1. 서 론
2. 문헌연구
2.1 하중계 설치를 통한 잔존 긴장력 계측방법
2.2 그라운드 앵커의 긴장력 변화 특성
2.3 문헌연구를 통한 하중감소특성 분석사례 조사
3. 하중계 계측자료의 장기하중감소특성 분석
3.1 본 연구에서 적용한 하중감소율 식
3.2 계측 현황
3.3 장기하중감소특성 분석 결과
4. 단기 계측데이터를 통한 장기하중감소 예측
4.1 예측 절차
4.2 전체 계측데이터 분석 결과
4.3 단기 계측데이터 분석 결과
4.4 분석 결과 비교
5. 요약 및 결론
1. 서 론
그라운드 앵커 공법은 비탈면 및 구조물 안정성 확보 등과 같은 목적으로 1970년대 이후에 국내에 적용되었으며(Ministry of Land, Transport and Maritime Affairs, 2010), 현재 네일, 록볼트 등과 함께 가장 널리 사용되고 있다. 그라운드 앵커 공법은 그 특성상 앵커의 품질과 시공성이 주변 지반에 큰 영향을 받으며, 그중 장기 목적으로 사용되는 영구앵커에서는 구조물 사용기간 동안 지지력 및 내구성 확보가 필수적으로 요구된다. 그러나 최근 연구결과에 따르면 그라운드 앵커의 장기거동에 따른 긴장재 및 정착구 파손, 비탈면 변형 및 손상, 잔존 긴장력 저하 현상 등이 발생하고 있다고 보고되고 있다. 비교적 최근인 2019년에 발표된 급경사지 안전관리 실태 감사 보고서에 따르면, 7개 현장에 대한 잔존 긴장력 측정 결과 6개 현장에서 20% 이상의 잔존 긴장력 감소현황이 보고되었다(The board of Audit and Inspection of Korea, 2019). 이처럼 비탈면에 설치된 그라운드 앵커는 설치 직후 내외적인 요인들에 의해 긴장력 감소가 불가피하게 발생하게 되고, 이는 장기목적으로 설치된 영구앵커들의 안정성을 저하시킨다. 따라서, 그라운드 앵커의 잔존 긴장력 변화를 조사·계측하는 것은 매우 중요하다(Ministry of Land, Transport and Maritime Affairs, 2010).
이와 같은 잔존 긴장력 감소 문제는 앞으로 지속적으로 증가될 것으로 전망되고 있으며, 이로 인해 발생하는 유지관리 비용 증가, 부실 유지관리에 의한 시설물 붕괴 사고 등의 문제가 불가피할 것으로 보인다. 또한, 현재 적용되고 있는 기준인 국토교통부(Ministry of Land, Infrastructure and Transport, 2016)의 설계법에 의하면, 그라운드 앵커는 장기거동에 의한 긴장력 감소 현상, 앵커체 내구성 확보 등을 고려해야 한다는 일반적인 사항들만 언급되어 있으며, 실제 긴장력 산정 시 단기적인 재료의 파단과 그라우트와 지반의 마찰, 그라우트와 인장재의 부착력 등만을 고려하여 설계하고 있다.
이에 본 연구에서는 문헌연구를 통해 장기목적으로 설치된 비탈면 그라운드 앵커의 긴장력에 영향을 미치는 요인들을 파악하였으며, 앵커의 유지관리를 위해 수행하는 하중계 모니터링 자료를 분석한 선행연구들을 조사하였다. 이후, 이를 기초자료로 사용하여 실제 현장에서 수집한 하중계 계측자료를 분석하여 해당 구역 앵커의 긴장력 감소현황을 파악하고 그 장기하중감소특성을 분석하였다. 마지막으로 설치 직후 약 100일간 측정된 단기 데이터를 사용하여 분석한 장기하중감소특성과 전체 계측자료를 통해 분석한 장기하중감소특성을 비교하였고, 이를 통해 약 100일간 측정된 단기 데이터로 장기하중감소를 예측하는 것이 단기 하중 감소 구간에서 외부요인에 의한 큰 변동이 없을 경우에 전체 계측 데이터로 예측한 결과와 유사하게 나타나는 것을 확인하였다. 이를 바탕으로 단기 데이터를 통해 통계적 기법을 적용하여 영구앵커의 장기하중감소특성을 예측하는 기법을 제안하였다.
2. 문헌연구
2.1 하중계 설치를 통한 잔존 긴장력 계측방법
본 절에서는 국내 기준인 국토해양부(Ministry of Land, Transport and Maritime Affairs, 2010)에 관한 문헌연구를 수행하여 국내에서 규정한 그라운드 앵커의 하중계 설치를 통한 잔존 긴장력 계측방법에 대해 조사하였다. 조사결과에 따르면 국토해양부는 ‘현장 그라운드 앵커는 잔존 긴장력 계측을 위해 시공 단계에서 하중계를 설치’하도록 규정하였으며, ‘하중계가 설치되어 있지 않은 앵커에 대해서는 리프트오프 시험을 수행’하도록 규정하였다. 국토해양부에서 규정한 하중계를 통한 잔존 긴장력 계측방법과 리프트오프 시험에 의한 잔존 긴장력 측정방법의 특징은 다음 Table 1과 같다. 국토해양부는 하중계를 통한 잔존 긴장력 계측 방법은 쉽게 설치가 가능하며 긴장력의 미세한 변화 및 기후 영향을 추측 가능하다는 특징이 있으며, 리프트오프 시험에 의한 잔존 긴장력 측정방법은 임의의 장소에서 측정 가능하며, 정해진 일시의 긴장력을 계측 가능하다는 특징이 있다.
Table 1.
Methods and characteristics of residual tensile load measurement (Ministry of Land, Transport and Maritime Affairs, 2010)
2.2 그라운드 앵커의 긴장력 변화 특성
본 절에서는 그라운드 앵커의 긴장력에 영향을 미치는 하중감소특성에 대한 문헌연구를 수행하였다.
Lee(2018)의 연구에 따르면, 그라운드 앵커의 감소특성은 단기하중감소특성, 장기하중감소특성으로 구분하여 제시할 수 있으며, 이에 대한 변화곡선은 Fig. 1과 같다.
또한, Lee(2018)는 이러한 감소특성으로 인해 발생하는 그라운드 앵커의 하중 감소에 대비하기 위해선 해당 앵커의 설계 긴장력보다 큰 정착하중을 유지해야 한다고 언급하였다.
일본지반공학회(1997)는 앵커 시공 후 비교적 짧은 기간에 발생하는 감소특성인 단기하중감소에 영향을 미치는 요소로 쐐기(wedge)의 셋(set)량, 쉬스관과 강연선의 마찰에 의한 손실, 배면지반의 즉시침하량을 제시하였으며, 장기하중감소에 영향을 미치는 요소로 강연선의 릴렉세이션(relaxation), 암반과 그라우트 간 장기마찰거동, 강연선과 그라우트 간 장기부착거동, 배면부 지반의 장기침하거동을 제시하였다. 이러한 하중감소에 영향을 미치는 요소들에 대한 모식도는 Fig. 2와 같다.
Fig. 2와 같이 하중감소특성은 다양한 요소들에 의해 발생되며, 이는 실험적으로 구하기 매우 복잡하기 때문에 현재까지 이에 대한 규명 및 원인에 대한 선행연구가 매우 부족한 실정이다.
이에 하중감소특성에 대한 정량적인 기준 정립을 위해선 공용중인 그라운드 앵커의 장기모니터링 계측자료를 분석하여 하중감소특성의 형식과 크기에 따른 잔존 긴장력의 거동과 관련된 정량적인 분석을 수행해야 할 것으로 판단된다.
2.3 문헌연구를 통한 하중감소특성 분석사례 조사
본 절에서는 현장에서 수집한 그라운드 앵커의 하중계 계측자료를 통해 하중감소특성을 분석한 사례들에 대한 문헌연구를 수행하였다.
Yamazaki와 Kohashi(2007)는 현장 비탈면 그라운드 앵커에 대하여 60일 가량의 계측을 수행하였으며, 그 결과는 Fig. 3과 같다. 계측결과에 따르면, 계측 초기구역인 2주 동안은 초기 긴장력의 5% 가량의 비교적 큰 긴장력 감소가 발생하였으며, 그 이후 6주간 2% 가량의 추가 하중감소가 발생하였다. Yamazaki와 Kohashi는 이러한 거동은 linear-scale 시간축 곡선을 log-scale 시간축 곡선으로 변환할 시 하중감소를 선형적으로 예측할 수 있을 것으로 언급하였다.
미국 FHWA(1990)는 정착하중을 다르게 가한 그라운드 앵커의 하중감소특성을 분석하였으며, 분석결과는 Fig. 4와 같다.

Fig. 4
Analysis of load reduction characteristics of ground anchors with different lock-off load (FHWA, 1990)
Fig. 4에 따르면, 대부분의 앵커에서 70일 이내에 급격한 하중감소가 발생하였으며, 이후 수렴하는 경향을 보였다. 이러한 FHWA의 분석결과를 종합하면, 정착하중의 크기가 하중감소현상 발생에 미치는 영향은 크지 않음을 확인할 수 있다.
Lee(2018)는 서로 조건이 다른 11공의 그라운드 앵커에 각각 하중계를 설치하여 560일 가량의 장기계측을 수행하였으며, Fig. 5∼Fig. 7은 계측결과 중 일부를 나타내고 있다.
Fig. 5∼Fig. 7의 계측결과를 분석한 결과, 대부분의 앵커에서 시공초기로부터 경과일 50일 부근까지 초기하중 손실로 추정되는 하중감소가 발생하였으며, 그 이후 시간의 경과에 따라 일정한 하중으로 수렴하는 경향을 보였다. 또한, 앵커 특성에 따른 하중 손실량을 분석한 결과, 압축형 앵커는 1.2%로 인장형 앵커 및 분산형 앵커의 50% 가량의 하중 손실량을 보였으며, 인장형 앵커와 분산형 앵커는 300일 가량 지난 시점에서 변곡점이 발생하여 압축형 앵커와는 다르게 추가적인 손실이 발생하는 것을 확인하였다.
3. 하중계 계측자료의 장기하중감소특성 분석
3.1 본 연구에서 적용한 하중감소율 식
본 연구에서는 현장 그라운드 앵커의 하중계 계측자료들을 수집하여 시간-하중 곡선을 작도하였고, 이에 대한 분석을 수행하였다. 이후, 선행연구에서 개발된 하중감소모델을 본 계측자료에 적용하여 해당 앵커의 장기하중감소특성을 분석하였다.
Lee(2018)는 그라운드 앵커의 장기거동은 응력이완 현상에 영향을 받기 때문에 이와 관련된 강도 및 변형 등의 시간 의존적인 거동을 고려한 모델 선정이 필요하다고 언급한 바 있으며, Kim et al.(2005), FHWA(1990), Briaud(1999)는 연구결과를 통해 토사의 응력이완 거동을 log-scale로 표현할 시 시간에 따른 선형적인 거동이 나타나는 것을 확인하였고, 이와 관련된 경험식을 제시한 바 있다.
본 연구에서는 선행연구에서 제시한 경험식 중 가장 기본적인 log-scale 가로축을 적용한 Lee(2018)의 그라운드 앵커 장기거동 하중감소율 식을 적용하였으며, 이는 다음 식 (1)과 같다.
여기서, LLR(%) = Load Loss Rate(하중감소율)
P = 최종 단계에서의 하중
t = 최종 단계에서의 시간
P1 = 초기 단계에서의 하중
t1 = 초기 단계에서의 시간
n = 장기하중감소계수
3.2 계측 현황
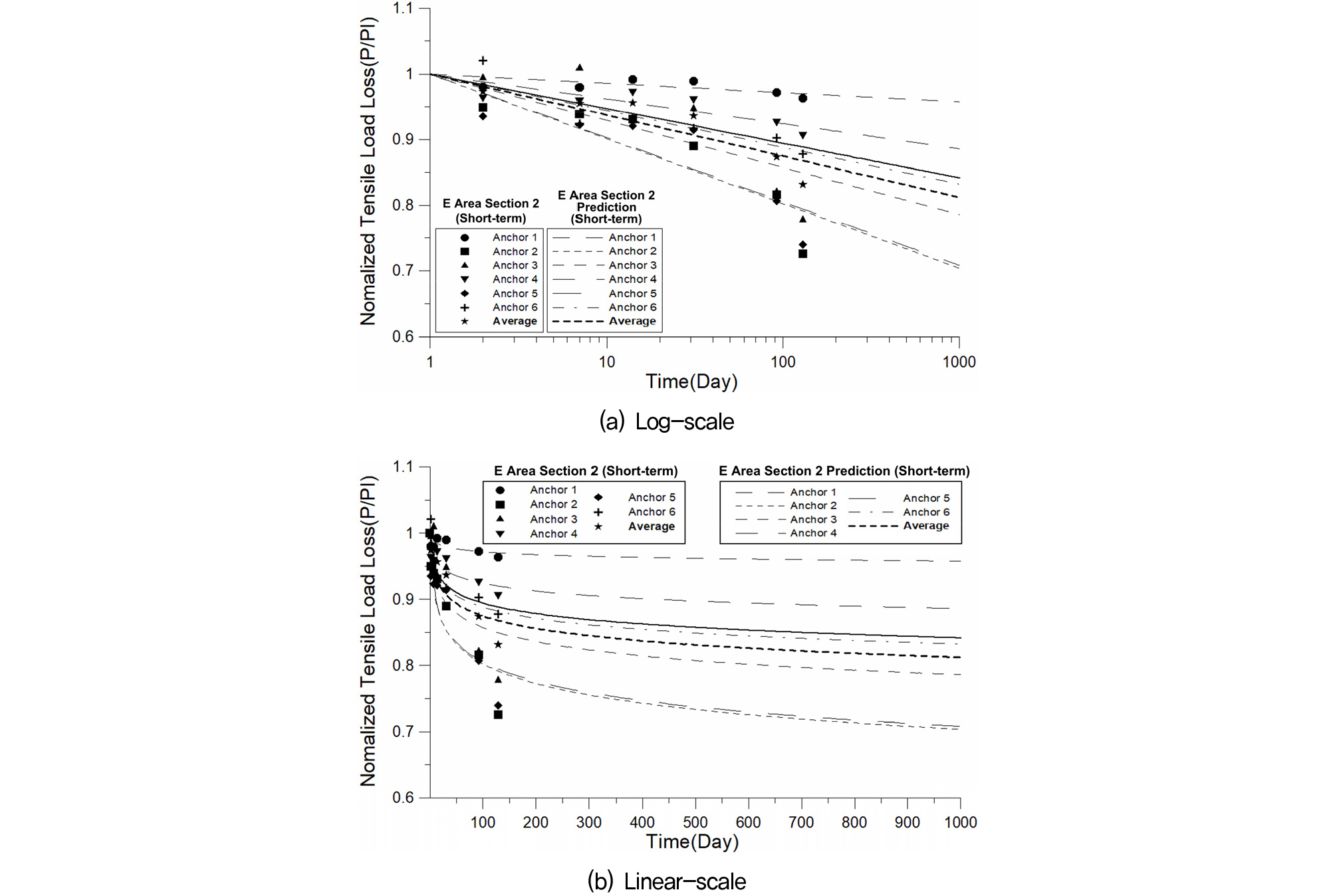
본 연구에서는 6개 현장의 99개 앵커에 대한 계측자료를 수집하였으며, 이 중 하중감소가 뚜렷하게 드러난 1개 현장의 12개 앵커에 대한 장기하중감소특성을 분석하였다. Fig. 8∼Fig. 9는 분석에 사용된 12개 앵커에 대한 계측자료를 초기하중 대비 변화하중으로 정규화하여 나타내고 있다.
Fig. 8∼Fig. 9에 해당하는 앵커들은 모두 절토비탈면에 설치된 인장형 앵커이며, 구성암반이 토사층, 파쇄암 등으로 형성되어있고 하중은 격자블록 형태로 지지하고 있다. 또한, 계측은 1구역 2구역 각각 930일, 549일까지 수행되었으며, 대부분의 앵커에서 경과일 100일 부근까지 급격한 하중감소가 발생하고, 이후 일정한 값으로 수렴하는 경향을 보이고 있다.
3.3 장기하중감소특성 분석 결과
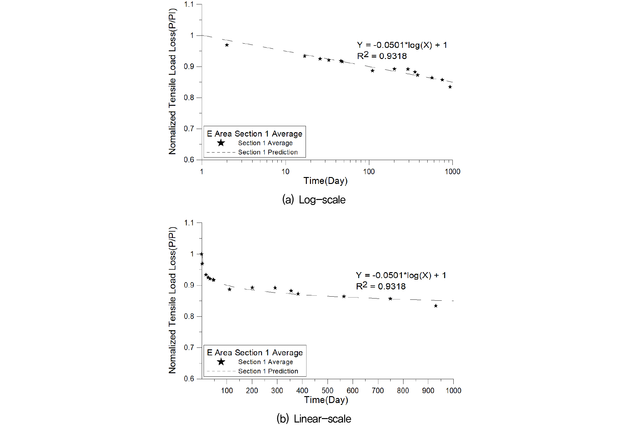
본 절에서는 Fig. 8∼Fig. 9의 앵커에 Lee(2018)가 제시한 식 (1)을 적용하여 각 구역의 하중감소계수와 이에 대한 결정계수를 산출하였다. 산출 데이터는 각 구역의 전반적인 경향을 모사하기 위해 각 경과일수에서의 데이터 평균값을 적용하였다. Fig. 10∼Fig. 11은 계측결과에 식 (1)을 대입한 결과를 나타내고 있으며, 앵커의 선형적인 거동을 파악하기 위해 가로축을 log-scale로 적용한 결과와 기존 linear-scale로 적용한 결과를 각각 작도하였다.
Fig. 10의 E현장 1구역의 경우 하중감소율이 5.01%로 산출되었으며, Fig. 11의 E현장 2구역은 1구역보다 다소 큰 7.19%의 하중감소율이 산출되었다. 이러한 경향은 과거 Lee(2018)가 수행하였던 Fig. 7의 인장형 앵커 결과보다 비교적 큰 하중감소를 보여, 이에 대한 원인분석이 필요할 것으로 판단된다.
4. 단기 계측데이터를 통한 장기하중감소 예측
4.1 예측 절차
본 연구에서는 문헌연구를 통해 앵커의 하중감소는 설치 후 단기에 발생하는 단기하중감소특성과 장기거동에 따라 발생하는 장기하중감소특성으로 구분할 수 있음을 파악한 바 있으며, 현장에서 수집한 계측자료를 검토하여 앵커의 하중이 경과일 100일 부근까지 급격히 감소하고, 그 이후 수렴하는 경향을 확인하였다. 따라서, 본 절에서는 이러한 하중계 계측결과 100일 정도의 비교적 초기 데이터가 장기하중 감소를 예측할 수 있는지 평가하고자, 100일 부근 데이터로 분석한 장기하중감소특성과 전체 계측일수로 분석한 장기하중감소특성을 비교 분석하였다.
계측데이터를 통한 장기하중감소 예측 결과 비교를 위해서, 먼저 계측 데이터의 전체 계측데이터와 100일 부근까지의 데이터를 각각 식 (1)에 대입하여 각 구역별 앵커의 장기하중감소계수와 그 결정계수를 산출하였다. 이후, 산출된 장기하중감소계수를 통한 예측식을 log-scale 및 linear-scale로 작도하여 그 경향과 감소율을 분석하였다. 마지막으로, 산출된 데이터와 분석결과를 비교하여 100일 부근의 비교적 단기 데이터가 장기하중감소 경향을 예측할 수 있는지 평가하였다.
4.2 전체 계측데이터 분석 결과
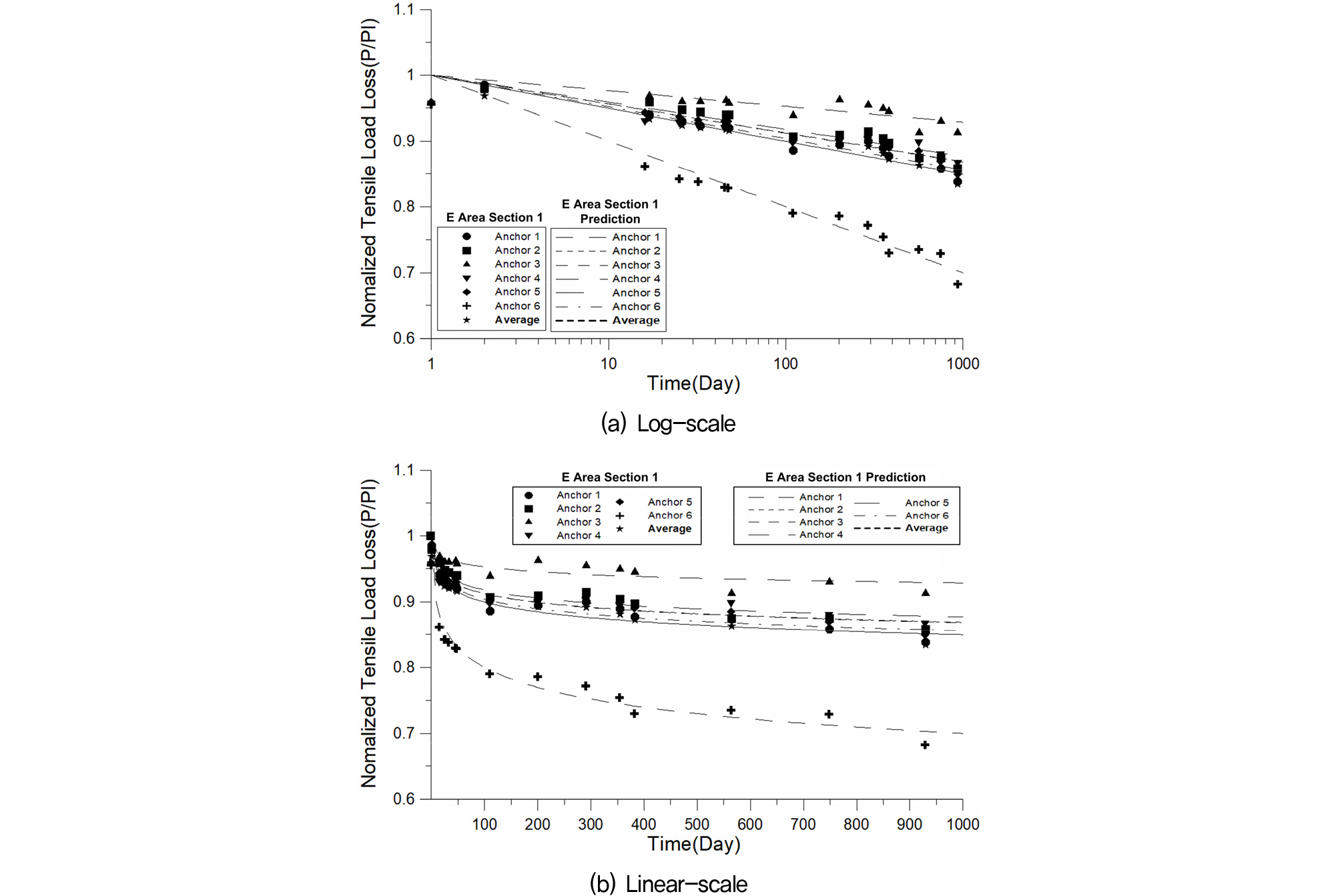
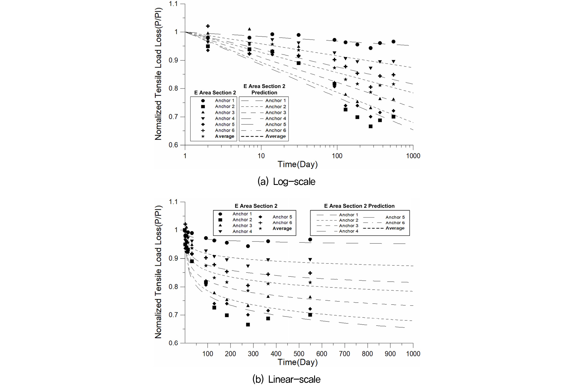
예측에 사용된 데이터는 Fig. 8∼Fig. 9의 E현장 ①, ②구역 앵커이며, 본 앵커들의 최종 전체 계측경과 일수는 ①, ②구역 각각 930일, 549일과 같다. 본 구역 앵커들의 최종 전체 계측경과일수까지의 데이터를 식 (1)을 대입하여 개별 앵커의 장기하중감소계수와 결정계수를 산출한 결과는 Table 2와 같다.
Table 2.
Results of long-term load reduction factor and coefficient of determination for anchors in E area
Fig. 12∼Fig. 13은 Table 1을 통해 산출된 장기하중감소계수를 적용하여 각 현장 앵커의 1000일까지 경향을 나타낸 그림이며, 기본적인 linear-scale과 선형적인 거동을 보기위한 log-scale을 모두 작도하였다.
E현장 ①구역의 경우 ③번 앵커에서 2.37% 가량의 가장 낮은 하중감소율을 보였으며, ⑥번 앵커에서는 10% 가량의 가장 높은 하중감소율을 보였다. 6개 앵커의 평균 하중감소율은 5.01%이며, 평균 결정계수는 0.9318로 1에 매우 가까워 현장 데이터에 대한 설명력이 높을 것으로 판단되었다. ②구역의 경우 ①번 앵커, ⑤번 앵커에서 각각 1.62%, 11.55%의 최소 최대 하중감소율을 보였으며, 이는 ①구역과 비교하였을 시 그 격차가 더 커졌음을 확인할 수 있다. 또한, ②구역 앵커의 평균 하중감소율은 7.19%로 ①구역에 비해 더 커졌으며 결정계수는 0.8671로 ①구역에 비해 설명력이 떨어짐을 확인할 수 있다.
4.3 단기 계측데이터 분석 결과
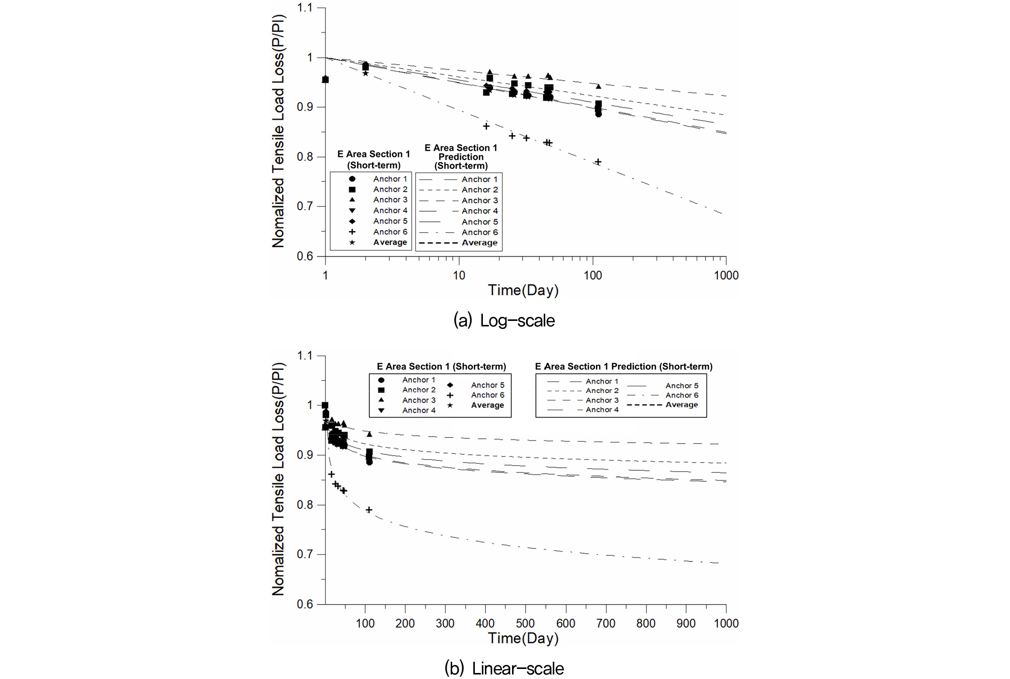
본 절에서는 4.2절에서 산출된 전체 계측데이터의 장기하중감소계수와 비교하기 위해 E현장 앵커들의 100일 부근 계측일자를 통한 장기하중감소계수를 산출하였다. 수집한 데이터에 따르면 E현장의 경우 경과일 100일에 정확히 일치하는 데이터가 존재하지 않았기에 각 구역에서 경과일 100일에 가장 근접한 경과일인 110일, 129일을 데이터 분석에 각각 적용하였다. 본 구역 앵커들의 100일 부근 계측데이터를 식 (1)을 대입하여 개별 앵커의 장기하중감소계수와 결정계수를 산출한 결과는 Table 3과 같다.
Table 3.
Results of long-term load reduction factor and coefficient of determination of the individual anchors in E area (100 days elapsed)
다음 Fig. 14∼Fig. 15는 Table 2를 통해 산출된 장기하중감소계수를 적용하여 각 현장 앵커의 1000일까지 경향을 나타낸 그림이며, 이 역시 Fig. 12∼Fig. 13과 마찬가지로 기본적인 linear-scale과 선형적인 거동을 보기위한 log-scale을 모두 작도하였다.
Table 3과 Fig. 14에 따르면 E현장 ①구역 ④번 앵커는 장기하중감소계수로 작도한 식과 현장 데이터의 설명력이 매우 떨어져 결정계수가 산정되지 않았으며, ③번 앵커에서 2.59% 가량의 가장 낮은 하중감소율을 보였고, ⑥번 앵커에서는 10.6% 가량의 가장 높은 하중감소율을 보였다. 이를 4.2절 결과와 비교한 결과, 두 방법 모두 ③번 앵커에서 최소 하중감소율, ⑥번 앵커에서 최대 하중감소율을 보였으며, 평균 하중감소율에서도 큰 차이를 보이지 않았다.
Fig. 15의 결과에 따르면 ②구역의 경우, ①번 앵커에서 1.41%의 최소 하중감소율, ②번 앵커에서 9.88%의 최대 하중감소율을 보였으며, 평균 하중감소율은 6.26%로 4.2절의 결과와 다소 차이가 발생하였다.
4.4 분석 결과 비교
본 절에서는 4.2절에서 수행한 전체계측자료의 장기하중감소특성과 4.3절에서 수행한 경과일 100일 부근의 자료를 통한 장기하중감소 특성을 비교하여, 비교적 단기 데이터인 경과일 100일 부근 데이터로 전체 데이터의 경향을 예측할 수 있는지 평가하였다.
다음 Table 4는 전체 계측일자로 산출한 장기하중감소계수와 경과일 100일 부근 계측일자를 통해 산출한 장기하중감소 계수를 비교한 결과와 그 오차율을 나타내고 있다.
Table 4.
Comparison of analysis results and measuring efficiency
Table 4에 의하면 E현장 ①구역 앵커들 중 ④번 앵커를 제외한 모든 앵커에서 오차율 ±10%의 범위를 만족하였으며, ②구역의 경우 모든 앵커에서 ①구역보다 큰 오차율을 보였다. 따라서 결정계수가 1에 근접하여 실제 앵커 거동의 현실성을 대표할 수 있고, ±10% 이내의 오차율을 보여 전체 계측데이터로 분석한 결과와 100일 부근 데이터로 분석한 결과의 차이가 비교적 작게 발생한 ①구역의 앵커들은 100일 부근까지 측정된 데이터로 장기하중감소특성을 예측할 수 있을 것으로 판단되었다. 하지만 ②구역 앵커의 경우 ①구역에 비해 전반적으로 오차율이 크게 산출되었고, 평균 하중감소율도 0.96% 정도 더 낮게 평가되었다. 이는 Fig. 8∼Fig. 9에서 확인할 수 있듯이, ②구역 앵커들의 계측일 100일까지의 하중 감소가 ①구역 앵커들에 비해 매우 크게 발생하였기 때문으로 판단되었다. 이에, 단기하중감소가 크게 발생하면 예측결과의 정확성에 영향을 미칠 수 있기에, 예측 수행에 앞서 단기하중감소의 크기에 대한 고려가 필요할 것으로 판단되었다.
본 연구에서는 두 방법의 차이를 정량적으로 확인하기 위해 앵커의 공용연수인 30년(10000일)까지의 앵커의 거동을 도시하였으며, 이는 Fig. 16∼Fig. 17과 같다.
Fig. 16∼Fig. 17에 의하면 전체 계측데이터를 통해 30년경과 장기하중감소를 예측했을 경우 ①구역, ②구역 각각 초기하중 대비 20.04%, 28.76%의 하중감소가 발생하였으며, 경과일 100일 부근의 데이터로 30년경과 장기하중감소를 예측했을 경우 ①구역, ②구역 각각 초기하중 대비 21.12%, 25.04%의 하중감소가 발생하였다.
따라서 Table 4의 결과와 Fig. 16∼Fig. 17의 결과를 종합하면 100일 부근 단기 데이터로 장기하중감소를 예측하는 것은 단기하중감소 부분에서 큰 변동이 없는 경우에 전체 계측 데이터로 예측한 결과와 유사한 경향을 보임을 확인할 수 있었으며, 이는 장기 비탈면 안정 목적으로 설치된 영구앵커에 대해서 초기 계측값을 통한 장기거동 예측을 위한 참고자료로 활용될 수 있을 것으로 전망된다. 하지만 이에 대한 정확한 검증을 위해선 초기에 더 잦은 계측을 수행하여 데이터 표본을 많이 확보해야 할 것으로 판단된다.
5. 요약 및 결론
본 연구에서는 그라운드 앵커의 장기하중감소특성 및 시간경과에 따른 하중감소 경향을 파악하고자 현장 비탈면 그라운드 앵커로부터 수집한 하중계 계측자료를 분석하였다. 또한, 영구목적으로 설치된 앵커의 장기거동에 따른 하중감소 경향을 예측하고자 100일 부근의 단기 데이터를 통해 앵커의 장기거동을 평가하는 기법을 적용해보았으며, 연구 결과를 요악하면 다음과 같다.
(1) 국내·외 하중감소특성 관련 문헌연구 결과, 그라운드 앵커의 감소특성은 크게 단기하중감소특성과 장기하중감소특성으로 구분되며, 이는 실험적으로 구하기 매우 복잡하여 정량적인 기준 정립이 필요할 것으로 파악되었다.
(2) 과거 하중감소특성 분석사례를 검토한 결과, 앵커의 거동을 log-scale로 변환할 시 하중감소를 선형적으로 예측할 수 있는 것으로 파악되었으며, 대부분의 결과에서 시공초기로부터 경과일 50일∼70일 정도까지 급격한 하중감소가 발생하고 이후 수렴하는 경향을 보였다.
(3) 절토비탈면에 설치된 인장형 앵커 12개에 대한 하중계 계측 자료를 검토한 결과, 경과일 100일 부근까지 급격한 하중감소가 발생하고 이후 일정한 값으로 수렴하는 경향을 보였으며, 이에 대한 하중감소율을 파악하고자 과거 제시된 하중감소율 식을 적용한 결과, ①구역 6개 앵커의 평균 하중감소율은 5.01%, ②구역 6개 앵커의 평균 하중감소율은 7.19%로 산출되었다.
(4) 하중이 급격하게 감소한 100일 부근까지의 데이터로 장기하중 감소를 예측할 수 있는지 파악하고자, 100일 부근 데이터로 분석한 장기하중감소특성과 전체 계측데이터로 분석한 장기하중감소특성을 비교분석하였다. 그 결과, ①구역에서는 100일 부근 데이터로 분석한 결과에서 최대·최소 하중감소율, 평균 하중감소율 모두 전체 데이터로 분석한 결과와 큰 차이를 보이지 않았으나, ②구역에서는 다소 차이가 발생하였다.
(5) ②구역의 예측결과에서 오차가 많이 발생한 이유는 ②구역 앵커들의 계측일 100일까지의 하중 감소가 ①구역 앵커들에 비해 매우 크게 발생하였기 때문으로 판단되었으며, 단기하중감소가 크게 발생하면 예측결과의 정확성에 영향을 미칠 수 있기에, 예측 수행에 앞서 단기하중감소의 크기에 대한 고려가 필요할 것으로 판단되었다.
(6) 두 방법의 차이를 정량적으로 평가하고자 앵커의 공용연수인 30년까지의 하중 거동을 비교한 결과, 전체 계측데이터를 통해 예측했을 경우에는 ①구역, ②구역 각각 초기하중 대비 20.04%, 28.76%의 하중감소가 발생하였으며, 100일 부근 데이터로 예측했을 경우에는 각각 21.12%, 25.04%의 하중감소가 발생하였다.
(7) 100일 부근의 단기 데이터로 장기하중감소를 예측하는 것은 단기하중감소 부분에서 큰 변동이 없는 경우에 전체 계측 데이터로 예측한 결과와 유사하게 나타나는 것으로 확인되었으며, 이에 대한 정확한 검증을 위해서 설치 초기에 잦은 계측을 수행하여 데이터 표본을 다량 확보해야 할 것으로 판단된다.


















