1. 서 론
2. 문헌 연구
2.1 마이크로파일의 설치 간격
2.2 마이크로파일의 연구사례
3. 모형시험
3.1 모형시험기
3.2 모형 마이크로파일
3.3 모형조성 및 시험조건
4. 파일의 거동 및 지지력
4.1 수평 거동특성
4.2 파일의 수평 지지력
5. 결과 및 분석
5.1 파일의 설치 간격에 따른 간섭 효과
5.2 파일의 설치 각도에 따른 지지력 증가 효과
5.3 지반/파일의 파괴 거동을 통한 효과분석
6. 결 론
1. 서 론
일반적으로 연직하중에 저항하는 경우 연직 방향의 파일설치가 효과적이나, 수평 하중에 저항하는 경우 연직 파일보다는 경사 파일의 설치가 효과적이다(Bowles, 1996). 그러나 중 구경(통상 직경 500mm 내외) 이상의 파일은 파일의 설치 장비 중량이 커 장비의 전도에 대한 문제가 있어 경사 파일을 설치하기 쉽지 않으며, 이 때문에 현장에서는 연직 파일로 설치함이 일반적이다. 이에 비해 소형파일의 설치 장비를 활용하는 직경 300mm이하인 마이크로파일은 설치 장비의 중량이 작아 장비 전도의 위험성이 크지 않으므로, 경사 마이크로파일(Bettered micropile)로 설치하는 데 문제가 없다. 이 같은 파일 시공의 장점 때문에 Fig. 1에 보인 바와 같이 구조물의 지지 또는 사면 보강을 위해 교차 또는 비교차 파일설치(Overlap installation or Not cross installation)가 가능하며, 수평 하중에 대한 저항성을 확보한 목적으로 활용되고 있다.
그럼에도 대부분의 국내 현장에서는 설계 시 마이크로파일이 소구경 파일임을 고려해 수평지지력이 없는 것으로 간주하여 수직 하중에 대한 저항성 확보를 위한 방안으로만 강구되었고, 이 때문에 마이크로파일에 대한 설치가 대부분 연직 설치조건이다. 또한 마이크로파일의 활용증가로 관련 연구가 활발하게 진행되어 왔으나(Lee and Im, 2006; Tsukada et al., 2006; Hwang et al., 2012; etc.), 기존 연구의 대부분이 수직 하중에 대한 파일의 저항성 평가 또는 설치방법 제안 등에 국한되었다.
FHWA(2005), Oh et al.(2015)의 연구결과를 통해 알 수 있듯이 수평 하중에 대한 마이크로파일의 수평 지지력이 설치 길이, 각도 등의 파일 설치조건에 좌우되고, 수평 하중에 대한 파일의 저항성은 파일 길이에 따라 파일의 설치 각도를 달리 적용해야 한다. 또한 마이크로파일은 Fig. 1과 같이 일반적으로 무리 말뚝 형태로 설치되며, 이 경우 마이크로파일의 수평 지지력에 영향을 끼치는 요인은 파일의 간섭 효과와 관계된 파일의 설치 간격이다. 만약 기존 연구결과를 적용한 경우 마이크로파일의 설치 길이, 각도뿐만 아니라 간섭 효과와 관계된 간격 간섭 효과에 따라 파일의 수평 지지특성이 상이 할 수 있으므로, 따라서 좀 더 다양한 설치조건에 대한 마이크로파일의 수평 지지력 연구가 요구될 것이다.
이에 본 연구에서는 파일의 직경과 길이(Diameter, d and length, L), 설치 각도(Installation angle, θ), 간격(Installation space, s)에 따른 복열 마이크로파일의 거동 및 지지특성을 평가하고자 설치조건을 달리한 단열(1-row)과 복열(2-row) 마이크로파일에 대한 모형시험을 수행하였다. 시험결과, 복열로 설치된 각도 θ ≥ 0°인 마이크로파일의 수평 지지력은 설치 간격에, θ < 0°인 경우의 수평 지지력은 설치 각도와 간격에 크게 좌우되는 것으로 평가되었다.
2. 문헌 연구
2.1 마이크로파일의 설치 간격
마이크로파일의 설치 간격은 파일 머리의 작용 방향과 매우 밀접한 관계가 있다. 연직하중에 저항하도록 설치하는 경우 마이크로파일은 소구경 현장타설 콘크리트말뚝에 해당하므로 통상 파일 직경의 2.5배 이상(통상 3.0d 적용; FHWA, 2005; KGS, 2015)을 적용한다. 또한 FHWA(2005)는 Fig. 2에 보인 바와 같이 수평 하중의 직각 방향(Row 방향)에 파일이 설치된 경우 마이크로파일의 설치 간격은 3d 이상(s ≥ 3d)을 적용하나, 수평 하중의 작용 방향(Column 방향)에 설치 간격은 7d 이상(s ≥ 7d)을 적용해야 파일의 간섭 효과에 영향을 받지 않음을 제안한 바 있다.
그러나 FHWA(2005)에서 제안한 설치 간격도 연직 마이크로파일인 조건에 해당하는 것으로 판단된다(기존 파일의 설치 간격과 동일). 앞 절에 언급한 바와 같이 마이크로파일은 경사지게 설치함에 제약조건이 없다. 무리 말뚝 형태로 경사지게 설치된 경우 마이크로파일의 설치형태는 Fig. 3에 보인 바와 같이 교차 설치(Overlap installation, θ < 0°) 또는 비교차 설치(Not cross installation, θ > 0°) 그리고 연직 설치(Vertical installation, θ = 0°)인 경우를 고려해볼 수 있다. 즉 설치 각도에 따라 수평 하중에 저항하는 파일 간의 간섭 효과가 달라질 수 있음을 의미한다. 따라서 기존의 제안된 마이크로파일 설치 간격은 제한적일 수 있으며, 이에 마이크로파일의 효과적인 설치를 위해서는 좀 더 다양한 연구가 요구될 것으로 판단된다.
2.2 마이크로파일의 연구사례
마이크로파일 공법은 주로 구조물 기초의 지지 또는 침하억제 등을 위한 목적으로 활용되어왔으며, 구조물의 내진 성능 보강에도 많이 활용되고 있다. 최근 마이크로파일의 활용증가로 마이크로파일의 지지특성 및 설치방법에 관한 연구가 수치해석, 모형시험 등을 통해 진행되어왔다. 그러나 수행되어왔던 기존 연구는 연직하중에 대한 마이크로파일 또는 마이크로파일-전면기초(Micropiled raft)에 관한 지지특성과 설치조건에 관한 것이다(Tsukada et al., 2006; Kyung et al., 2013; Han and Jang, 2016; Hwang et al., 2017; Hwang et al., 2018; etc.). 이에 비해 마이크로파일의 수평 거동과 지지특성에 관한 연구가 미비한 실정이며, 몇몇 연구자들에 의해서만 수행되었다.
Oh et al.(2015)는 모형시험을 통해 파일의 설치조건에 따른 단열로 설치된 마이크로파일의 수평 거동과 지지특성을 평가한 바 있다. 연구결과로부터 마이크로파일의 수평 지지특성이 파일길이비(Length ratio of pile, L/d)에 좌우되고, 파일길이비가 큰 경우 지반에서 마이크로파일이 인장파일 거동, 파일길이비가 작은 경우 압축파일 거동이 발생하도록 경사지게 설치함이 파일의 수평 지지력 증가에 효과적임을 보인 바 있다. Kim et al.(2020)은 강봉인 주 기둥(수직설치)과 보조 기둥(경사 설치)이 결합한 우산형 마이크로파일에 대한 지진 시 수평 거동특성을 평가하고자 수치해석을 수행하였고, 연구결과를 통해 보조 기둥을 수직으로 설치한 경우보다 경사지게 설치한 경우 수평 변위의 억제 효과가 향상됨을 보인 바 있다. 이 같은 연구결과는 마이크로파일의 수평 지지력을 증가시키기 위해서는 파일의 설치조건에 크게 좌우됨을 보여준다.
그러나 이들 기존연구는 무리 말뚝 설치 시 중요한 고려사항 중 하나인 파일 간의 간격에 대해 고려되지 않은 문제가 있다. 수평 하중에 저항하는 경우 Fig. 2에 보인 바와 같이 하중작용 방향과 파일의 위치에 따라 간섭 효과는 크게 달라진다. 또한 Oh et al.(2015)의 연구조건과 같이 파일길이비, 설치 각도 등을 적용하면, 복열로 마이크로파일을 설치할 경우 교차 또는 비교차 설치조건이 되므로(Fig. 3), 파일 간의 간섭 효과도 파일의 설치 각도와 간격에 좌우될 수 있다. 따라서 수평 하중에 효과적인 마이크로파일의 수평 지지력 증가를 위해서는 좀 더 다양한 설치조건을 고려한 연구가 요구될 것으로 판단된다.
3. 모형시험
3.1 모형시험기
Fig. 4는 본 연구를 위해 제작된 모형시험기를 보인 것이다. 모형시험기는 Fig. 4(a)에 보인 바와 같이 크게 강사 장치(Soil rainer), 토조(Soil box), 하중재하 장치(Loading device)로 구성되어 있으며, 구성장치들 외에 강사 장치의 자동제어가 가능하도록 제어장치가 별도로 설치되어 있다. 이 제어장치는 토조 내 조성지반의 밀도를 결정짓는 강사 장치의 이동속도(좌우 운행)와 강사 높이를 일정하게 유지하는 데 활용된다. 이같이 제작한 시험기의 실제 모습은 Fig. 4(b)와 같다. 토조의 벽은 Fig. 4(c)에 보인 바와 같이 시험 시 지반 거동을 육안으로 관찰할 수 있도록 두께 20mm인 아크릴판으로 제작하였다. 또한 토조 벽의 파손을 방지하기 위해 아크릴판 외부에는 철로 제작된 외부프레임으로 보강하였다. 이같이 제작한 토조의 내부크기는 500×1200×800(폭×길이×높이, mm)이다.
Fig. 5는 모형시험기에 설치된 수평 하중재하 장치의 구조를 보인 것이다. 수평 하중재하 장치는 Fig. 5(a)에 보인 바와 같이 크게 고정 장치(Locking device)와 재하 장치(Loading device)로 구분할 수 있다. 토조 내의 지반에 설치된 모형파일의 두부가 고정된 상태에서 집중하중을 가할 수 있도록 고정 장치에는 철로 제작된 역 L형의 파일 두부의 고정 장치(Locking device of pile head)를 설치되어 있다. 또한 수평 하중을 가하는 동안 토조의 프레임과의 마찰을 최소화하기 위해 고정 장치의 외부프레임에는 바퀴(Wheel)을 설치하였다. 이 장치의 크기는 600(내부 500)×800(폭×길이, mm) 이다. 고정 장치와 강봉(Steel bar)로 연결된 재하 장치는 유압식 가압장치와 로드 셀(Load cell)이 연결되어 있어 하중을 가함과 동시에 단계별로 하중을 측정할 수 있도록 제작되었다.
Fig. 6은 모형시험시 토조 내 조성된 지반에 설치된 모형파일의 두부에 수평 하중을 가하는 과정을 보인 것이다. Fig. 6(a)에 보인 바와 같이 가압장치로부터 전달된 수평 하중이 모형파일에 균등하게 가해지도록 모형파일의 두부는 파일 두부의 고정 장치와 접촉되어 있음을 알 수 있다. 즉 가압장치에 의해 발생한 수평 하중을 가하면 설치된 모형파일의 두부에 수평 하중이 작용하게 된다. 시험시 수평 하중 재하방식은 변형률 제어방식으로, 시험시 재하속도(v)는 분당 파일 직경의 1%에 해당하는 속도(v = 1%·d/min)이다. 모형파일에 수평 하중을 가하는 실제 모습은 Fig. 6(b)와 같다.
3.2 모형 마이크로파일
Fig. 7은 모형 마이크로파일의 구조를 보인 것으로, 모형시험을 수행하기 위해서는 원형 체의 거동을 모사할 수 있도록 특성에 맞는 축소율이 적용되어야 한다. 수평 하중을 받는 파일은 파일 체의 휨 강성과 밀접한 관계가 있으며, 강성조건에 따라 파일의 거동특성이 달라진다. 따라서 본 연구에서는 모형파일의 제작을 위해 휨 강성에 대한 축소율을 고려하였고, 축소율에 대한 산정은 다음과 같다(Iai, 1989; Iai et al., 2005).
여기서, λL은 길이에 대한 축소율(= Lpro./Lmod., Iai, 1989; Iai et al., 2005), EIpro.은 원형 체에 대한 휨 강성이고, EImod.은 모형 체에 대한 휨 강성을 말한다.
모형파일 제작시 고려한 원형 마이크로파일은 현장에서 가장 많이 활용되는 직경 200mm(강봉 65mm)인 마이크로파일이고, 모형시험기의 크기를 고려해 적용된 축소율 1/35이다. Eq. (1)을 통해 재질이 철인 경우 요구되는 모형파일의 직경은 약 5mm(=5.21mm)이었다. 원형 마이크로파일의 하중 전이 특성을 고려하여 모형파일을 제작해 모형시험을 수행한 Tsukada et al.(2006), Hwang et al.(2010; 2012), Oh et al.(2015)와 같이 그라우트 효과를 모사하기 위해 모형파일의 주면에 모래를 부착하였다.
3.3 모형조성 및 시험조건
본 연구에서 활용한 모래는 주문진 표준사이다. Fig. 8은 본 연구에서 활용한 모래의 물리적 특성과 입도 분포를 보인 것으로, 모래의 물리적 특성과 입도 분포 곡선은 입도분석, 비중, 최대・최소 간극비 시험, 단순 전단시험 등 기본 물성시험과 전단시험을 통해 구한 결과이다. 모래의 강도와 관계되는 평균 입경(d50)은 0.55mm이었으며, 지반의 상대밀도와 관계되는 최소, 최대 간극비는 각각 0.65, 0.87인 것으로 조사되었다.
Fig. 9는 모형지반 조성 및 모형파일을 설치하는 과정을 보인 것이다. 토조 내 지반의 조성은 Fig. 9에 보인 바와 같이 우선 일정한 두께의 지반을 조성한 후 제작한 파일을 설치하고(STEP 1 and 2), 다시 일정한 높이에서 흙을 강사하는 순(STEP 3)으로 진행하였다(조성시 강사높이=60cm). 흙의 강사는 Fig. 4(a)에 보인 강사 장치와 제어장치를 활용해 일정한 이동속도와 일정 높이를 유지한 상태에서 진행하였다.
조성된 지반의 밀도에 따라 마이크로파일과 지반의 상호거동은 달라지므로, 조성지반의 상대밀도에 대한 조사가 요구된다. 이에 본 연구에서는 조성지반의 측정하기 위해 아크릴로 제작된 캔(Relative density apparatus, 5EA)을 조성지반 내에 설치하였으며, 설치된 캔을 통해 조사된 지반의 상대밀도는 약 58±3%이었다. 모형시험을 통한 수평 하중을 받는 복열 마이크로파일의 거동을 조사하는 방안으로, 육안관찰이 가능하도록 토조의 벽을 아크릴판으로 제작하였다. 그러나 지반조성 시 강사 시킨 흙은 같은 색으로 조성되므로, 수평 하중이 작용하는 경우의 마이크로파일과 지반의 변형을 관측하기가 쉽지 않다. 이 같은 문제를 해결하기 위해 지반을 조성하는 동안 Fig. 9에 보인 바와 같이 일정한 간격(5cm)으로 두께 1cm 정도의 얇은 검정 모래층을 형성시켰다(STEP 4).
Fig. 10은 시험 전, 후의 복열로 설치한 모형파일 모습을 보인 것이다. 시험 전, 후 파일의 모습을 보면 Fig. 10(a)에 보인 바와 같이 조성된 지반에 일정 간격으로 설치된 모습을 볼 수 있으며, 하중재하 후에는 Fig. 10(b)와 같이 파일이 일정하게 기울어져 있음을 알 수 있다. 이 시험 후 파일의 변형상태는 수평 하중을 가하는 동안 복열로 설치된 모형파일들이 하중에 균일하게 저항하고 있음을 보여준다.
파일을 단열로 설치했을 경우, Oh et al.(2015)이 제안한 바와 같이 마이크로파일은 파일길이비와 설치 각도에 따라 마이크로파일의 거동특성은 압축파일 또는 인장파일 거동을 보이고, 수평 하중에 대한 지지력도 달라진다. 이 연구결과로부터 제안된 파일의 설치조건을 적용하여 복열로 마이크로파일을 설치할 경우, 단열 마이크로파일 조건에서 고려하지 못한 파일의 설치형태(교차 조건 또는 비교차 조건, Fig. 3)가 된다. 또한 마이크로파일의 설치 간격과 각도에 따라 파일 간의 간섭 효과와 파일 사이의 지반구속 영역 크기 등이 상이해 각 열의 마이크로파일의 지지력도 달라질 수 있다.
Table 1은 위와 같은 사항을 고려해 계획한 시험 조건을 보인 것이다. 파일의 설치 간격에 따라 복열 마이크로파일의 수평 지지력은 달라지고, 일정 설치 간격 이상부터는 단열 마이크로파일의 수평 지지력 이상 발휘하게 된다. 즉 파일의 설치 간격에 따른 복열 마이크로파일의 수평 지지특성에 대한 평가 및 적정 간격에 대한 제안을 위해 요구되는 것은 단열 마이크로파일의 수평 지지력과 간격에 따른 복열 마이크로파일의 수평 지지력이라 할 수 있다. 이에 Table 1의 Model test I과 같이 파일길이비를 달리하여 단열 마이크로파일의 수평 지지력을 평가하였다. 또한 Table 1의 Model test II와 같이 동일 길이비를 적용한 경우 설치 간격을 달리한 복열 마이크로파일에 대한 수평 지지력을 평가하였다. 파일의 설치 각도는 파일의 배치형태를 고려하면 지반 내 파일의 간격, 복열 파일에 의해 구속된 지반영역의 크기를 결정하는 주요 사항이므로, Table 1의 Model test 3과 같이 설치 각도를 달리하여 복열 마이크로파일에 대한 지지력을 평가하였다.
Table 1.
Model test conditions
4. 파일의 거동 및 지지력
4.1 수평 거동특성
본 연구에서 활용한 시험기는 Fig. 4(c)에 보인 바와 같이 토조 벽이 아크릴판으로 제작되어 있어 육안관찰이 가능하다. 또한 지반의 변형상태를 확인하기 위해 Fig. 9와 같이 지반조성과정에서 일정 간격으로 얇은 검정 모래층을 형성시켰다. 만약 수평 하중을 받는 모형파일에 의해 지반에 변형이 발생하면 Fig. 11과 같이 흰색 실선으로 표시된 검정 모래층에도 변형이 발생하는 반면, 흰색 점선으로 표시된 검정 모래층에는 변형이 발생하지 않는다. 즉 Fig. 11에 보인 변형 영역(Deformed zone)과 변형되지 않은 영역(Undeformed zone)으로 구분할 수 있으며, 변형 영역이 수평 하중을 받는 파일의 영향 범위라 할 수 있다. 이같이 각 조건별 시험 후 관찰된 마이크로파일/지반의 거동으로부터 변형 영역과 변형되지 않은 영역을 구분해 거동특성에 대해 평가한 것이 Fig. 12와 13이다.
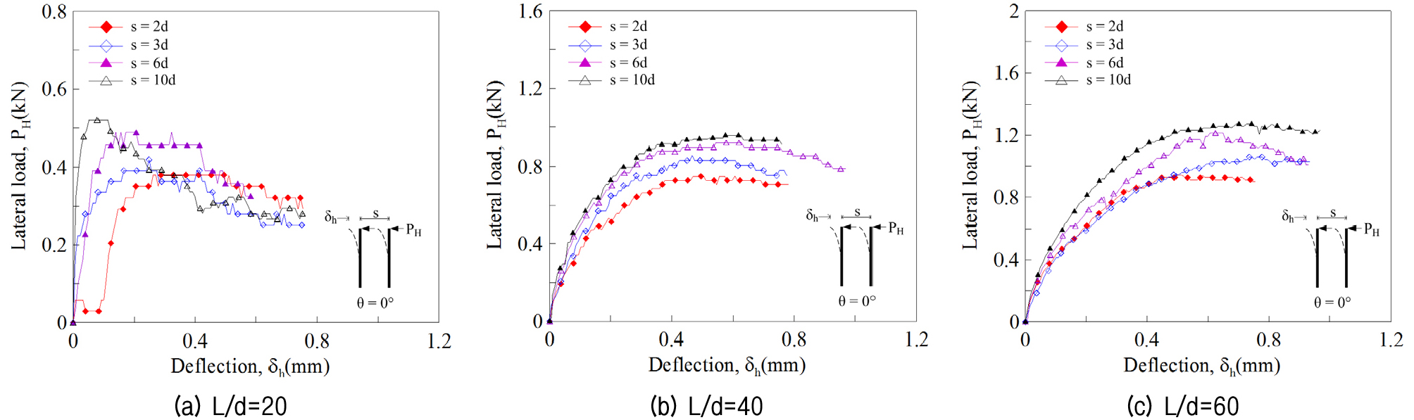
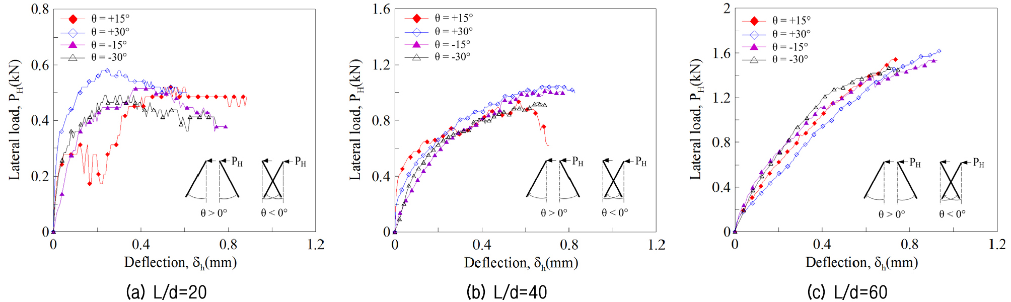
Fig. 12는 시험 조건 중 θ = 0°이고 L/d = 40인 경우 파일의 설치 간격(s)에 따른 복열 마이크로파일의 거동특성을 보인 것이고, Fig. 13은 s = 6d이고 L/d = 60인 경우 파일의 설치 각도(θ)에 따른 거동특성을 보인 것이다. 파일의 설치 간격에 따른 복열 마이크로파일의 거동은 Fig. 12와 13에 보인 바와 같이 마이크로파일의 상부 길이에 인접한 지반에서 많은 지반 변위가 발생하는 반면, 파일의 하부에서는 지반 변위가 발생하지 않았다. 또한 파일 상부의 인접지반에서 수동 상태의 지반 변위가 크게 발생하는 것으로 조사되었다. 일정 간격 이상 이격시켜 설치된 복열 마이크로파일에 수평 하중이 작용하는 경우, 파일 사이의 지반에서 수평 압축 변위 형상을 보이는 것으로 조사되었다(Fig. 12c and d). 파일을 일정 간격으로 이격시키고 설치 각도를 달리한 복열 마이크로파일 조건에서도 Fig. 13에 보인 바와 같이 마이크로파일 사이의 지반에서 수평 압축 변위가 발생함을 관찰할 수 있다. 이 같은 복열의 마이크로파일 사이의 지반에서 발생한 변위 형상은 하중의 영향 범위 내 수평 하중에 대한 지반의 저항력이 파일의 설치 간격과 설치 각도에 따라 상이해짐을 보여주는 것이라 할 수 있다.
4.2 파일의 수평 지지력
Fig. 14~16은 단열 또는 복열 마이크로파일로 설치한 경우 모형시험으로부터 조사된 각 조건별 수평 하중(Lateral load, PH)과 변위(deflection, δh) 곡선을 보인 것이다. 그림에 보인 바와 같이 길이비가 작은 짧은 파일 조건(Short pile condition)이면 수평 하중-변위 곡선은 수평 변위가 증가함에 따라 최대 하중을 보인 후 감소하는 취성 거동을 보이지만, 길이비가 큰 긴 또는 가는 파일 조건(Long and slender pile condition)의 경우는 변위가 증가함에 따라 하중이 일정해지는 연성 거동을 보이는 것으로 조사되었다.
Fig. 17은 Fig. 14~Fig. 16의 수평 하중-변위 곡선을 통해 조사된 단열 또는 복열 마이크로파일의 수평 지지력을 조건별로 비교한 것이다. 단열 또는 복열 마이크로파일의 수평 지지력은 FHWA(2005)에서 제안한 바와 같이 파일 직경의 10% 이상의 파일 두부의 수평 변위가 발생한 경우 해당하는 수평 하중(PH, at δh(mm) ≥ 0.1×d)을 지지력으로 판정하였다. 단열 마이크로파일 조건이면 수평 지지력은 Fig. 17(a)에 보인 바와 같이 0.24~0.51kN이었다. 파일길이비가 증가함에 따라 수평 지지력은 증가하나 L/d ≥ 40부터 지지력의 증가가 둔화하였고, 이 같은 파일길이비에 따른 수평 지지력의 변화는 Oh et al.(2015)의 연구결과와도 유사하였다. 이는 수평 하중에 저항하는 마이크로파일의 거동특성에 관계되는 것으로, Fig. 12와 13에 보인 바와 같이 파일 길이가 증가함에 따라 수평 하중에 영향을 받는 범위는 파일의 상부 길이에 국한됨을 알 수 있다. 즉 일정길이 이상부터는 파일 길이의 증가가 마이크로파일의 수평 지지력에 끼치는 영향이 감소하게 되므로 지지력의 증가가 크지 않은 것으로 판단된다.
복열 마이크로파일 조건인 경우 Fig. 17(b)에 보인 바와 같이 파일의 설치 간격에 따른 수평 지지력은 0.38~1.27kN이었고, L/d = 60이고 s = 10d인 설치조건의 지지력이 최대이었다. 또한 파일 간격이 증가함에 따라 수평 지지력도 증가하나, 파일 간격 s ≥ 6d인 경우 지지력이 일정한 것으로 조사되었다. Fig. 17(c)에 보인 바와 같이 파일의 설치 각도에 따른 파일의 수평 지지력은 파일길이비와 설치 각도에 크게 좌우되는 것으로 조사되었다. L/d = 20인 경우 설치 각도에 따른 지지력은 약 0.49~0.58kN이었고, 설치 각도 θ > 0°인 조건의 지지력이 θ ≤ 0°인 조건의 지지력보다 큰 것으로 나타났다. 이에 반해 L/d ≥ 40인 경우 경사 마이크로파일의 지지력이 연직 마이크로파일보다 증가하였고, 파일의 설치 각도가 지지력의 증가에 큰 영향을 끼치는 것으로 조사되었다.
5. 결과 및 분석
본 연구에서는 Fig. 17(a)와 Fig. 17(b)를 통해 단열인 경우와 설치 간격에 따라 복열 마이크로파일의 지지력이 달라지며, Fig. 17(c)를 통해 파일길이비와 파일의 설치 각도에 따라 복열 마이크로파일의 수평 지지력이 좌우됨을 보였다. 특히 Fig. 17(c)의 결과를 통해 파일의 설치형태(Fig. 3)와 관계되는 설치 각도는 수평 하중에 대한 저항성에 큰 영향을 끼치고, 파일길이비의 증가에 따라 지지력도 증가함을 알 수 있다. 이에 본 연구에서는 다음과 같은 식을 통해 간격에 따른 파일의 간섭 효율(Interaction efficiency, κ), 파일길이비에 따른 수평 지지력비(Lateral bearing capacity ratio by L/d, BCRL)와 설치 각도에 따른 수평 지지력비(Lateral bearing capacity ratio by θ, BCRθ)를 산정하여 각 조건별 시험결과를 종합적으로 분석하였다.
Lateral bearing capacity ratio by L/d,
Lateral bearing capacity ratio by θ,
여기서, Pa(2row)와 Pa(2row)는 각각 복열 또는 단열로 설치된 경우 마이크로파일의 수평 지지력을 말한다. 또한 Pa(L/d > 20)와 Pa(L/d = 20)는 각각 L/d > 20과 L/d = 20인 경우 복열 마이크로파일의 수평 지지력을, Pa(θ > 0° or θ < 0°)와 Pa(θ = 0°)는 각각 경사 또는 연직으로 설치된 경우 복열 마이크로파일의 지지력을 말한다.
Eq. (2)의 Pa(2row)/2Pa(1row)의 산정결과를 통해 간격에 따라 발휘된 간섭 효과로 인해 복열 마이크로파일인 경우 각 열의 수평 지지력이 어느 정도 증가 또는 감소하였는지 예측할 수 있다. Pa(2row)/2Pa(1row)의 값이 1보다 크면(Pa(2row)/2Pa(1row) ≥ 1) 파일 간의 간섭 효과가 거의 발휘되지 않아 단열인 경우의 지지력 이상을 발휘하고 있음을 의미하며, Pa(2row)/2Pa(1row)의 값이 1보다 작으면(Pa(2row)/2Pa(1row) < 1) 간섭 효과가 크게 발휘되어 각 열의 수평 지지력이 감소하였음을 의미한다. Pa(2row)/2Pa(1row)의 결과로부터 산정되는 Eq. (2)의 간섭효율, κ는 간섭 효과의 정도에 따라 간섭 효과가 발휘되면 0보다 증가하고(κ ≥ 0), 간섭 효과가 발휘되지 않으면 0보다 작아진다(κ < 0). 또한 Eq. (3)과 (4)로부터 구한 지지력비는 파일길이비의 증가와 파일의 설치각도에 따라 각 조건별의 지지력이 어느 정도 증감되었는지 정량적인 평가가 가능하다.
5.1 파일의 설치 간격에 따른 간섭 효과
Fig. 18은 설치 간격에 따른 Eq. (2)의 Pa(2row)/2Pa(1row)와 파일의 간섭효율, κ를 비교한 것이다. Fig. 18(a)에 보인 바와 같이 파일의 설치 간격이 증가함에 따라 Pa(2row)/2Pa(1row)의 값은 증가하는 반면, Fig. 18(b)와 같이 간섭효율(κ)는 감소하였다. 파일길이비 40이하이고 설치 간격이 6d이상(s ≥ 6d)인 복열 마이크로파일의 Pa(2row)/2Pa(1row)은 1보다 크고, 간섭효율은 0보다 감소하였다(κ < 0). 반면 설치 간격이 6d 미만(s < 6d)인 경우, Pa(2row)/2Pa(1row)는 약 0.8~0.9이었으며(Fig. 18a), 간섭효율은 0.1~0.2이었다(κ ≈ 0.1~0.2; Fig. 18b). L/d = 60인 복열 마이크로파일의 경우, 설치간격 3d이상부터는 Pa(2row)/2Pa(1row)이 1보다 크고(Pa(2row)/2Pa(1row) ≈ 1.30; Fig. 18a), 파일의 간섭효율은 1보다 작았다(κ ≈ -0.2; Fig. 18b).
이 결과는 수평 하중에 저항하는 경우 설치 간격이 작아 파일의 간섭 효과로 인해 복열로 설치된 각 열의 마이크로파일의 지지력이 단열인 경우의 지지력보다 10~20% 정도 감소하고, 적정 간격 이상 이격시켜 파일을 설치한 경우 간섭 효과가 미비해 단열인 경우의 지지력 이상으로 저항력이 발휘되고 있음을 보여준다. 또한 파일길이비의 증가로 적정 설치 간격도 달라질 수 있음을 알 수 있다. 즉, 각 열의 마이크로파일의 수평 지지력이 단열인 경우와 같이 지지력을 발휘하기 위해서는 적정 설치 간격(본 연구의 경우, s = 6d)을 확보해야 하며, 이 간격보다 작은 경우에는 간섭 효과로 인한 수평 지지력의 저감을 고려해야 할 것으로 판단된다.
5.2 파일의 설치 각도에 따른 지지력 증가 효과
Fig. 19는 Fig. 17(c)에 보인 파일의 설치 각도에 따른 복열 마이크로파일의 지지력으로부터 Eq. (3), (4)와 같이 구한 길이비 또는 각도에 따른 지지력비(BCRL or BCRθ)을 비교한 것이다. 파일길이비, L/d에 따른 복열 마이크로파일의 수평 지지력비는 Fig. 19(a)에 보인 바와 같이 길이비가 증가함에 따라 길이비에 대한 지지력비(BCRL)도 증가하였다. 설치 각도에 따른 지지력비의 변화는 Fig. 19(b)에 보인 바와 같이 각도에 크게 좌우되는 것으로 평가되었다. 설치 각도가 0°보다 큰 경우(θ > 0°), 각도가 증가함에 따라 지지력비도 증가하였으며, 파일의 설치 각도가 +30°인 경우 지지력비가 최대였다. 이때의 마이크로파일 지지력비는 약 1.17~1.20으로(BCRθ(max,θ=+30°) ≈ 1.17~1.20), 이 결과를 통해 경사 마이크로파일의 수평 지지력이 연직 설치된 경우보다 최대 17~20%정도의 증가효과를 기대할 수 있을 것으로 판단된다.
설치 각도가 0°보다 작은 경우(θ < 0°) 복열 마이크로파일의 지지력비는 Fig. 19(b)에 보인 바와 같이 설치 각도가 감소함에 따라 지지력비는 증가한 후 감소하였으며, 경사 마이크로파일의 지지력비가 연직 설치인 조건보다 큰 것으로 조사되었다. 설치 각도가 -15°인 경우 파일의 지지력비는 약 1.15정도 였으며(BCRθ(max,θ=-15°) ≈ 1.15), θ < 0°인 조건에서 최대였다. 즉 설치 각도가 0°보다 작은 경우(θ < 0°) 복열 마이크로파일 수평 지지력은 연직으로 설치된 경우보다 최대 15% 정도의 증가 효과를 기대할 수 있을 것으로 판단된다.
5.3 지반/파일의 파괴 거동을 통한 효과분석
Fig. 18과 19의 평가결과를 통해 수평 하중에 저항하는 복열 마이크로파일의 지지력은 설치 간격, 파일길이비, 설치 각도에 좌우됨을 알 수 있다. 이처럼 복열 마이크로파일의 수평 지지력이 이들 고려 인자에 따라 달라지는 요인은 본 연구에서 관찰한 지반과 마이크로파일의 거동특성을 통해 설명이 가능하다. Fig. 20은 Fig. 12의 설치 간격에 따른 파괴 거동을 비교한 것으로, 수평 하중이 작용하는 경우 Fig. 20에 보인 바와 같이 수평 하중에 저항하는 파일 인접지반의 수동영역(Passive zone)의 크기가 파일의 설치 간격과 관계없이 유사함을 알 수 있다. 그러나 각 열 마이크로파일 사이의 지반에서 관찰된 수평 방향으로 압축 거동을 보이는 압축영역(Compression zone, Fig. 20b)이 간격에 따라 큰 차이를 보인다. 즉 이 영역 내 지반도 수평 하중에 저항하게 되므로, 따라서 압축영역의 크기와 관계되는 설치 간격이 지지력에 큰 영향을 끼친다.
Fig. 21은 Fig. 13에 보인 설치 각도에 따른 복열 마이크로파일의 파괴 거동을 비교한 것이다. 파일의 설치 각도가 θ > 0°인 경우 파일의 설치 각도가 증가할수록 지중에서의 파일 간격이 증가하므로, Fig. 21(a)의 압축영역 크기도 증가하게 된다. 이는 파일의 간섭 효과가 미비해짐을 의미한다. 또한 Oh et al.(2015)의 연구결과에서 알 수 있듯이 단열로 설치된 경우 경사 마이크로파일은 연직 설치조건과 비교하면 좀 더 효과적으로 수평 하중에 저항할 수 있다. 즉 이와 같은 마이크로파일의 거동특성에 의해 θ > 0°인 경우 Fig. 19(b)의 연구결과와 같이 파일의 설치 각도가 증가할수록 복열 마이크로파일의 지지력이 연직인 경우보다 증가하는 것으로 판단된다.
파일의 설치 각도가 θ < 0°인 경우 압축영역은 Fig. Fig. 21(b)와 (c)에 보인 바와 같이 파일 사이의 지반을 구속시켜 파일 체로부터 전이된 하중을 저항하게 됨을 알 수 있다. 또한 파일 사이의 압축영역 크기가 각도에 따라 크게 달라지며, θ < 0°인 경우의 θ = -15°인 경우 압축영역의 크기(Fig. 21b)가 θ = -30°인 경우의 압축영역(Fig. 21c)보다 확대됨을 알 수 있다. 즉 설치 각도가 θ < 0°인 경우는 수평 하중에 저항하는 단열 경사 마이크로파일의 지지특성(Oh et al., 2015), Fig. 21(b)와 (c)에 보인 거동특성에 대한 영향으로 각도가 감소함에 따라 지지력은 증가하나, 일정각도 이상부터는 압축영역의 감소함에 따른 파일의 간섭 효과의 증가로 Fig. 21(b)와 같이 감소하게 되는 것으로 판단된다.
6. 결 론
본 연구에서는 모형시험을 통하여 단열, 복열 마이크로파일에 대한 거동과 지지특성을 평가하였다. 경사 마이크로파일의 수평 지지력은 연직으로 설치된 경우의 지지력보다 증가하고 파일 간격, 길이비, 설치 각도 등 파일의 설치조건에 좌우되었다. 즉 θ ≥ 0°인 경우에 파일 수평 지지력은 파일의 간격이 증가함에 따라 파일의 간섭 효과가 감소하므로 설치 간격이 중요한 요소인 것으로 판단되며, θ < 0°인 경우는 파일 사이의 압축영역 크기와 관계되는 파일의 간격과 설치 각도에 영향을 받는 것으로 평가되었다. 따라서 마이크로파일의 효과적인 활용을 위해서는 파일의 간격과 설치 각도에 따른 압축영역의 크기가 중요 고려사항 중 하나라고 판단할 수 있다. 본 연구 시험결과로부터 얻은 결론은 다음과 같다.
(1) 파일의 간섭 효과가 최소화되어 복열 마이크로파일의 각 열의 파일 수평 지지력이 단열 마이크로파일의 지지력 이상 발휘되기 위해서 파일 간격은 6d 이상이어야 한다.
(2) 설치 각도 θ > 0°(BCRθ(max,θ>0°) ≈ 1.17~1.20)인 복열 마이크로파일의 수평 지지력이 θ ≤ 0°인 경우(BCRθ(max,θ<0°) ≈ 1.15)보다 크며, 연직으로 설치된 마이크로파일의 수평 지지력보다 지지력이 최대 17~20%정도 증가하였다.
(3) 파일의 설치 각도 θ ≥ 0°인 경우 파일 간의 간격이 증가함에 따라 파일의 간섭 효과가 감소되어 복열 마이크로파일의 수평 지지력은 증가한다. 복열 마이크로파일의 수평 지지력 증가는 설치 각도 +30°인 경우에 가장 효과적이다.
(4) 파일 설치 각도 θ < 0°인 경우, 파일의 설치 각도에 따라 압축영역의 감소로 지지력은 증가한 후 감소하는 지지특성을 보이며, 파일의 설치 각도 -15°인 경우에 복열 마이크로파일 수평 지지력이 가장 최대값을 나타내었다.
본 연구는 균질한 지반에서 수행한 모형시험결과를 바탕으로 제안된 것이다. 따라서 다양한 지층으로 구성된 현장지반에 마이크로파일을 적용할 경우 본 연구결과와 다소 상이할 수 있을 것으로 판단된다. 앞으로 현장지반을 반영한 다양한 지층 구성에 대한 추가적인 보완 연구가 요망된다.























