 8%(Case 5)에서 32.9kPa로 오히려 감소하였다. 이는 미세플라스틱이 일정 함유비까지는 입자 간 마찰력 증가 및 보강 효과에 기여할 수 있으나, 과도한 혼입은 간극 확대와 결속력 저하로 인해 전단강도를 저하시킬 수 있음을 나타낸다. 또한, 미세플라스틱의 혼입률은 점착력에는 뚜렷한 변화를 주지 않았으나, 내부마찰각의 변화에 주된 영향을 미친 것으로 판단된다.
결론적으로, 미세플라스틱이 혼입된 지반의 경우 혼입률이 6% 수준까지는 미세플라스틱에 의해 전단강도가 증가하지만, 8% 이상에서는 강도가 저하되는 경향을 보였다. 이에 따라 미세플라스틱이 혼입된 지반에 구조물을 건설할 경우, 혼입률에 따른 안정성 저하 가능성을 충분히 고려해야 할 것으로 판단된다.












