1. 서 론
2. 연구 구성 및 내용
3. 말뚝지지 전면기초의 이론 및 설계
4. 대형평판재하시험을 활용한 지반강도정수 산정
5. 지층별 대형평판재하시험 결과 분석
5.1 시험 결과
5.2 지반강도정수 산정 및 민감도 분석
6. 수치해석을 통한 하중분담률 특성 분석
6.1 직경별 전면기초부가 분담하는 하중분담률(Rsr) 검토
6.2 전면기초부가 분담하는 하중분담률 최종식 제안
7. 결 론
1. 서 론
현재 세계적으로 각종 구조물이 대형화되고 있고, 그에 따라 상부 하중이 증가되며 이로 인해 기초의 크기(말뚝 직경, 전면기초 두께)는 대형화됨에 따라 이에 비교적 합리적인 설계를 위한 연구(Jeong, 2010)는 있으나 말뚝과 전면기초부와의 연관성을 파악하여 적용하는 연구는 적어 기초 구조계획 절차에서 체계적인 연구가 필요한 상황이다. 소구경 말뚝의 경우 지반의 변형계수를 구해 설계에 반영한 예(Hong, 2009)가 있고, Piled raft 기초의 비선형 하중-침하 특성을 고려한 하중분담 해석(Choi et al., 2012)이나 유한차분해석과 개별요소해석을 이용한 암반에 근입된 현장타설말뚝의 선단지지력(Lee et al., 2012)등이 있으며 현장타설말뚝을 적용한 말뚝지지 전면기초에 대한 연구에 있어 말뚝과 전면기초부의 하중 분담 특성에 관한 연구(Seo, 2021)도 이루어지고 있지만 종래 연구 역시 하중 분담 특성에 대한 실용적인 접근 방법이 적은 실정이다. 최근 안정성뿐만 아니라 경제성 및 시공성 측면에서의 기초 계획이 강조되는 만큼 대형화 되고 있는 구조물의 하중 및 침하에 따라 하중 분담 특성에 대한 연구가 필요한 상황이다.
따라서, 본 연구는 구조물의 기초 선정을 위한 기초자료를 제공할 목적으로 구조물의 전면기초와 말뚝기초의 병행 적용시 그 영향을 해석적으로 분석하였으며 실제 현장시험 결과를 분석하여 향후 말뚝지지 전면기초 설계분야에 적용 가능하고자 하였다.
2. 연구 구성 및 내용
본 연구에서는 현장시험 결과를 수치해석을 통해 지반강도 정수를 산정하고 매개변수로 지반조건 및 말뚝직경 및 간격등을 통해 하중분담률의 변화를 분석하였으며 다음과 같은 조건에서 전면기초부의 하중분담률을 식으로 제안하였다.
(1) 전면기초부는 유연성을 고려하지 않는 완전 강성체로 가정하였으며 말뚝과 전면기초부의 침하량은 동일하게 해석하였다.
(2) 지반은 풍화토층, 풍화암층, 연암층 중 8종류의 지반조건을 구분하여 적용하였으며 말뚝은 기성 콘크리트 말뚝이 아닌 현장타설말뚝을 기준으로 D1,200mm, D1,500mm, D2,000mm, D2,500mm 총 4가지 직경으로 분석하였다.
(3) 분석시 말뚝 간격은 Parkash and Sharma(1989)가 주장한 말뚝간격과 기초거동의 관계에서 군말뚝 거동을 보이는 간격인 3D~7D의 범위내에서 간격비(말뚝간격/말뚝직경)를 구해 그 값인 3.0, 3.5, 4, 4.5, 5.0로 적용 검토 하였다.
(4) 본 연구의 매개변수는 지반조건(8), 말뚝직경(4), 간격비(5)으로 해석을 하였다.
(5) 변형계수 800MPa을 기준으로 추세 선형식을 분리하여 두가지의 하중분담률 식을 제안하였다.
3. 말뚝지지 전면기초의 이론 및 설계
말뚝지지 전면기초는 단단한 지층에서 전면(Raft foundation)기초만으로도 지지력이 어느 정도 확보되나, 일부 구간에서 기준치를 만족 못하는 침하가 발생, 건축물 균열로 인해 유지 관리차원에서 문제가 예상될 경우에 적용되는 기초형식이다. 말뚝지지 전면기초에서 전면기초부는 상부에 작용하는 작용하는 하중을 분산시키고 지지력을 증가시키며, 말뚝은 국부적으로 배치되며, 말뚝길이를 변화시켜서 침하를 최소화하여 상부 구조물을 지지하는 상호 유기적인 역할을 한다.
말뚝지지 전면기초는 말뚝, 전면기초부 및 기초지반 등 3개의 지지요소로 구성된 복합 구조체이며, 상부 구조물에 작용하는 하중은 식 (1)과 같다.
여기서, Rtot : 상부 구조물에 작용하는 전체하중
Rraft : 전면기초부가 부담하는 하중
ΣRpile : 말뚝이 부담하는 하중의 총합
말뚝지지 전면기초의 지지거동은 식 (2)와 같이 상부 구조물의 전체하중에 대한 말뚝이 부담하는 지지력의 총합의 비로 정의되는 계수 αpr를 이용하여 설명할 수 있다.
αpr이 0일 경우에는 상부 구조물의 하중을 전면기초부가 전부 부담하는 얕은기초의 지지거동을, αpr가 1일 경우에는 말뚝이 전부 부담하는 깊은 기초의 지지거동을 나타낸다. 또한 전면기초 경우의 침하량 Sshallow 와 말뚝지지 전면기초로 했을 경우의 침하량 Spr 의 비를 현장계측사례를 이용하여 계수 αpr의 변화에 따라 도시하면 Fig. 2와 같다.
말뚝지지 전면기초의 설계를 Randolph(1983)는 말뚝이 하중을 대부분을 부담하고 전면기초부는 일부 기여하는 일반적인 설계 개념, creep 침하가 문제시 되는 지반에 있어서 전면기초만으로는 creep 침하가 문제되어 말뚝을 이용하여 지지하는 설계개념인 Creep pilling 설계 개념, 말뚝을 전체 침하량의 감소를 위해 사용하기 보다는 부등침하량을 감소하기 위한 목적으로 사용하는 설계 개념인 부등침하 조절 목적의 설계 개념등 총 3가지로 구분했다.
따라서 말뚝지지 전면기초의 설계시 적용할 침하량을 먼저 결정하고, 기성말뚝 또는 현장타설말뚝중 말뚝 종류를 결정하고 기초저면 지반의 지반강도정수를 산정하고 침하량을 만족하는 말뚝직경 및 말뚝간격, 말뚝길이를 결정한다. 이때 전면기초부의 두께는 구조적 안정성을 확보 가능한 두께로 정한다.
4. 대형평판재하시험을 활용한 지반강도정수 산정
현장시험은 얼마나 실제 상황과 설계 요건들을 잘 고려하여 실시하는 것이 가장 중요하다(Hong and Hwang, 2019). 대형평판재하시험은 일반적으로 지름이 직경이 1,000mm이상의 평판으로 재하시험을 할 경우가 일반적이며 기초가 설치될 지반을 대상으로 직접 하중을 가하여 일반 PBT보다는 기초 지반의 지지력 및 침하량 시험을 실제 상황에 근접하여 실시하는 시험이다.
본 연구에서는 대형평판재하시험을 이용하여 지반의 지지력-침하 관계 특성을 파악하고 그 결과를 이용하여 지반 강도정수를 산정하고자 한다. 본 연구에서는 총 네 곳의 국내현장 사례를 이용하여 분석하였으며 역해석을 실시하여 지반강도정수를 산정하였다.
본 연구에서 사용한 대형평판재하시험의 장비제원은 Table 1과 같으며 하중 재하는 지반앵커를 이용한 반력을 사용하였으며 편심의 영향을 확인하기 위해 변위계(LVDT)를 네 방향으로 설치하였다.
Table 1.
Specifications of large scale PBT
대형평판재하시험을 실시한 현장의 지반의 지층 분포를 Table 2에 요약하였다. 사례 1과 사례 2의 경우에는 연암층에 시험을 실시하였다. 사례 3과 사례 4의 경우에는 풍화암층에 시험을 실시하였고, 사례 5의 경우에는 풍화토층에 시험을 실시하였다.
Table 2.
Strata distribution status in cases of large scale PBT
5. 지층별 대형평판재하시험 결과 분석
5.1 시험 결과
연암층 2개소에 대한 대형평판재하시험의 결과는 Fig. 3과 같다. Fig. 3(a) 사례 1에서는 최대재하압력 2,400kN/m2에서 9.5mm의 변위가 발생하였고, Fig. 3(b) 사례 2에서는 최대재하압력 2,720kN/m2에서 12.2mm의 변위가 발생하였다.
풍화암층 2개소에 대한 대형평판재하시험의 결과는 Fig. 4와 같다. Fig. 4(a) 사례 3에서는 최대재하압력 2,720kN/m2에서 21.0mm의 변위가 발생하였고, Fig. 4(b) 사례 4에서는 최대재하압력 1,500kN/m2에서 22.3mm의 변위가 발생하였다.
본 연구에 사용한 풍화토층 1개소에 대한 대형평판재하시험의 결과는 Fig. 5와 같으며 Fig. 5(a) 사례 5에서는 최대재하압력 1,400kN/m2에서 45.0mm의 변위가 발생하였다.
5.2 지반강도정수 산정 및 민감도 분석
본 연구에 사용된 Program은 국내외에서 범용적으로 사용하는 MIDAS-GTS NX Program을 사용하여 유한요소해석을 실시 하였으며, 여러 지반강도정수 중 민감도가 가장 큰 변형계수를 변화시키면서 시행착오법을 통해 변형해석에 적용할 변형계수를 산정하였으며 민감도에 대한 분석도 연구하였다. 역해석을 통해 얻은 지반강도정수중 연암층에 대한 결과는 Fig. 6 풍화암층에 대한 결과는 Fig. 7 풍화토층에 대한 결과는 Fig. 8과 같다.
본 연구에서 각 지지층에 대한 지반정수 산정을 위하여 대형평판재하시험과 변형해석을 이용하여 역해석을 실시하였으며 그 결과를 요약하면 Table 3과 같다. 그리고 각 지반정수 별 민감도 분석을 실시한 결과를 Fig. 9, Fig. 10, Fig. 11에 도시하였으며, 변형계수의 민감도가 가장 크다는 것을 알 수 있었으며 이 결과를 이용하여 앞서 분석하였던 대형평판재하시험의 결과 5가지의 종류에 변수가 큰 Em=1,400MPa이하에 3가지의 종류를 추가하여 총 8가지의 지층 종류로 지반의 입력 물성치로 설정하여 수치해석을 통한 하중분담률을 분석하였다.
6. 수치해석을 통한 하중분담률 특성 분석
본 연구에서 수행한 해석에 입력된 지반강도정수 값은 Table 4에 나타냈으며 이는 실제 현장 사례에서 대형평판재하시험의 결과를 이용한 지반정수산정을 통해 구한 사례 5종류에 가장 민감도가 큰 변형계수를 3종류 값을 추가 선정하여 총 8종류로 입력하였으며, 말뚝직경은 D1,200, D1,500, D2,000, D2,500 4개의 경우로, 말뚝 간격비는 3.0, 3.5, 4.0, 4.5, 5.0의 5개 경우에 대하여 Table 5와 같이 전면기초부의 하중분담률을 연구하였다. 해석 모델링의 개요는 Table 5와 같다.
Table 4.
Input paremeters when analyzing load sharing ratio
Table 5.
Analysis modeling overview when analyzing load sharing ratio
| Classification | Material model | Constitutive equation |
| Ground | Elastoplastic model | Mohr-Coulmb model |
| Pile | Elastic model | Linear elasticity model |
| Raft | Elastic model | Linear elasticity model |
본 연구에서 적용한 말뚝의 형상은 Fig. 12와 같다. 3×3의 9개의 말뚝으로 모델링을 진행하였으며, Table 6과 같은 해석 조건으로 변형해석을 수행하였으며, 전면기초부의 입력치는 Table 7에 나타내었다.
Table 6.
Modeling analysis conditions when analyzing load sharing ratio
| Influence Factor | Analysis condition |
| Pile Arrangement | 3×3 |
| Pile Diameter (D, mm) | D1,200, D1,500, D2,000, D2,500 |
| Spacing ratio () | 3.0, 3.5, 4.0, 4.5, 5.0 |
Table 7.
Piled Raft input material properties in analysis
| Model type |
Unit weight γt (kN/m3) |
Deformation coefficient Em (MPa) |
| Raft (Foundation concrete) | 24.0 | 26,000 |
| Pile | 24.0 | 24,500 |
6.1 직경별 전면기초부가 분담하는 하중분담률(Rsr) 검토
말뚝직경 D=1,200mm, D=1,500mm, D=2,000mm, D=2,500mm일 때 각각의 변형해석을 통해 산정된 변형계수(Em)-하중분담률을 Fig. 13~16에 나타내었다. 800MPa까지는 변형계수가 증가하면서 하중분담률이 급격하게 증가하는 경향을 보이고 있었다. 그리고 800MPa 이상부터는 하중분담률의 증가량이 급격하게 줄어드는 경향을 보였다. 이것은 지반강성이 증가할수록 포아송 비가 증가하여 주변 지반보다 말뚝에 하중이 집중되기 때문인 것으로 판단된다.
Fig. 13~16에서 보는 바와 같이 지반의 변형계수 340~800MPa 구간에서는 변형계수가 100MPa 증가할 때 마다 D=1,200mm의 경우 약 6.5%, D=1,500mm의 경우 6.9%, D=2,000mm의 경우 6.7%, D=2,500mm의 경우 7.2% 정도, 800~3,000MPa 구간에서는 D=1,200mm의 경우 약 0.9% D=1,500mm의 경우 0.9%, D=2,000mm의 경우 0.9%, D=2,500mm의 경우 0.9% 정도로 하중분담률이 증가하는 경향을 보였다. 말뚝의 간격비의 효과는 간격비 0.5 증가 시 마다 D=1,200mm의 경우 약 2~4%, D=1,500mm의 경우 2~6%, D=2,000mm의 경우 2~5%, D=2,500mm의 경우 2~5%의 하중분담률이 증가하는 경향을 보였다.
본 연구에서는 Fig. 13~16의 결과에서 800MPa를 기준으로 2개의 구간으로 나누어 변형계수와 전면기초부 하중분담률의 관계를 분석하여 Table 8에서 각각의 경우에 대해 식으로 상관관계를 정리하였다.
Table 8.
Formula of Load sharing ratio (Rsr1, Rsr2) by pile diameter type
6.2 전면기초부가 분담하는 하중분담률 최종식 제안
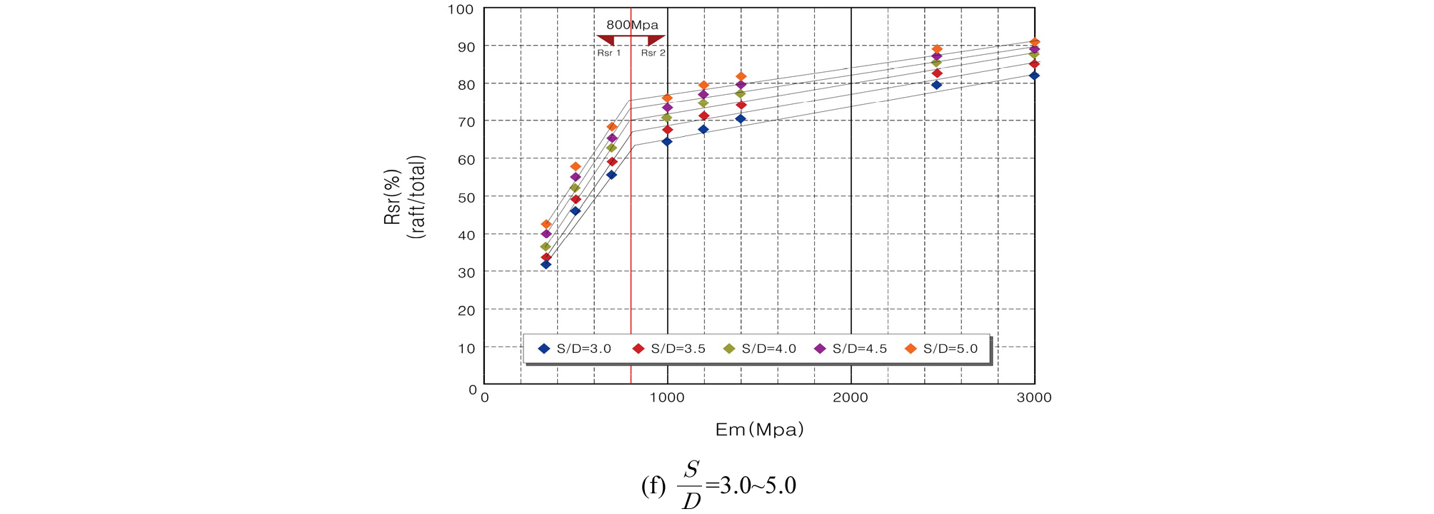
Fig. 17은 변형계수 800MPa 미만 조건에서 직경별로 제안한 식을 간격비에 따라 작성한 그래프이다. 말뚝 직경 변화에 따른 전면기초부의 하중분담률 변화의 차이는 말뚝 직경 D1,200mm과 D2,500mm에서 최대 약 3% 정도로 크지 않았다. 이에 말뚝 직경에 따른 오차의 범위가 미미하여 평균치를 적용하여도 실용적인 연구 목적에 부합하는 것으로 판단하였다.
이에 각 간격비별 변형계수와 하중분담률 관계 곡선을 그리고, Fig. 17의 관계 곡선을 식 (3)과 같이 제안식을 산정하였다.
식 (3)의 간격비 f1계수를 분석하여 식 (4)와 같이 산정하였다. 식 (4)를 식 (3)에 대입하면 Em<800MPa인 경우, 전면기초부 하중분담률의 최종제안식인 식 (5)를 산정할 수 있었다.
여기서, Rsr1 : 전면기초부가 부담하는 하중분담률(%) (Em<800MPa)
Em : 지반의 변형계수(MPa)
n : 간격비,
a : 0.07
f1 : 11.7
식 (5)를 이용하여 전면기초부의 하중분담률을 산정하면 Table 9와 같다. 또한 변형계수가 100MPa 증가 할 때 마다 약 6.7%, 말뚝의 간격비의 효과는 간격비 0.5 증가 시 마다 약 3~4%의 하중분담률이 증가하는 경향을 보였다.
Table 9.
Load sharing ratio result by formula of Rsr1 (Em<800MPa)
|
Deformation coefficient Em (MPa) | Load sharing ratio of front raft according to spacing ratio (%) | ||||
| 3.0 | 3.5 | 4.0 | 4.5 | 5.0 | |
| 340 | 32 | 35 | 38 | 42 | 45 |
| 500 | 43 | 46 | 49 | 53 | 56 |
| 700 | 56 | 60 | 63 | 66 | 70 |
Fig. 18은 변형계수 800MPa 이상 조건에서 직경별로 제안한 식을 간격비에 따라 작성한 그래프이다. 말뚝 직경 변화에 따른 전면기초부의 하중분담률 변화의 차이는 말뚝 직경 D1,200mm과 D2,500mm에서 최대 약 3% 정도로 크지 않았다. 이에 말뚝 직경에 따른 오차의 범위가 미미하여 평균치를 적용하여도 실용적인 연구 목적에 부합하는 것으로 판단하였다.
이에 각 간격비별 변형계수와 하중분담률 관계 곡선을 그리고, Fig. 18의 관계 곡선을 식 (6)과 같이 제안식을 산정하였다.
식 (6)의 간격비 f2계수를 산정하여 식 (7)과 같이 산정하였다. 식 (7)을 식 (6)에 대입하면 Em<800MPa인 경우, 전면기초부 하중분담률의 최종제안식인 식 (8)을 산정할 수 있었다.
여기서, Rsr2 : 전면기초부가 부담하는 하중분담률(%) (Em≥800MPa)
Em : 지반의 변형계수(MPa)
n : 간격비,
b : 0.009
f2 : 38.9
식 (8)을 이용하여 전면기초부의 하중분담률을 산정하면 Table 10과 같으며, 변형계수가 100MPa 증가 할 때 마다 약 0.9%, 말뚝의 간격비의 효과는 간격비 0.5 증가 시 마다 약 3~4%의 하중분담률이 증가하는 경향을 보였다.
7. 결 론
본 연구 결과는 다음과 같다.
(1) 지반강도정수 선정을 수행하는 과정에서 해석결과에 영향을 미치는 인자는 강도 정수인 점착력(c. kN/m), 내부마찰각(φ,°)과 강성인자인 변형계수(Em, kN/m2), 프와송비(v)가 있다. 그러나 점착력과 내부마찰각은 일반적으로 사용하는 범위에 있으므로 본 연구에서는 변형계수를 변화시키면서 시행착오법을 통해 지반강도정수를 산정하였다.
(2) 지반강도정수의 각 매개변수 점착력, 내부마찰각, 변형계수가 하중에 따른 지반의 변형에 미치는 영향을 파악하기 위해 개별적 검토를 실시하였으며 검토 결과 지반의 침하에는 변형계수가 가장 큰 직접적인 매개변수임을 확인 할 수 있었다. 이에 점착력 및 내부마찰각은 해석결과에 영향을 미치지 않는 범위 내에서 지반강도정수를 선정하여 하중분담률의 특성을 검토하였다.
(3) 4가지의 말뚝 직경에 따른 전면기초부가 분담하는 하중분담률을 변형계수 조건 800MPa을 기준으로 간격비에 따른 하중분담률의 절편차이를 분석하여 총 8가지의 식으로 산출하였으며 제안식을 일괄적으로 도식화하여 실무에서 효율적으로 사용할 수 있도록 변형계수의 조건만 고려한 2가지의 식으로 제안하였다.
(4) 변형계수 조건에 따라 직경별로 제안한 식을 간격비에 따라 일괄적으로 분석하였을 때 직경별 말뚝 직경 변화에 따른 전면기초부의 하중분담률 변화의 차이는 말뚝 직경 D1,200mm과 D2,500mm에서 최대 약 3% 정도로 크지 않았다. 이에 말뚝 직경에 따른 오차의 범위가 미미하여 평균치를 적용하여도 실용적인 연구 목적에 부합하는 것으로 판단하였다.
(5) 대형평판재하시험 결과를 활용한 지반강도정수에 의한 전면기초부가 분담하는 하중분담률의 최종식을 식 (5), (8)과 같이 제안하였다.
(6) 본 연구에서 제안한 식의 적용범위는 다음과 같다.
Em(변형계수, MPa) : 340≤Rsr1<800≤Rsr2≤3,000
n(간격비, ) : 3≤n≤5
D(말뚝직경, mm) : 1,200≤D≤2,500
침하량(mm) : 12mm




















