1. 서 론
2. 연구지역의 지형과 지질
3. 실험 방법
4. 결과 및 고찰
4.1 충적층 토양의 심도별 광물구성
4.2 충적층 토양의 심도별 화학조성
4.3 충적층 퇴적물의 조직 특성
5. 요약 및 결론
1. 서 론
풍화작용은 암석을 원래의 단단한 상태에서 토양으로 점진적으로 변화시키므로 지반의 물리적, 화학적, 역학적 변화를 유도하여 지반의 공학적인 안정성과 효용성을 크게 변화시킨다. 주요한 풍화작용의 유형은 기계적 풍화작용, 화학적 풍화작용, 생물적 풍화작용으로 구분되는데, 이들은 서로 복합적으로 연결되어 있다. 기계적 풍화작용은 건조한 사막이나 산악 혹은 극지방에서 그리고 생물적 풍화작용은 지표 가까이에 국한되어 나타난다. 우리나라와 같은 지역 환경에서는 주로 화학적 풍화작용이 우세하며, 화학적 풍화작용에는 다양한 영향 요인이 있지만 일반적으로 물의 역할이 지배적이다. 화학적 풍화작용에는 물의 존재뿐만 아니라 풍화에 필요한 화학성을 유지하기 위해서는 물의 적절한 공급도 주요한 영향 요인이다. 지표에서 아래로 감에 따라 지하 매질은 지하수면을 기준으로 주로 공기로 채워져 있는 상부의 불포화대(unsaturated zone)와 주로 지하수로 가득 차 있는 하부의 포화대(saturated zone)로 구분된다. 풍화과정에서 물의 적절한 공급 여부는 포화대와 불포화대 환경에 따라 달라진다. 불포화대는 물이 부분적으로만 존재하는 지역이므로, 물의 양이 적고 주로 모세관작용에 의해 물이 이동한다. 불포화대에서는 물의 양이 적어 주로 물리적 풍화가 우세하고 산화-환원 반응으로 산화광물이 주로 생성될 수 있다. 포화대는 물이 공극을 채우고 있어 규산염 광물이 물에 의해 용해 혹은 침전되어 수용성 광물이나 점토광물이 주로 생성될 수 있다. 두 지역의 물리적, 화학적 환경 차이는 토양 구성 광물의 풍화 특성에 큰 영향을 미친다. 토양층의 풍화작용은 구성 광물의 변질, 원소의 용출 및 이온교환 등의 복합적 작용으로 인하여 토양층 내의 광물-지구화학적 특성이 매우 복잡하여 그 정확한 해석이 어렵다(Jeon and Lee, 2002). 또한 동일한 물질로 구성되어 있는 토양 대수층 내의 포화대와 불포화대에서의 서로 다른 광물-지구화학적 특성은 서로 다른 역학적 반응에 따른 지반공학적 문제를 일으킬 수 있다(Tsiampousi et al., 2013).
포화대와 불포화대 영역의 주요 차이는 물의 존재 방식에 있으며, 이는 2차 광물의 생성방식과 종류에 중요한 영향을 미친다. 포화대에서 지하수와의 반응에 의한 풍화작용은 불포화대의 강수나 지표수의 침투에 의한 풍화작용과는 다른 양상을 보일 것으로 예상되지만 이에 대한 연구 결과가 보고된 적은 없다. 강수나 지표수가 불포화대를 거쳐 지하로 침투한 물이 포화대까지 도달하는 과정에서 지하수 함양에 관한 연구는 있다. 지하수 함양 관리 기법은 수자원 확보의 보조적인 수단으로서 매우 유용한 방법이 되고 있어 우리나라 수자원 공급시스템의 새로운 패러다임이 되고 있는 실정이다(Seo et al., 2010; Kim and Kim, 2010). 우리나라의 지하수 함양 관리 기법에는 필수적으로 대수층의 투수성과 수질 변화에 대한 평가가 요구된다. 특히, 지표수의 침투면 상에서 광물질의 침전이나 생성, 그리고 대수층 내에서의 화학적 반응은 대수층의 공극 감소로 투수성과 수질을 저하시키고 시간이 지날수록 대수층 내 지하수 저장을 어렵게 만든다. 이러한 이유로, 충적층에서 물-토양 반응관계에 따른 광물질의 용해와 침전에 대한 광물-지구화학적 연구의 필요성이 증대되고 있다. 이에 하천지역 충적 대수층을 중심으로 산화-환원에 영향을 받을 수 있는 원소들에 대한 지구화학적 연구가 수행되었고(Brown et al., 2000; Massmann et al., 2004; Tesoriero et al., 2004), 우리나라에서도 하천지역 토양 충적층의 산화-환원 반응 영향에 관한 지구화학적 연구가 이루어졌다(Kim et al., 2003; Chae et al., 2004). 그러나 이들 연구에서는 지하수 수질 자료를 기초로 지하수 자체에 대한 지구화학적 모델을 근거로 침전과 용해가 예상되는 가상적인 광물상에 관한 연구가 주로 이루어졌고, 실제 토양 충적층에서 물-암석 반응에 의해 용해되거나 침전된 광물의 종류, 조직 그리고 화학조성 등과 같은 토양 특성에 대한 실제적인 현장 연구는 없는 실정이다. 이 연구에서는 화강암을 기원암으로 하는 하천지역에 형성된 토양 충적층에서 표층에서부터 깊이에 따른 지하수 수위, 주원소 함량, 광물구성과 조직 특성을 조사하여 포화대와 불포화대에서 토양 특성을 고찰하였다. 이 연구 결과는 포화대와 불포화대의 토양 특성에 따른 대수층의 특성과 능력을 평가하는데 기초자료를 제공할 것이다.
2. 연구지역의 지형과 지질
연구지역은 충청남도 홍성군 갈산면 운곡리 일대 지역으로서 홍성 지질도폭(Lee and Kim, 1963)의 북서부 지역에 해당한다. 연구지역을 구성하는 지질은 선캄브리아의 화강암질 변성암류와 시대미상의 변성퇴적암류와 고생대 페름기의 퇴적암류로 구성된다(Fig. 1). 변성암인 화강편마암과 편상화강암은 화강암류에서 변성된 암석들로서 서로 단층으로 접하고 있으나 선후관계는 불명하다. 화강편마암은 주로 흑운모 편마암과 안구상 편마암으로 구성되며, 조립질 조직으로 엽리나 편리의 발달이 적다. 편상화강암은 변형작용으로 구성광물들이 방향성을 가지고 배열하는 엽리구조가 발달하며 세립질 조직을 보인다. 화강암질 변성암의 주요 구성광물은 장석, 석영, 흑운모 및 백운모이다. 연구지역 외곽 북서측에는 월현리층에 해당하는 선캄브리아 시대의 변성퇴적암류와 무량리층에 해당하는 고생대 페름기의 퇴적암류가 분포한다. 월현리층과 무량리층은 부정합 관계로 서로 접한다. 연구지역 운곡리의 하천은 화강암질 변성암 지역의 산계에서 발원하여 서남측으로 흘러가며, 구릉성 지형으로 인해 제4기의 충적층 발달이 현저하다. 화강암과 유사한 화강편마암과 엽리구조가 발달하는 편상화강암으로 구성된 화강암질 변성암은 연구지역 충적층 퇴적물의 주요 공급원이다. 충적층 퇴적물을 구성하는 자갈은 원마도가 매우 낮은 상태로 산출되며, 주변 모암인 화강암질 변성암과 페름기의 무량리층으로 추정되는 세일도 자갈로 발견된다(Hwang et al., 2024). 연구지역 충적층 토양은 원암인 화강암질 조직이 입자에 남아있는 화강풍화토(Weathered granite soil)의 특성을 갖고 있고, 계곡 또는 하도에 퇴적된 역, 모래, 점토 등으로 구성되어 있어 공극율과 투수성이 양호한 특성이 있다(Kim et al., 2013; Choi et al., 2015).
3. 실험 방법
시료 채취; 충적층 토양의 심도별 특성을 조사하기 위하여 S1~S6의 6개 지점에서 시추 시료를 채취하였다(Fig. 1). 시추 시료는 지표에서 심도 5m까지 1m 간격으로 채취하였다. 연구지역에 설치된 관측공을 이용하여 2022년 3월~2022년 6월 기간 동안에 관측된 지하수면은 지표에서 2.8~3.8m 구간 범위에 분포한다(Ministry of Environment, 2022). 연구지역에서 관측되는 지하수의 수위 자료로 보아 충적층 토양의 상부인 심도 0~2m 구간은 불포화대 그리고 하부인 4~5m 구간은 포화대 구간에 해당된다(Fig. 2). 연구지역의 토양 조직과 광물 특성 분석을 위해서 시료 채취 방법은 불교란 토양 코어 시료(undisturbed soil core sample) 채취 기법을 적용하였다. 시료 채취 과정에서 오염을 최소화 하기 위해 황동 재질의 채취용 관을 이용하였다. 화학 및 광물 분석용 시료는 채취된 시료로부터 제작된 분말에서 4분법으로 선별하여 대표성을 높였다. 토양의 광물 구성과 조직 특성 파악을 위해 불교란 토양 코어 시료로부터 연구용 시편으로 연마박편을 제작하였다.
구성광물 및 화학조성; 충적층 토양의 구성광물과 2차광물 감정, 그리고 풍화도에 따른 구성광물의 함량변화를 조사하기 위해 XRD 분석 실험을 수행하였다. XRD 분석용 시료는 채취된 토양 퇴적물을 50℃에서 건조한 후 아게이트 유발에서 10μm 이하 입도로 분쇄하여 무방향성의 분말 시료를 만들었다. X-선 회절분석은 기초과학지원연구원(Korea Basic Science Institute, KBSI)에서 Rigaku사 Dmax 2400의 다목적 X-선 회절분석기를 이용하여 실시하였다. 또한 토양의 화학조성 및 풍화에 따른 원소의 거동을 조사하고자 분말시료로 유리비드를 제작하여 전암분석을 실시하였다. 전암분석은 카나다의 Activation Laboratories에서 유도결합플라즈마질량분광분석(ICP-MS)으로 실시하였다.
조직 분석; 토양의 조직 관찰을 위해서 불교란 토양 코어 시료에서 제작된 연마박편에 대하여 편광현미경과 전자현미경 연구를 수행하였다. 토양 시료의 조직과 광물에 대한 편광현미경 관찰은 40배와 100배 배율에서 각각 수행되었다. 전자현미경의 관찰과 분석은 기초과학지원연구원에서 FE-SEM(전계방사주사현미경, Hitachi S-4800)을 이용하여 수행하였다. FE-SEM에는 EDS(에너지분산형분광분석)와 BSE(후방산란전자영상분석)의 detector(X-max 50mm2, Oxford)가 장착되어 있어, 시료의 표면형태 및 미세구조 관찰, 화학조성의 정성 및 정량 분석, 구성원소의 분포 연구가 가능하다. 분석 조건은 가속전압은 15kV, 빔 출력은 10nA, 빔의 크기는 5~200nm이다. 전자현미경에 의한 광물 분석은 제작된 연마박편 표면을 탄소 또는 백금으로 코팅하여 수행되었다.
4. 결과 및 고찰
4.1 충적층 토양의 심도별 광물구성
충적층 토양의 주요 구성 광물과 그 구성 비율을 파악하기 위해 XRD 분석을 수행하였다. 채취된 토양의 XRD 분석 결과 주요 구성 광물은 석영(quartz), 정장석(K-feldspar), 사장석(plagioclase), 흑운모(biotite), 일라이트(illite)이다. 상부 1m 심도에서 하부 5m 심도 구간에서 심도별 토양 광물의 상대적 구성 비율을 표시하면 Fig. 3과 같다. 상부에서 하부로 가면서 주요 구성 광물의 변화는 다음과 같다. 석영은 S2, 3, 5, 6에서 상부에서 하부로 가면 구성 비율이 대체로 감소하는 경향을 보이지만, S3에서는 증가하는 경향이 관찰된다. 정장석은 S4, 5, 6에서 상부에서 하부로 가면 구성 비율이 대체로 감소하는 경향을 보이며, S1, 2에서는 대체로 일정한 경향을 보인다. 사장석은 석영과 정장석에서와 같이 S3에서 상부에서 하부로 가면서 구성 비율이 대체로 감소하는 경향을 보이지만, S2, 5, 6에서는 대체로 증가하는 경향이 관찰된다. 흑운모와 일라이트는 심도에 따른 일정한 변화 경향이 없지만 S4, 5, 6의 상부에서는 일라이트가 그리고 하부에서는 흑운모가 많이 산출된다. 이상에서 석영과 정장석의 광물 구성 비율은 상부에서 하부로 가면서 감소하거나 일정한 경향을 보이는 반면, 사장석은 대체로 증가하는 경향을 보인다. 또한 일라이트는 상부에서 그리고 흑운모는 하부에서 많이 산출된다. 토양 퇴적물의 주요 공급원인 화강암질 모암으로부터 퇴적물 충적층이 형성되는 과정에서 물-암석 반응에 의한 충분한 풍화작용이 일어난다면 정장석, 사장석, 흑운모의 함량은 감소하고 풍화 생성물인 일라이트의 함량은 증가하는 일반적인 변화 경향이 예상되지만, 실제 심도별 토양 구성 광물의 분포는 이러한 일반적인 경향과 일치하지 않는다. 이는 각 지점에서 심도별로 퇴적된 충적층의 퇴적 과정이 균질하게 작용하지 않았을 가능성에 기인한다. 실예로, 다른 곳에 비해 상대적으로 급속하게 퇴적된 충적층에는 불충분한 물-암석 반응으로 상대적으로 적은 양의 풍화 생성물이 퇴적될 수 있다. 연구지역의 심도별 광물 구성 특성에서 X-선 회절 분석 결과는 석영, 흑운모, 정장석, 사장석의 4가지 주요 구성광물의 분포를 보여주지만, 화학적 물-암석 반응정도를 파악할 수 있는 잔류성 및 용해성 원소들의 구분과 분포에 대한 자료는 제시하지 못한다. 그러므로 X-선 회절 분석 결과는 구성 광물의 종류는 알 수 있으나, 이를 통한 화학적 물-암석 반응 정도 추정에는 추가적인 자료가 필요하다.
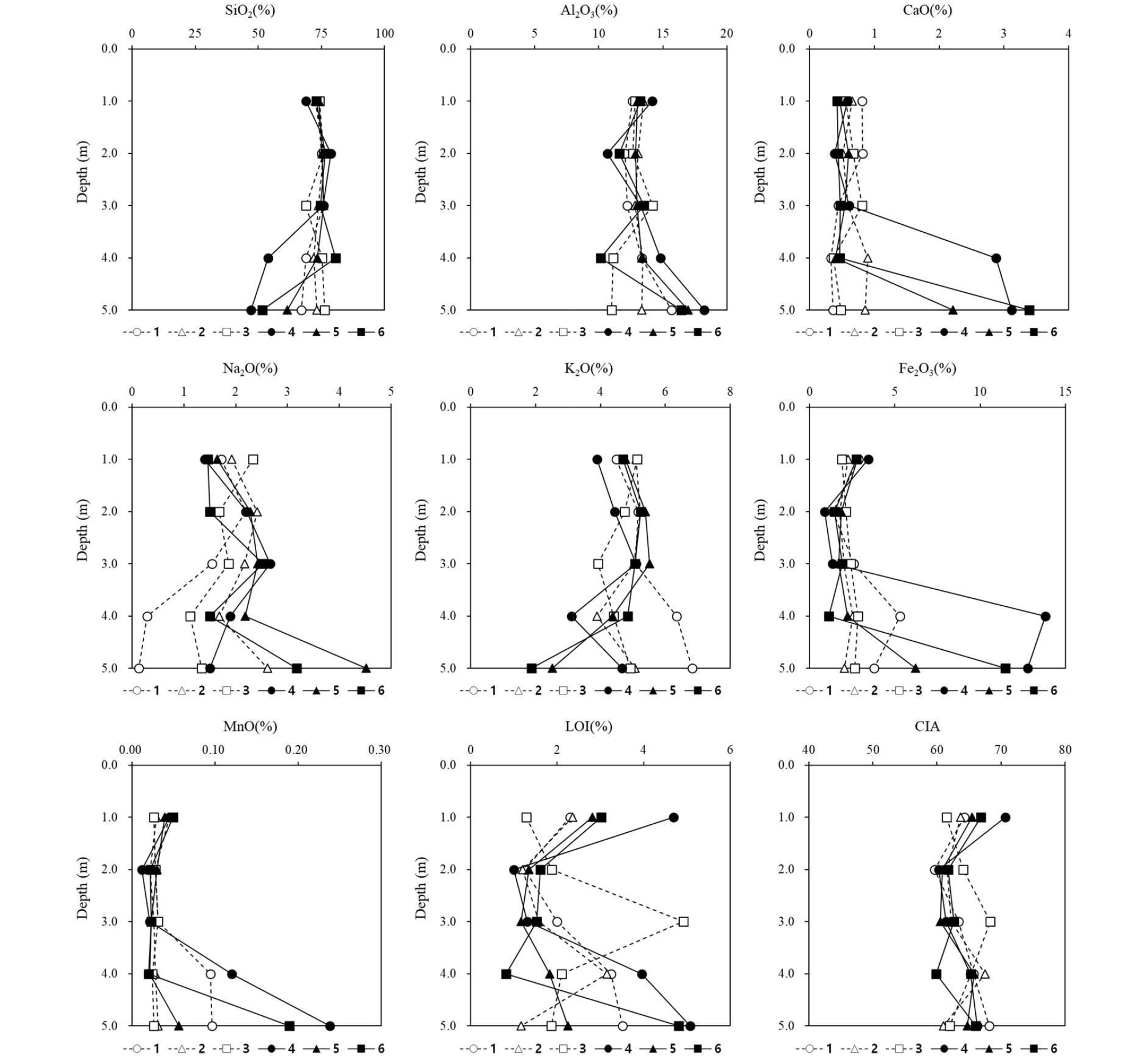
4.2 충적층 토양의 심도별 화학조성
지표에서부터 5m까지 1m 간격으로 6개 지점에서 채취된 충적층 퇴적물의 화학분석 결과는 Fig. 4와 같다. SiO2와 Al2O3 성분은 1~3m 구간에서는 대체로 일정하며 4~5m 구간에서 증가하는 경향을 보인다. CaO, Na2O, K2O 성분은 4~5m 구간에서 증가하는 경향을 보이지만 이는 4~5m 구간에서 급격히 증가하는 Fe2O3 성분을 포함하는 광물의 영향에 의한 것으로 보인다. 따라서 이들 성분은 전체 심도 구간에서 대체로 일정한 경향을 보이는 것으로 판단된다. 4~5m 구간에서 Fe2O3 성분의 급격한 증가는 이 구간에서 흑운모가 특히 우세하게 산출되는데 기인하다. 이러한 흑운모의 우세한 분포로 인하여 토양은 적갈색을 띤다. 흑운모에 흔히 산출되는 티탄철석(FeTiO3)과 이에 포함된 Mn-산화물의 영향으로 4~5m 구간에는 Fe2O3 이외에도 TiO2와 MnO 성분이 높은 특성을 보인다(Fig. 4). 토양 대수층 내 구성 광물의 불균질한 분포로 인하여 토양 채취 심도별 물-암석 반응의 차이에 따른 주원소 화학성분의 변화 경향은 명확하게 파악되지 않는다.
풍화에 대한 저항성이 높은 안정성 성분과 용해성이 큰 이동성 성분을 이용하여 물-암석 반응정도에 따른 풍화도를 상대적으로 정량화하는 방안이 제안되었다. 화학적 풍화지수(CIA, Chemical Index of Alteration)는 암석에 대한 풍화의 정도를 확인하는 가장 일반적으로 사용되어 오고 있다. 암석이 풍화작용을 받을수록 저항성이 강한 Al2O3는 이동성이 작아 원암에서 변화가 없거나 상대적으로 증가하고, 저항성이 약한 CaO나 Na2O 등의 알칼리 계열의 원소들은 이온화되어 쉽게 이동하여 원암에서 제거된다. MgO, CaO, Na2O, K2O, Fe2O3 등은 퐁화과정에서 이동성이 높아 원암에서 감소하는 성분으로, 그리고 Al2O3와 SiO2는 이동성이 낮아 원암에 축적되는 안정한 성분으로 판단하고 이들의 상호 함량 변화를 기준으로 지수가 제안되었다. 이중 CIA는 다음 식에서 보는 바와 같이 이동성 성분(CaO, Na2O, K2O)에 대한 안정성 성분인 Al2O3의 비로 표시된다(Nesbit and Young, 1982; Mclennan, 1993).
따라서 풍화가 진전될수록 CIA 값은 증가하는 경향을 보인다(Stefansson et al., 2001).
연구지역 충적층 토양의 CIA 값의 범위는 59~70%이며 평균값은 64%이다. CIA는 1차 광물과 2차 광물의 비율을 반영하며, 풍화가 진행됨에 따라 증가하는 값을 가진다. 신선한 화강암에 대한 CIA 값은 50 이하임을 고려하면 연구지역 쇄설성 토양 퇴적물의 주요 구성 광물인 장석이 화학적 풍화를 받았음을 시사한다. 연구지역 심도별 CIA 분포를 보면 대체로 1, 4, 5m 심도에서 가장 높고 2, 3m 심도에서 낮은 경향을 보인다(Fig. 4), CIA 값이 토양 대수층의 상부보다 하부에서 전체 평균보다 대체로 높은 값을 보인다. 이는 토양-지하수 반응이 상부의 불포화대보다는 하부의 포화대에서 더 활발하였음을 시사한다.
작열감량(LOI, loss of ignition)은 화학 분석용 시료를 950℃에서 30분간 가열 시 감소되는 양을 백분율로 표시한 값으로서 시료에서의 H2O+의 양을 나타낸다. H2O+의 양은 층상의 결정구조를 갖는 광물에 포함된 물인 층간수의 함량을 의미한다. LOI 값이 클수록 물-암석 반응에 의한 풍화작용으로 생성된 2차적 층상광물이 많음을 의미하므로 LOI도 화학적 풍화지수로 제안된 바 있다(Suoeka et al., 1985). 연구지역 충적층 토양의 LOI 값의 범위는 0.82~5.08%이며 평균값은 2.37%이다. 연구지역 심도별 LOI 분포를 보면 대체로 1, 4, 5m 심도에서 가장 높고 2, 3m 심도에서 낮은 경향을 보인다(Fig. 4). 연구지역에서 심도별 LOI 값은 토양 대수층의 상부인 불포화대 보다 하부인 포화대에서 평균값보다 대체로 높은 값을 보이는데, 이는 CIA 값의 심도별 분포 경향과 동일하다. 이상에서 불포화대 보다는 포화대 토양에서 LOI, CIA 값이 높고 풍화 마지막 단계에서 증가하는 Mn, Fe, Ti 성분 함량이 높은 경향을 보여준다. 특히 LOI, Ti, Fe의 증가는 2차 광물 특히 점토광물의 생성과 밀접하게 연관된다. 포화대에서 풍화작용이 활발한 것은 물의 유입이 활발하여 광물의 용해 또는 침전, 그리고 원소의 이동과 같은 물-암석 반응이 빠르게 진행된 결과로 해석된다.
4.3 충적층 퇴적물의 조직 특성
충적층 토양의 광물조성 및 산출상태를 정량적으로 추적하기 위해 불교란 토양 코어 시료로부터 제작된 연마 박편에 대한 편광 및 전자현미경 연구를 수행하였다. 편광현미경에서는 40~100배의 저배율에서 전체 조직의 특징을 파악한 후에, 전자현미경을 이용한 SEM-BSE 영상 분석으로 미세 조직과 구조를 조사하였다. 광물의 감정과 화학조성은 SEM-EDS 에너지 분산 스펙트럼으로 분석하였다. 이를 통해 충적층 내 광물의 특징과 이들의 풍화변질 산물인 2차 광물의 산출상태와 조직 그리고 화학성분을 파악하였다. 편광현미경의 개방니콜에서 관찰된 광물 구성과 조직(PPL)에 대하여 주사전자현미경을 이용하여 후방산란전자영상(BSE)에 의한 광물 구성과 조직을 관찰하고, X-ray spectrum(EDS)에 의한 광물감정과 화학조성 연구를 수행하였다(Fig. 5). 퇴적물의 조직 관찰에서 공극(pore)은 편광현미경의 개방니콜에서는 무색 혹은 백색으로 그리고 BSE에서는 흑색으로 관찰된다. 퇴적물을 구성하는 쇄설성 광물 입자는 주로 석영, 정장석, 사장석으로 구성되며, 소량의 흑운모가 관찰된다. 일반적으로 석영은 풍화 변질이 거의 없어 깨끗한 표면 조직으로 관찰되며, 장석에는 풍화 변질로 생성된 미세한 점토광물과 공극으로 어둡고 불규칙한 표면 조직으로 관찰되며, 흑운모는 벽개 방향을 따라 옅은 갈색 혹은 노란색의 일라이트로 변질되거나 미세 균열대를 따라 철산화물로 변질되어 관찰되었다(Fig. 5-a). 이들 쇄설성 입자 사이는 원형 혹은 불규칙한 모양의 공극이 관찰되며, 쇄설성 입자 연변은 장석과 흑운모의 풍화 변질물인 일라이트가 침착되어 산출된다(Fig. 5-b). 또한 쇄설성 입자 사이의 공극에는 2차 광물인 카오린나이트가 기질 물질로 채우고 있다(Fig. 5-c). 또한 석영과 장석으로 구성된 쇄설성 광물 입자 사이에는 풍화변질되어 생성된 2차광물인 갈색의 일라이트와 철산화물이 기질 물질로 채우기도 한다. 쇄설성 입자 사이에 세립의 흑운모와 일라이트가 다량으로 침착된 경우에는 퇴적물의 색이 담회색을 그리고 풍화물이 소량으로 침착된 경우에는 담회색을 띤다. 풍화작용이 진행되면서 토양층의 색이 변화되는 것은 일부 광물의 용해작용 및 변질작용으로 구성광물의 조성이 변하여 빛의 산란현상이 달라진 결과이다(Lee and Kim, 2004). Fig. 5에서 흑운모, 일라이트, 카오린나이트는 서로 유사한 패턴의 EDS spectrum을 보인다. 그러나 흑운모는 일라이트에 비해 상대적으로 비해 높은 Fe, K, Mg, Ca, Ti 함량을 갖는다(Fig. 5-a, b). 카오리나이트는 일라이트에 비해 Al peak가 Si peak 보다 더 높은 특성을 갖는다(Fig. 5-b, c).
이상의 편광현미경과 전자현미경 분석 결과 충적층 토양을 구성하는 주요 쇄설성 광물은 석영, 정장석, 사장석이며, 이들 입자의 연변과 공극을 채우는 광물은 주로 흑운모와 일라이트이며, 소량의 카오린나이트가 공극에서 산출된다. 편광현미경과 전자현미경을 이용한 조직 관찰 결과에 의하면 장석과 흑운모로부터 변질된 일라이트는 풍화작용이 진전되면서 최종적으로는 카오린나이트로 변질된 것으로 추정된다.
5. 요약 및 결론
이 연구에서는 화강암을 기원암으로 하는 하천지역에 형성된 충적층 토양에서 표층에서부터 깊이에 따른 화학성분, 광물구성, 그리고 조직을 조사하여 포화대와 불포화대에서 토양의 특성 변화를 고찰하였고, 다음과 같은 결론을 도출하였다.
(1) 토양 대수층에 대한 지하수 수위 관측 결과 지표에서 2.8~3.8m 구간 범위를 기준으로 상부는 불포화대 그리고 하부는 포화대로 구분된다.
(2) 충적층 토양의 쇄설성 광물 입자는 석영, 정장석, 사장석, 흑운모로 주로 구성되며, 토양의 조직에서 공극을 채우는 2차 광물은 주로 일라이트와 카오린나이트이다.
(3) 심도별 토양 구성 광물의 분포는 풍화와 관련된 일반적인 분포 경향과 일치하지 않는데, 이는 심도별 충적층의 퇴적 과정이 균일하지 않았을 가능성에 기인한다.
(4) 충적층 토양의 CIA 값의 범위는 59~70%이며 평균값은 64%이며, 불포화대 보다는 포화대에서 전체 평균보다 높은 값을 보인다.
(5) 충적층 토양의 LOI 값의 범위는 0.82~5.08%이며 평균값은 2.37%이며, 불포화대보다는 포화대에서 전체 평균보다 높은 값을 보인다.
(6) 충적층 토양의 상부보다는 하부에서 CIA 및 LOI 값이 높은데, 이는 불포화대보다는 포화대에서 물의 유입이 활발하여 광물의 용해 또는 침전, 그리고 원소 이동과 같은 물-암석 반응이 빠르게 진행된 결과로 해석된다.
(7) 풍화작용에 의해 새로운 광물생성과 조직변화는 주로 토양 퇴적물 내에 다량으로 존재하는 장석의 물-암석 반응에 의해 주도적으로 진행되며, 장석류의 변질, 화학반응, 이에 수반되는 2차 광물의 생성은 공극률의 감소와 같은 토양 대수층의 지하수 환경 변화에 주요 요인으로 작용한다.







