1. 서 론
2. 양방향말뚝재하시험 결과 및 역해석
2.1 시험말뚝 및 지반조건
2.2 양방향말뚝재하시험의 개요
2.3 양방향말뚝재하시험의 결과
3. 양방향말뚝재하시험결과를 이용한 역해석
3.1 유한요소망과 경계조건
3.2 해석 수행 방법
3.3 해석 결과
4. 말뚝선단 하부의 지반조건에 따른 지지력 분석
4.1 해석 대상 말뚝 및 지반조건
4.2 수치해석 결과
4.3 수치해석에 의한 지지력 분석
5. 결론 및 제언
1. 서 론
국가 경제의 성장과 건설기술의 발전으로 초고층 빌딩 및 초장대 교량 등의 건설이 많이 이루어지고 있다. 토목 및 건축 구조물의 대형화로 구조물의 기초에 작용하는 하중이 증가하고 있으며, 이러한 대형 구조물의 기초로 대구경 현장타설말뚝 시공이 증가하고 있다. 현장타설말뚝은 대형 구조물의 큰 하중을 지지해야 하므로 큰 지지력을 얻기 위해 대부분 암반에 근입되어 설치된다. 암반에 근입된 현장타설말뚝에 대한 지지력은 극한선단지지력과 극한주면마찰력의 합으로 산정하며 허용응력설계법(ASD)으로 설계한다. 최근 사용한계상태와 극한한계상태를 모두 고려할 수 있는 하중저항계수설계법(LRFD)을 적용하여 설계를 하고 있는 추세이다.
최근 AASHTO(2010)에서 축하중을 받는 현장타설콘크리트말뚝의 저항계수를 제안하였다. 국내에서도 국내 지반특성 및 시공현황을 고려한 기초구조물의 하중저항계수설계법 개발 연구가 수행되었으며 현장타설콘크리트말뚝에 대한 지지력공식별 저항계수가 제안되었다(KGS, 2018).
현장타설말뚝의 극한지지력 산정연구들은 다음과 같다. 일본건축학회(2004)에서 제시한 사질토 및 점성토에서의 단위면적당 극한주면마찰력과 극한선단지지력은 표준관입시험의 N값을 이용하였다. 암반에 근입된 현장타설말뚝의 단위면적당 극한선단지지력은 Rowe and Armitage(1987), Zhang and Einstein(1998), CGS(2006) 등의 연구에서 암석의 일축압축강도를 이용하였다. 그리고 NAVFAC(1982), FHWA(1999), CGS(2006) 등의 연구에서 암석의 일축압축강도, 암반 굴착면의 거칠기에 따른 단위면적당 극한주면마찰력을 제안하였다.
현장타설말뚝의 지지력을 확인하기 위하여 일반적으로 수행하는 말뚝정재하시험은 가장 높은 신뢰성을 가지지만, 극한 지지력을 확인하기에는 재하용량이 부족한 경우가 흔하게 나타났다. 이러한 대형기초의 지지력을 확인하기 위해 오스터버그셀 시험(O-cell test)이 개발되었다(Osterberg, 1986). 국내에서는 수영3호교 건설현장에서 양방향말뚝재하시험(Bi-directional pile load test)이 최초로 적용되었다(Choi, 2002). 이 때 저압 단동식 재하장치(L-S BD cell; Low pressure, single-acting bi-directional loading cell)가 사용되었다. 또한 O-셀 시험 및 기존의 양방향말뚝시험을 더욱 개선하여 양방향 고압 복동식 재하장치(H-D BD cell; High pressure, double-acting bi-directional loading cell)를 사용하는 고유압 복동식 양방향말뚝재하시험방법(H-D BDPLT)으로 발전시켰으며(Choi, 2008), 2018년에는 관련 연구 논문(Choi et al., 2016)의 우수성을 인정받아 ASTM으로부터 ‘Award for Outstanding Article on the Practice of Geotechnical Testing’을 수상하였다. Leung and Shen(2003)은 동일 현장에서 정재하시험과 오스터버그셀 시험을 실시하여 하중 전달 메커니즘의 차이에 대한 연구를 진행하였다. Bui et al.(2005), Visensius and Paulus(2015)는 PALXIS를 이용하여 수치해석 연구를 진행하였다.
2000년대 이후 국내에서는 현장타설말뚝에 대하여 양방향말뚝재하시험을 실시하고 있으며 다양한 연구가 진행되었다. Jung et al.(2004), Lee et al.(2007), Kim et al.(2008), Park and Lim(2009)의 연구에서는 다양한 말뚝재하시험에 적용하였다. Kwon et al.(2006)은 등가하중-침하곡선을 작도 방법을 제시하였고, Choi(2008), Choi and Nam(2012), Choi et al.(2015)는 양방향 말뚝재하시험의 재하용량 기준을 제시하였다. Song et al.(2013)은 연암에서의 주면마찰력과 선단지지력 산정을 위한 경험식을 제안하였다.
본 연구에선 국내 해안지역에서 일반적으로 나타나는 깊은 연약층 하부의 모래층, 자갈층 등에 시험시공된 현장타설말뚝에서 실시된 양방향말뚝재하시험 결과를 역해석하고 다양한 말뚝선단 하부지반을 가정하여 수치해석을 실시하였다. 수치해석 결과를 하중-침하 곡선으로 분석하였다. 분석된 하중-침하곡선은 P-S 방법을 이용하여 지지력을 산정하였으며, 이때 항복하중에 대한 안전율은 2.0을 적용하여 허용지지력을 결정하였다. 그리고 최근 가장 합리적인 말뚝의 허용지지력 판정법으로 인정받고 있는 Davisson(1972)의 판정법으로 말뚝의 지지력을 분석하였고, 여기서 안전율 2.0을 적용하여 설계지지력을 결정하였다(KGS, 2018). 그리고 말뚝의 허용하중은 대부분 말뚝의 허용침하량에 의해 지배되므로(KGS, 2018) 허용침하량 25.4mm가 발생하는 두부하중을 분석하였다.
2. 양방향말뚝재하시험 결과 및 역해석
2.1 시험말뚝 및 지반조건
양방향말뚝재하시험은 OO대교의 현장타설말뚝에서 실시되었다(OO Geotechnical & Construction Eng, 2005). 지반의 탄성계수를 산정하기 위하여 공내재하시험이 진행되었다. 점성토에서 일축압축시험과 삼축압축시험이 실시되었다(Table 1, 2 참조). 양방향말뚝재하시험이 실시되는 위치에서 표준관입시험을 실시하였으며 지반조사 결과 N<10의 연약한 지층이 20m까지 분포되어 있는 것으로 나타났으며, 20m에서 39.5m까지 10<N<30의 지층이 분포하는 것으로 나타났다. 39.5m 이하의 지층에는 모래질 자갈, 풍화암이 분포하였으며, 모래질 자갈층에서는 굳은 실트질 점토층이 부분적으로 나타났고, 65m 이후부터 풍화암이 존재하였다(Fig. 1 참조).
Table 1.
Results of PMT
| Soil | Test depth (m) | Modulus of elasticity (MPa) | N value |
| Silty sand | 6.5 | 2.72 | 1 |
| 10.5 | 1.52 | 2 | |
| Silty clay | 13.5 | 0.97 | 0 |
| 12.5 | 0.86 | 0 |
Table 2.
Results of unconfined compression test and triaxial compression test
현장타설말뚝의 직경은 1.5m, 길이는 58.0m(근입길이 : 56.0m), 설계하중은 8.23MN이고, 선단 지반은 모래질 자갈층에 근입되었다.
2.2 양방향말뚝재하시험의 개요
양방향 말뚝재하시험(BDPLTs)에서는 특수하게 제작된 재하장치를 말뚝의 선단 혹은 중앙에 배치하여 말뚝의 시공 시 함께 매입하는데 하중재하 시 재하장치 상부 말뚝부분의 주면마찰력과 재하장치 하부 말뚝부분의 (주면마찰력+선단지지력)이 서로 반력으로 작용한다. 양방향말뚝재하시험의 기준은 KS F 7003 대구경 현장타설말뚝의 양방향 재하시험(KSA, 2016)과 ASTM D 8169M-18 Standard Test Method for Deep Foundations Under Bi-Directional Static Axial Compressive Load(ASTM, 2018)로 제정되어 있다. 2016년 국가기술표준원에서 대구경 현장타설말뚝의 양방향 재하시험에 대한 기준이 제정되기 전에는 ASTM D 1143 Standard Test Methods for Deep Foundations Under Static Axial Compressive Load(ASTM, 2013)과 KS F 2445 말뚝의 압축 정재하 시험방법(KSA, 2016)을 이용하여 시험을 실시하였다.
A 현장에 시공된 현장타설말뚝은 모래질 자갈층에 근입되어 주면마찰력에 비해 선단지지력이 상대적으로 약할 것으로 예측되었다. 양방향말뚝재하시험에서는 재하장치의 상부와 하부에서 발생되는 각각의 반력을 이용한다. A 현장은 양방향재하시험장치를 선단에 설치할 경우 선단부에서 항복 및 극한 상태가 먼저 발생하여 주면마찰력의 항복 및 극한 값을 측정할 수 없게 된다. 따라서 모래질 자갈층의 선단지지력을 확인하기 위하여 2단으로 양방향재하장치를 설치하였다. 선단지지력의 항복 및 극한을 확인하기 위하여 현장타설말뚝의 선단에 양방향말뚝재하장치(재하장치 1)를 설치하였다. 그리고 주면마찰력의 항복 및 극한 값을 확인하기 위하여 현장타설말뚝의 두부에서 약 43m 하부에 양방향말뚝재하장치(재하장치 2)를 설치하였다. OO대교의 현장타설말뚝시험 보고서(OO Geotechnical & Constrcution Eng, 2005)에 의하면 재하장치 2의 위치는 현장타설말뚝의 하부에서 상향으로 변위가 발생할 때의 마찰저항력인 상향마찰력과 이와 반대인 하향으로 변위가 발생할 때의 하향마찰저항력이 비슷한 크기의 위치를 검토하여 두부에서 약 43m 지점으로 결정되었다.
A 현장의 양방향말뚝재하시험은 Fig. 2와 같이 실시되었으며 시험의 단계는 다음과 같다.
(1) 두 개의 재하장치를 현장타설말뚝에 설치하였다(Fig. 2(a) 참조).
(2) 재하장치 1을 이용하여 시험(시험 1)을 실시하였다(Fig. 2(b) 참조).
(3) 재하장치 1을 이용한 시험이 완료된 후 재하장치 1을 복귀시켰다(Fig. 2(c) 참조).
(4) 재하장치 2를 이용하여 시험(시험 2)을 실시하였다(Fig. 2(d) 참조).
2.3 양방향말뚝재하시험의 결과
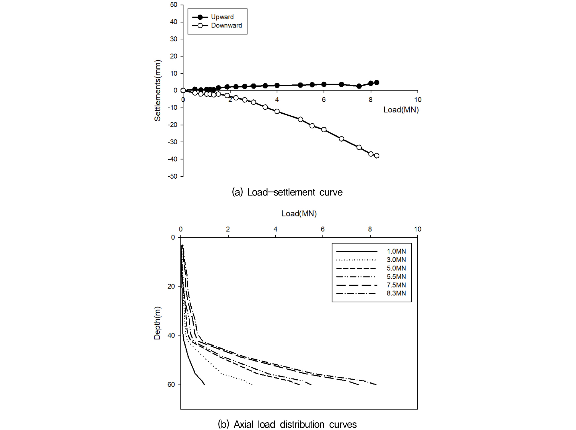
현장타설말뚝의 선단에 설치된 양방향재하장치(재하장치 1)를 이용한 재하하중-침하 곡선 및 축하중 분포도의 결과를 Fig. 3(a), (b)에 나타내었다. 시험 1의 최대 재하하중은 8.25MN이고 최대재하하중에서 상향변위는 4.7mm, 하향 변위는 38.0mm로 측정되었다. 최대재하하중에서 상향변위는 미미하였으며 Fig. 3(b)의 축하중분포도에서 볼 수 있듯이 약 41m이하의 지층에서 대부분의 하중을 지지하는 것으로 나타났다. 하향 변위는 38.0mm가 발생하여 25.4mm를 초과하였다. 25.4mm의 침하 시 하중은 6.36MN이었다.
현장타설말뚝의 43m 지점에 설치된 양방향재하장치(재하장치 2)를 이용한 재하하중-침하 곡선 및 축하중 분포도의 결과를 Fig. 4(a), (b)에 나타내었다. 시험 2의 최대 재하하중은 20.62MN이고 최대재하하중에서 상향변위는 57.7mm, 하향 변위는 13.7mm로 측정되었다. 상향 25.4mm 변위에서 하중은 20.20MN으로 나타났고, 하향변위는 최대재하하중 20.62MN에서 25.4mm보다 작은 변위가 발생하였다.
시험 1과 시험 2는 상당히 다른 양상을 보인다. 그러나 이는 재하장치의 위치에 따른 현상으로 같은 말뚝에서 재하장치의 위치에 따라 다른 방향으로 저항력이 발생하기 때문이다.
시험 1에서 재하장치 하부에서 많은 변위가 발생하고 재하장치 상부에서 작은 변위가 발생하였다. 그러나 시험 2에서는 시험 1과 달리 재하장치 하부에서 작은 변위가 발생하고 재하장치 상부에서 많은 변위가 발생한다. 이는 Fig. 5(a)와 같이 43m 하부의 지층은 시험 1에서 상향의 하중 의한 저항력으로 작용하지만 시험 2에서는 Fig. 5(b)와 같이 하향의 하중에 의한 저항력으로 작용하게 된다. 그리고 43m 지점에서 실시한 시험 2는 시험 1과 달리 주면의 길이가 감소되므로 저항력이 감소되었다. 이러한 이유로 시험 1과 시험 2의 하중-침하의 경향이 다르게 나타났다.
두 번의 시험 결과를 이용하여 등가하중-침하 곡선을 작도하였다. 등가하중 작도를 위한 메커니즘을 Fig. 6에 나타내었다. 시험 1에서 선단지지력을 측정하고 시험 2에서 상단부와 하단부의 주면마찰력을 측정하여 전체지지력에 대한 등가하중-침하 곡선을 Fig. 7에 작도하였다. Fig. 7의 등가하중-침하 곡선에는 말뚝의 압축을 고려하지 않은 것과 고려한 것을 함께 나타내었다. 말뚝의 압축을 고려하지 않은 등가하중-침하 곡선은 침하량 13.7mm 이상에서 급격한 침하가 발생하였다. 이는 시험 2에서 하향하중에서 최대 재하하중에서 침하량이 13.7mm이므로 13.7mm 이상의 침하에서는 하향하중(LSS) 증가가 없는 것으로 가정하여 작도되었기 때문이다. 13.7mm의 침하가 발생한 하중이 42.00MN이므로 말뚝의 압축을 고려한 등가하중-침하 곡선도 42.00MN에서 급격한 침하가 발생하였다. 이에 시험에서의 항복지지력은 42.00MN이고 허용지지력은 21.00MN으로 나타났다.

Fig. 6
Procedures for pile load–head settlement evaluation using the elastic method (Lee and Park, 2008)
3. 양방향말뚝재하시험결과를 이용한 역해석
3.1 유한요소망과 경계조건
양방향말뚝재하시험 결과의 역해석은 유한요소해석 프로그램인 ABAQUS/CAE(SIMULIA, 2014)의 표준(Standard) 모듈을 이용하였다. 말뚝과 지반의 모델링은 Fig. 8(a)와 같이 4분의 1 단면으로 수행하여 축대칭 조건에서 실시되었으며, Fig. 8(b)에 말뚝과 지반의 요소와 경계조건을 나타내었다. Fig. 8(b)의 요소는 기초 주변지반에서부터 멀어질수록 크기를 증가시켜 해석의 정확성을 높였다. 양방향말뚝재하장치는 요소로 설정하지 않았으며 재하장치 1 위치에서 말뚝을 나누어 상부 말뚝과 하부 말뚝으로 모델링하였다.
해석은 지압(Geostatic) 단계에서 중력에 의한 초기 지반응력을 구현하였다. 그리고 말뚝과 지반사이는 마찰이 존재하지 않는 조건과 마찰이 작용하는 조건의 두 가지를 적용하였다. 모든 경우에 수직방향에는 기초와 지반요소가 접한 경우에만 하중이 전달되는 강성 접촉(Hard contact)을 적용하였고, 전단방향은 비선형 탄성 모델인 쿨롱마찰모델(Coulomb friction model)을 사용하였다. 임계 마찰응력(τcr)은 접촉 압력(p)에 좌우되고(τcr=μp), 마찰계수 μ는 상대적인 미끌림 속도, 압력, 온도, 필드 변수 등의 함수이다. 기본설정 마찰 모델은 이상적인 거동의 근사치를 사용한다(SIMULIA, 2014).
말뚝과 지반 모두 8개의 절점과 감소된 적분점(integration point)을 가지고 있는 C3D8R요소를 이용하여 해석하였다.
지층은 실트질 모래, 모래질 실트, 실트질 점토와 모래질 자갈, 풍화암으로 구성되었고 Fig. 1에 의거하여 해석지반의 지층을 모델링 하였으며, 역해석에 사용한 지반물성은 Table 3과 같다. Table 3의 지반 물성값은 Das(1984), Bowles(1996)와 표준관입시험결과를 이용하여 추정값을 사용하였다. 역해석 결과와 양방향말뚝재하시험 결과를 Fig. 9에 도시하였다.
Table 3.
Geotechnical properties used for numerical analysis
3.2 해석 수행 방법
수치해석은 3단계로 나누어 진행하였다. 1단계에서는 현장타설말뚝의 선단에서 말뚝 방향과 선단지반방향으로 하중을 재하하여 상향으로 말뚝의 변위와 하향으로 지반의 변위를 확인하였다. 2단계에서는 1단계에서 재하된 하중을 제하하는 단계를 실시하였다. 3단계는 두부에서 43m위치의 상부말뚝 방향과 하부말뚝 방향으로 하중을 재하하여 상·하부말뚝의 변위를 확인하였다. 역해석의 모델을 이용하여 말뚝 두부에서 하중을 재하하였으며 말뚝두부 변위를 확인하였다.
3.3 해석 결과
양방향말뚝재하시험 해석 결과를 Fig. 9에 나타내었다. 양방향말뚝재하시험은 시험 1과 시험 2로 구분하였고, 하중-침하 곡선과 축하중분포도는 시험과 해석의 결과를 비교하여 나타내었다. 수치해석의 하중-침하곡선과 축하중분포도는 많은 시행착오를 통하여 재하시험 결과와 잘 적합되었다. 이에 수치해석 결과에 대한 신뢰성을 확보하였다고 판단되었다. 역해석 모델을 이용하여 말뚝 두부에서 하중을 재하하였다. Fig. 10에는 수치해석 결과와 양방향말뚝재하시험으로 구한 말뚝 압축을 고려한 등가하중-침하 곡선을 함께 나타내었다. P-S방법, Davisson방법으로 분석하였을 때 항복지지력이 각각 47.04MN, 73.07MN으로 확인되었고, 안전율 2.0을 적용한 허용지지력은 각각 23.52MN, 36.54MN으로 나타났다. 그리고 허용침하량 25.4mm에서의 허용지지력은 28.11MN으로 나타났다. 3가지 방법에 의한 최소 허용지지력은 23.52MN이었다. 이때, 선단지지력과 주면마찰력은 각각 1.46MN, 22.06MN이었다(Table 4 참조).
Table 4.
Allowable bearing capacity in numerical analysis
| P-S method | Davisson’ method | 25.4mm settlement | |
| Allowable bearing capacity (MN) | 23.52 | 36.54 | 28.11 |
| Shaft resistance (MN) | 1.46 | 2.70 | 1.82 |
| Base resistance (MN) | 22.06 | 33.84 | 26.29 |
시험 등가하중-침하 곡선의 항복지지력(42.00MN)보다 수치해석에서 높은 항복지지력(47.04MN)이 나타났다. 이는 시험 등가하중-침하 곡선의 42.00MN 이후 하중에는 시험 2의 하향하중이 항복한 것으로 가정된 등가하중-침하 곡선이기 때문이다.
4. 말뚝선단 하부의 지반조건에 따른 지지력 분석
4.1 해석 대상 말뚝 및 지반조건
해석 대상 말뚝은 Fig. 1의 현장타설말뚝과 같은 직경, 근입깊이로 계획하였으며 주변 지반에 대한 조건은 Table 3을 이용하였다. 말뚝 선단 아래 지층의 지반조건을 다양하게 설정하였다. 말뚝 선단 하부의 지반 조건은 8가지로 설정하였다. A현장의 지층인 실트질 점토, 실트질 모래, 모래질 실트, 모래질 자갈, 풍화암, 연암의 조건을 사용하였다. 그리고 선단의 지지력이 없는 상태에서의 지지력을 비교하기 위하여 말뚝 선단에서 100mm까지를 비어있는 것으로 설정하였다(Fig. 11 참조). 본 연구의 상부 지반이 말뚝 선단 하부의 지반에 존재하는 것으로 가정하여 해석을 실시하였다. 그리고 연암의 물성치는 Bowles(1996), Seo et al.(2016)을 참고하였으며, 이를 Table 5에 나타내었다.
Table 5.
Geotechnical properties of pile tip layer used for numerical analysis
4.2 수치해석 결과
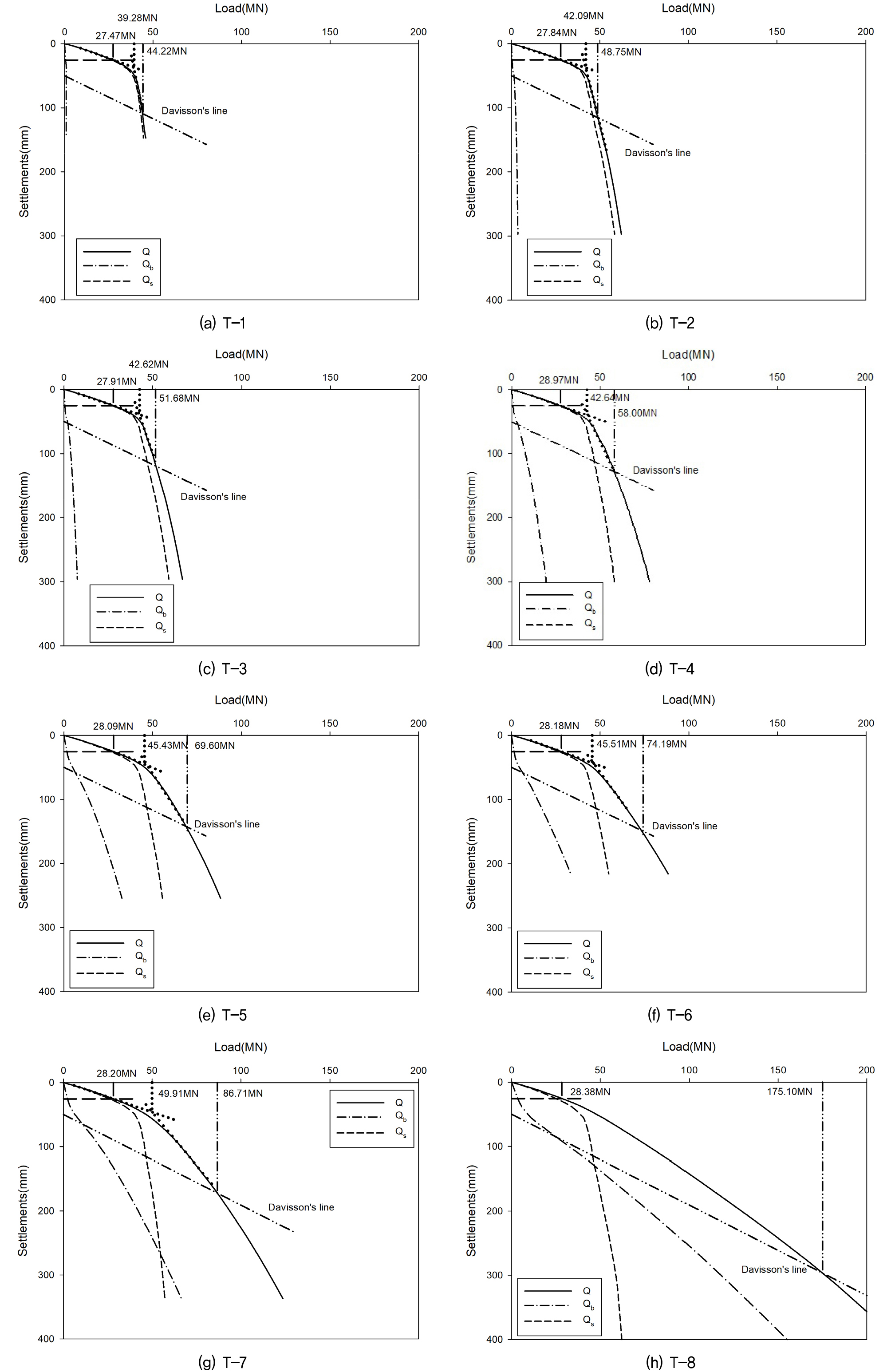
8가지 상이한 말뚝 선단 하부의 지반 조건에 대하여 수치해석을 실시하였으며 Fig. 12에 각각의 하중-침하 곡선을 도시하였다. 이때, 말뚝선단에서의 응력을 분석하여 선단하중을 계산하고 Fig. 12에 선단지지하중과 주면마찰하중도 함께 도시하였다. 그리고 P-S 방법, Davisson 방법으로 분석하여 Fig. 12에 함께 도시하였으며, 25.4mm 침하량에서의 두부하중도 함께 나타내었다.
수치해석 자료를 통하여 말뚝의 각 지점에 따른 응력을 분석하여 축하중분포도를 Fig. 13에 나타내었다.
8가지 사례 중 T-1은 말뚝 선단의 하부 지반이 100mm 빈 형태의 모델로서 이론적으로 선단지지하중이 0.00MN이어야 한다. 그러나 해석 결과 0.93MN의 선단지지하중이 발생하는 것으로 나타났다. 이는 말뚝선단의 윤변과 주변지반 사이에서 발생된 마찰응력이 말뚝의 선단부에 영향을 미쳐 부분적으로 말뚝 선단부에 미소한 응력이 발생하는 것으로 확인되었다(Fig. 14 참조).
4.3 수치해석에 의한 지지력 분석
4.3.1 말뚝 선단의 지반조건에 따른 항복지지력 분석
Fig. 10의 8가지 하중-침하 곡선들을 분석하여 P-S 방법과 Davisson 방법으로 항복지지력을 산정하고 Table 6에 정리하였다.
Table 6.
Yield capacity in numerical analysis
Note : Qy,P = Yield capacity by P-S method, Qb,y,P : Base resistance of yield capacity by P-S method, Qs,y,P : Shaft resistance of yield capacity by P-S method, Qy,D = Yield capacity by Davisson method, Qb,y,D : Base resistance of yield capacity by Davisson method, Qs,y,D : Shaft resistance of yield capacity by Davisson method
P-S 방법에 의한 항복지지력은 T-1 ~ T-7에서 39.28MN ~ 49.91MN으로 나타났으며, 선단지반이 연암인 T-8에서는 뚜렷한 항복지지력이 나타나지 않았으므로 49.91MN(↑)으로 표기하였다. 연약한 실트질 점토 선단지반 사례(T-2)와 풍화암 선단지반 사례(T-7)의 항복지지력의 차이는 7.82MN으로 나타났다.
P-S 방법에 의한 항복지지력단계에서 선단지지력과 주면마찰력의 하중분담율을 분석하였다. 두부재하하중의 2% ~ 15%를 선단지지력이 분담하며, 주면마찰력이 두부하중의 85% ~ 98%를 분담하는 것으로 나타났다. 연암의 경우 항복지지력을 확인할 수 없어 분석에서 제외하였다.
Davisson 방법에 의한 항복지지력은 T-1 ~ T-8에서 44.22MN ~ 175.10MN으로 나타났다. 각 사례의 항복지지력단계에서 선단지지력과 주면마찰력의 하중분담율을 분석하였다. 선단지반의 종류에 따라 두부하중의 2% ~ 67%를 선단지지력이 분담하는 것으로 나타났으며, 주면마찰력이 두부하중의 33% ~ 98%를 분담하는 것으로 나타났다. 선단지반의 강도가 강할수록 Davisson 방법에서는 선단에서의 하중분담율이 커지는 것으로 나타났다.
4.3.2 말뚝 선단의 지반조건에 따른 허용지지력 분석
P-S 방법과 Davisson 방법에 의한 항복지지력에 안전율 2.0을 적용하여 허용지지력을 산정하였으며 허용침하량 25.4mm에서의 허용지지력을 분석하여 Table 7에 함께 나타내었다. 선단이 연암인 지층은 P-S 방법으로 항복지지력을 확인할 수 없는 것으로 나타나 허용지지력을 산정할 수 없어 분석에서 제외하였다.
Table 7.
Allowable bearing capacity in numerical analysis
P-S 방법에서의 허용지지력은 19.64MN ~ 24.96MN이상으로 나타났다. Davisson 방법에서는 22.11MN ~ 87.55MN으로 T-1과 T-8의 차이는 65.44MN으로 큰 차이가 있는 것으로 나타났다. 그리고 허용침하량 25.4mm 방법에서의 허용지지력은 T-1 ~ T-8의 사례에서 거의 유사한 결과가 나타났으며 허용지지력은 27.47MN ~ 28.37MN으로 최대 0.90MN의 차이만 나타났다.
일반적으로 안전측 분석을 위하여 분석 방법 중 가장 작은 허용지지력으로 결정한다. 8개의 다양한 선단지반에 대한 수치해석에서 T-1 ~ T-7은 P-S방법에서 허용지지력이 가장 작게 나타났다. 이를 Fig. 13에 분석 방법에 따른 최소 허용지지력을 도시하였으며, T-8의 허용지지력은 P-S 방법에서는 분석되지 않았으나 24.96MN이상으로 예측되어 Fig. 15에 24.96MN으로 함께 도시하였다. Table 5와 Fig. 15에 따르면 선단 지반의 강도가 클수록 허용지지력이 증가하는 것으로 나타났다. 그러나 해석사례 중 최대 허용지지력(T-7과 T-8)과 최소 허용지지력(T-1) 차이는 5.32MN이므로 선단지반에 의한 허용지지력의 증가량이 27%에 불과하였다. 그리고 선단이 약한 점토질 실트(T-2)와 풍화암(T-7)에서의 허용지지력 차이는 3.91MN이었으며 증가량은 18%에 불과하였다.
4.3.3 선단 지반에 따른 하중분담율 분석
3가지 분석 방법에서 허용지지력은 P-S 방법에 의하여 결정되었다. P-S 방법으로 산정된 허용지지력단계에서 선단지지력과 주면마찰력의 분담율을 산정하여 Table 8에 정리하였다.
Table 8.
Allowable bearing capacity of numerical analysis
대부분의 해석 결과에서 주면마찰력이 허용지지력의 90% 이상을 분담하고 선단지지력이 10% 미만을 분담하는 것으로 났다. 해석 결과중 선단지반이 연암인 사례의 경우 선단지지력이 12%를 분담하며 주면마찰력이 88%를 분담하는 것으로 나타났다.
본 사례에서와 같이 말뚝의 길이가 긴 대구경현장타설말뚝은 주면마찰력이 많이 발현되는 것으로 나타났다. 그리고 선단지지층의 강도가 허용지지력에 미치는 영향은 미미한 것으로 나타났으며 이는 대부분의 하중을 주면마찰력이 분담하기 때문인 것으로 판단되었다.
5. 결론 및 제언
국내 해안지역의 일반적인 지반조건을 가진 A현장에 시공된 현장타설말뚝에서 실시된 양방향말뚝재하시험 자료를 역해석하였다. 역해석된 자료에 기초하여 현장타설말뚝에서 두부재하에 대한 수치해석을 실시하였다. 그리고 말뚝 선단 하부의 다양한 지반조건에 따른 말뚝의 거동을 수치해석하고 분석하였으며, 다음과 같은 결론을 얻을 수 있었다.
(1) 수치해석 방법을 이용하여 8가지 말뚝 선단 하부의 지반 조건에 대하여 해석하였다. 그리고 허용지지력을 3가지의 방법으로 분석하였다. P-S 방법에서는 19.64MN ~ 24.96MN 이상으로 나타났으며, Davisson 방법에서는 22.11MN ~ 87.55MN로 나타났다. 그리고 허용침하량 25.4mm기준에서는 27.47MN ~ 28.37MN으로 분석되었다. 3가지 방법으로 분석한 안전측의 허용지지력은 P-S 방법의 19.64MN ~ 28.37MN으로 나타났다. P-S 방법의 허용지지력에서 선단지지력은 두부재하하중의 2% ~ 12%를 분담하였으며, 주면마찰하중은 두부재하하중의 88% ~ 98%를 분담하였다. 즉 주면마찰력이 두부하중의 대부분을 지지하는 것으로 나타났다.
(2) 8가지 사례에 대한 수치해석에서 최소 허용지지력은 19.64MN ~ 24.96MN 이상으로 나타났으며 선단지반의 강도가 강할수록 허용지지력이 증가하고 나타났다. 하지만 선단이 약한 점토질 실트(T-2)와 풍화암(T-7)에서의 허용지지력 차이는 3.91MN에 불과하였다.
(3) 8가지 사례에 대한 수치해석 결과 대심도의 현장타설말뚝에서 높은 주면마찰력이 발현되는 것을 확인하였다. 주면마찰력의 정확한 평가는 현장타설말뚝의 근입 길이 결정에 중요한 역할을 할 것으로 판단되었다.
(4) 본 사례의 현장타설말뚝 설계하중은 8.23MN이었고 양방향말뚝재하시험 결과 지반의 허용지지력은 21.00MN으로 나타났다. 따라서 모래자갈층에 시공된 현장타설말뚝은 안전할 것으로 평가되었다. 그러나 지반의 허용지지력은 설계하중 보다 매우 높은 수준으로 나타나 과설계된 것으로 판단되었다.
(5) 양방향말뚝재하시험을 역해석한 자료를 바탕을 두부재하하중-침하 곡선과 축하중분포도를 작도하였다. 두부재하하중-침하 곡선을 P-S 방법, Davisson 방법, 25.4mm 허용침하량 방법으로 분석하여 허용지지력을 산정하였다. 허용지지력은 3가지 방법에서 각각 23.52MN, 36.54MN, 28.11MN이었으며, 허용지지력 단계에서 두부재하하중의 93%를 주면마찰력이 분담하는 것으로 분석되었다.
















