1. 서 론
모래지반의 투수특성과 압밀특성은 디워터링, 제방제체로 쓰일 때의 안정성, 지하수를 통한 오염물질의 확산, 동적 해석 및 액상화 판정 등을 평가하는데 있어서 중요한 설계인자이다. 하지만, 모래와 점토가 섞여있는 혼합토의 투수 및 압밀 특성에 대해서는 아직 연구가 미비하다. 투수계수의 경우 일반적으로 흙의 분류기준으로 많이 사용되는 USCS(ASTM D-2487, 1994)에 의해 50%이상의 조립질을 포함하여 모래로 판정이 되면, 점토 또는 실트의 세립질이 상당량 포함된 경우일지라도 단순히 배수조건으로 간주되는 경우가 많고 일반적인 순수모래의 거동특성을 설계에 적용하는 경우가 많으며 혼합토의 투수 및 압밀특성이 간과된다. 하지만 순수 모래에 소량의 점토입자가 혼합되면 투수계수는 급격히 감소하게 되며 모래의 투수계수 및 압밀계수를 사용할 수 없게 된다.
Thevanayagam(1998)는 실트질 모래 혼합토에서 혼합비에 따른 비배수 전단강도의 변화를 조사하였다. Salgado et al.(2000)는 구조 간극비 개념을 적용해서 실트질 모래의 전단강도 특성을 규명하였다. 일련의 실험을 통해서 안정구조의 실트질 모래에서는 실트의 혼합비가 증가할수록 실트의 interlocking 효과로 인해서 전단강도는 증가한다는 결론을 도출하였다. Carraro et al. (2003)은 실트질 모래에서의 액상화 저항성을 평가하였다. 위의 연구에서는 대상 흙이 실트질 모래로 국한되었으며 전단강도의 영향만을 검토하였다. Carraro et al.(2009)는 카올리나이트를 포함한 다양한 혼합토를 대상으로 시험을 수행하였으나 전단강도에 미치는 영향만을 규명하였다. Bandini와 Sathiskumar(2009)는 실트의 함유랑에 따는 실트질 모래의 투수계수와 압밀계수의 영향을 실험적으로 규명하였지만 점토는 세립토로 사용하지 않았다. Sivapullaiah et al.(2000), Sridharan와 Nagaraj (2004, 2005)은 사질토-벤토나이트 혼합토의 투수성을 조사하였다. 하지만 차수목적으로 사용되는 매립지 clay liner의 투수성을 조사하는 것이 목적이기에 점토질에 가까운 흙에 대한 실험을 중점적으로 수행하였다. 이와 같이, 점토가 혼합된 점토질 모래의 투수 및 및 압밀특성에 대한 연구는 제한적이며 정량적으로 이를 예측하는 방법이 제시되지 않았다.
본 연구에서는 모래로 분류되나 점토 함유비율이 높아 투수특성에 영향을 받는 혼합토에서의 투수특성을 평가하였다. 이를 위해 국내에서 대표적인 실험용 표준사로 사용되고 있는 주문진 표준사와 북미의 대표적인 실험용 표준사인 오타와 모래에 카올리나이트 점토를 10%에서 30%사이의 다양한 비율로 혼합하여 시료를 제작한 후 연성벽체 투수시험을 수행하였으며 세립토가 측정된 투수계수와 압밀계수에 미치는 영향을 분석하였다.
2. 이론적 배경
2.1 투수계수 및 압밀계수
일반적으로 순수 모래의 투수계수는 입도분포 특성이나 간극비와 상관관계를 가지는 것으로 알려져 있으며 이 변수들에 대한 경험식들이 제안되었다(Hazen, 1930; Kenney et al., 1984). 한편, 점토질 흙에서는 소성지수와 간극비가 투수계수에 영향을 미치는 주요 매개변수로 알려져 있으며 이에 대한 많은 연구들이 수행되었고 다양한 관계식들이 제안되었다(Sivapullaiah et al., 2000; Sridharan and Nagaraj, 2004, 2005). Sivapullaiah et al.(2000)은 모래와 벤토나이트의 혼합시료에서의 실험결과를 기초로 제안한 투수계수와 간극비 및 소성지수와의 관계식을 식 (1)과 같이 제시하였다.
(1)
여기서, k = 투수계수, e = 간극비, wL = 액성한계이다.
Raju et al.(1995)은 정규압밀점토의 압밀계수를 측정하기 위해 다음과 같은 관계식을 제안하였다.
(2)
여기서, cv = 압밀계수,
’v = 유효수직응력이다.
모래에 소량의 점토질이 혼합될 경우 투수계수에 미치는 영향은 매우 크고, 순수 모래와 비교하여 투수계수는 현저하게 작아진다(Garcia-Bengochea et al., 1979; Sivapullaiah et al., 2000). 하지만 모래에 소량의 점토질이 혼합된 흙에서는 점토질 흙의 특성을 대변하는 소성지수나 간극비에 의해 투수계수나 압밀계수를 예측할 수 없으며 또한 순수 모래에서와는 달리 단순히 입도분포 특성이나 간극비와 투수계수와의 상관성을 나타낼 수 없다. 따라서 모래와 점토의 혼합토로서 중간적인 성질을 가지는 흙에 대해서는 투수계수나 압밀계수를 예측하기 위해 다른 관점에서의 정의가 필요하다.
2.2 흙의 구조적 특성
모래에 세립질(점토, 실트)의 흙이 혼합될 때 일정 혼합비까지는 혼합된 소량의 세립질이 흙의 공학적 거동에 영향을 끼치지 않으며 전체적인 흙의 거동은 모래에 의해 결정된다. 하지만 세립자의 함유비가 증가함에 따라 세립자는 모래입자 사이의 간극을 채워나가며, 일정 수치 이상의 함유비에서는 모래입자들의 접촉면에 세립자들이 끼어들어가 입자들을 분리시켜 전체적인 흙의 공학적 거동이 바뀌게 된다. 이와 같이 모래와 세립토의 혼합비가 변화함에 따라 혼합토의 구조(fabric)가 바뀌게 되고 공학적 거동이 변경되는 현상을 정량화하기 위한 연구가 진행되고 있다(Carraro et al., 2009; Kuerbis and Vaid, 1988; Salgado et al., 2000; Thevanayagam, 1998; Thevanayagam et al., 2002; Vaid, 1994). 일반적으로 모래와 세립분의 혼합토의 공학적 특성이 모래에 의해 주도될 때를 안정구조(non-floating fabric) 상태라 하며 이와는 반대로 세립분에 의해 구조와 거동특성이 결정될 때를 부유구조(floating fabric) 상태라 한다. 두 상태간의 경계는 간극비로 정의할 수 있으며 이를 skeleton 간극비(esk)라고 한다(Thevanayagam et al., 2002; Vaid, 1994). skeleton 간극비는 다음과 같은 식으로 정의된다.
(3)
여기서, e = 흙의 간극비(global void ratio), f = 세립분의 전체 흙에 대한 중량비이다. 식 (1)에 의해 계산된 esk가 순수모래의 최대간극비 emax 보다 클 경우 흙은 부유구조를 가지며, 반대로 최대간극비보다 작을 경우 흙은 안정구조를 가진다(Salgado et al., 2000). 이러한 세립자의 간극채움에 대한 구조적인 해석은 모래와 세립토의 혼합토에서 일반적인 간극비의 변화양상과도 연관되어 있다. 세립토의 혼합비가 작을 때는 세립분이 모래의 간극사이를 채워주기 때문에 혼합비가 일정비율에 도달할 때까지 간극비가 감소하지만 모래입자간의 접촉이 분리된 이후에는 세립자 자체의 간극비가 전체간극비를 결정하게 되어 혼합비의 증가에 따라 간극비가 증가하게 된다. Thevanayagam(1998)은 일반적으로 실트질 모래에서는 20%에서 30%사이의 세립토 혼합비에서 이러한 구조 전환이 이루어진다고 제시하였다. Bandini and Sathiskumar(2009)는 직접적으로 계산된 skeleton 간극비를 제시하지는 않았지만 20-25%의 실트가 혼합된 실트질 모래 시료는 모두 부유구조 특성일 보였다고 제시하였다.
3. 실험 방법 및 시료 준비
3.1 시료 준비
본 연구에서 사용된 시료는 국내에서 대표적인 실험용 표준사로 널리 사용되고 있는 주문진 표준사와 북미의 대표적인 실험용 표준사인 오타와 모래에 카올리나이트 점토를 다양한 비율로 혼합하여 제작되었다. 주문진 표준사와 오타와 모래의 일반적인 물성치는 Table 1에 정리하였으며 두 모래의 입도분포특성은 Fig. 1에 도시하였다.
모래와 실트가 혼합된 시료를 제작하는 방법에는 모이스트 탬핑(moist tamping), 슬러리 침강(slurry deposition)이나 대기 강사(dry air deposition) 방법 등이 있다(Carraro et al., 2003; Kuerbis and Vaid, 1988; Thevanayagam et al., 2002). 본 연구에서는 실트가 아니라 카올리나이트를 사용하여 점성토 재료분리가 우려되었기에 점성토가 공학적 성질을 결정하는 혼합시료에 일반적으로 사용되는 슬러리 압밀 방법을 사용하여 시료를 제작하였으며 제작과정은 다음과 같다.
먼저 계획된 건조중량 혼합비로 모래와 점토를 섞은 후 소성한계의 약 1.5배 또는 이에 준하는 증류수를 첨가하고 완전히 교반하여 슬러리 상태를 만든다. 혼합된 슬러리를 바닥 포러스스톤과 필터가 안치되고 멤브레인이 씌워진 직경 72mm, 높이 150mm의 분리형 삼축몰드에 50mm의 링을 수직연결한 셀에 안착시킨다(Fig. 2a). 안착된 슬러리 위에 포러스스톤, 필터와 캡을 올리고 30kPa의 연직응력을 가하여 1차 압밀시킨다(Fig. 2b). 1차 압밀이 종료된 후 상부의 캡과 포러스스톤은 제거한 후 상부에 연결된 링을 제거하고, 분리형 삼축몰드 위로 돌출된 부분의 시료를 컷팅한다(Fig. 2c). 시료의 상부를 평탄하게 한 후 필터와 포러스스톤을 시료 위에 안착시키고 그 위에 캡을 씌운 후 멤브레인을 말아올린다. 다음에는 상ㆍ하부의 캡에 연결된 관을 통해 시료내부에 진공압을 가하여 시료를 자립시킨 후 삼축몰드를 제거한다(Fig. 2d). 그 후, 삼축시험과 동일한 방법으로 셀을 준비하고 물을 채우며 시료를 포화시킨 후 시료에 50kPa의 등방 구속압력을 가하여 2차 압밀시킨다. 계획된 압밀스케줄에 따라서 단계별로 구속압력을 증가시키며 투수시험을 실시한다. 투수시험에 사용된 연성벽체 투수시험기는 Fig. 3에 도시하였다.
|
|
|
|
(a) Slurry setting | (b) Vertical load loading | (c) Mold removal / Sample cutting | (d) Top cap connection |
Fig. 2. Homogeneous sample preparation – Slurry consolidation method | |||
시료의 점토함유량이 낮은 경우 슬러리 압밀방법에 의한 시료제작과정 중 모래와 점토의 분리현상(segregation)이 발생할 가능성이 있고, 또한 시료가 입자분리현상 없이 균질한 시료가 만들어졌다 하더라도 점토의 혼합비가 낮으면 투수계수시험도중 점토입자들이 모래의 간극사이로 간극수와 함께 이동할 가능성도 배제할 수 없다(Sridharan와 Prakash, 2001). 이와 같은 입자분리 또는 세립자의 이동이 일어날 경우 측정된 투수계수의 신뢰도가 떨어지게 된다. 점토질 흙의 경우 소성한계의 약 1.5배 내지 2배에 준하는 물을 혼합하여 슬러리를 만들어 압밀할 경우 균질한 시료를 얻는 것으로 알려져 있지만 모래의 혼합비가 큰 경우 제작된 시료의 균질성을 검증한 연구결과가 없으므로 이에 대한 검증이 필요하였다.
본 연구에서는 제작된 시료를 연성벽체 투수시험 종료 후 시료를 수직방향으로 5조각으로 분리한 후 각각의 조각에 대해 함수비와 카올리나이트 점토의 혼합비를 측정하여 시료의 균질성 여부를 검증하였다. 투수시험 전에 시료를 포화시켰으므로 함수비는 간극비의 균질성을 나타낸다.
검증에는 투수시험 종료 후 10.0%, 14.5%, 19%, 21.8%의 네가지 혼합비의 오타와 모래를 사용한 혼합시료가 사용되었으며 검증 결과는 Fig. 4에 도시하였다. 평가 결과, 각 세그먼트들은 위치에 따라서 점토의 함량비의 변화나 함수비의 변화가 미소하며 균질한 것으로 나타났다. 이는 점토의 혼합비가 낮은 경우에도 본 실험에 이용된 슬러리 믹싱방법이 효과적이며, 또한 점토입자들이 압력차로 인하여 투수시험 중간에 이동하고 있지 않음을 보여준다.
|
|
(a) Passing ratio of the No. 200 sieve | (b) Water content |
Fig. 4. Measured passing ratio of the No. 200 sieve and water content of vertically cut specimens using Jumunjin sand | |
3.2 실험방법
총 15개의 각기 다른 혼합비를 가진 혼합시료에 대해 연성벽체 투수시험을 실행하였다. 오타와 모래와 카올리나이트의 혼합시료는 9개의 다른 혼합비(카올리나이트 중량 비율기준 10%, 14.5%, 15%, 16.6%, 19%, 21%, 21.8%, 24%, 29.1%)로 제작되었으며, 주문진 표준사와 카올리나이트의 혼합시료는 6개(카올리나이트 비율기준 16%, 17.5%, 18.5%, 22%, 22.2%, 25%)의 혼합비로 제작되었다. 연성벽체 투수시험은 ASTM D5084의 규격에 맞추어 수행하였다. 시험을 위해 계획된 비율로 모래와 점토를 혼합한 슬러리를 압밀하여 시료를 성형하였으며 이에 대한 투수계수 k와 mv, 그리고 두 값에 의해 cv를 계산하였다. 연성벽체투수시험은 일반적으로 모래시료에서 사용되는 강성벽체투수시험에 비해 벽체를 통한 누수가 매우 적고 또한 시험중의 시료의 응력상태를 제어할 수 있기 때문에 흙의 응력상태에 대한 정확한 투수계수를 얻을 수 있는 이점이 있다(Samingan et al., 2003). 연성벽체 투수시험에서 투수계수 k는 다음과 같은 식에 의해 얻어진다.
(4)
여기서, △Q = 측정시간 △t 동안 투수된 물의 용량; L = 시료의 길이; A = 시료의 단면적; h = 시료에서의 수두차이다. 한편 연성벽체투수시험에서 등방압력을 단계적으로 증가시킬 때 압축계수 mvi는 다음과 같이 구해진다.
(5)
여기서, e1 = 등방압력을 증가시키기 전의 간극비; ∆Vsp= 압력이 δp만큼 증가될 때 시료의 부피감소분; Vsp = 압력증가전의 시료의 부피; ∆
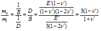
'3 = 유효구속압력의 증분이다. 연성벽체투수시험에서는 등방삼축압축시험에서와 마찬가지로 등방으로 구속압력을 증가시키므로 일축압축시험의 K0 조건에서 얻어지는 압축계수와는 차이가 있다. 그러므로 일축압축시험에서 얻어지는 압밀계수와 같은 압밀계수를 연성벽체투수시험으로부터 얻기 위해서는 연성벽체투수시험에서의 압축계수 mvi를 적절한 계수를 이용해서 일축압축시험에서의 압축계수 mv로 보정해 주어야 한다. 등방압축조건에서와 일축압축조건에서의 압축계수는 이론적으로 구속탄성계수(constrained modulus) D와 체적탄성계수(bulk modulus) B의 비로 표현되며 다음과 같이 계산할 수 있다.
(6)
여기서, E' = 흙의 변형계수, v' = 배수조건에서의 흙의 프와송비를 나타낸다. 배수조건에서의 v'의 일반적인 값은 약 1/3이므로, 식 (6)에서 mv와 mvi의 관계는 mv = 1/1.5・mvi로 나타내어질 수 있다(Carraro and Salgado, 2004; Head, 1992).
압밀계수 cv는 측정된 투수계수 k와 식 (5), 식 (6)에 의해 계산된 압축계수 mv에 의해 Terzaghi의 일축압축이론에서 유도된 다음 식으로 구할 수 있다.
(7)
여기서, γw는 물의 단위중량이다.
오타와 모래와 카올리나이트 점토의 혼합시료는 앞서 설명한대로 시료를 제작한 후 등방 구속압력을 50kPa에서 70kPa, 100kPa, 150kPa, 220kPa의 4단계로 점차적으로 증가시켜가면서 각 단계에서의 투수계수와 압밀계수를 측정하였다. 한편 주문진 표준사와 카올리나이트 점토의 혼합시료의 경우 50kPa에서 100kPa, 150kPa, 220kPa 의 3단계로 등방구속압력을 증가시켜가며 각 단계에서 투수계수와 압밀계수를 측정하였다. 각각의 구속압력 단계에서 정수두 투수시험을 실시하여 투수계수를 구하였으며, 식 (5)와 식 (6)으로 K0 상태에서의 mv를 계산하였으며, 식 (7)로 cv를 산정하였다.
4. 실험결과
수행된 연성벽체 투수시험의 결과는 Fig. 5와 Fig. 6에 도시하였다. Fig. 5와 Fig. 6은 각각 오타와 모래와 주문진 표준사에 대한 카올리나이트 점토의 혼합비와 압밀응력의 변화에 따른 k, mv, 그리고 cv 값의 변화를 나타낸다. 혼합시료의 투수계수는 등방압축응력의 증가에 따라 감소하는 경향을 보여주지만 큰 변화를 나타내지는 않으며, 이보다는 카올리나이트 점토의 혼합비에 따라 큰 영향을 받는 것을 확인할 수 있다(Fig. 5a와 Fig. 6a). 오타와 모래 혼합시료의 경우 혼합비가 10%에서 29%로 증가하는 동안 투수계수는 대략 100배 정도 감소되었으며, 주문진 표준사 혼합시료는 16%에서 25%로 증가함에 따라 약 50배 정도 감소되었다. Fig. 5b-c와 Fig. 6b-c에는 압축계수와 압밀계수의 결과를 각각 도시하였다. 압축계수와 압밀계수 모두 구속압력의 영향은 크지 않은 반면 카올리나이트 점토 혼합비의 영향은 지배적인 것을 확인할 수 있다. 압축계수는 혼합비의 변화에 대해 10배 이내의 변화를 보이고 있으나 압밀계수는 혼합비에 따라서 변화가 상대적으로 큰 영향을 받는 것으로 나타났다. 오타와 모래 혼합시료의 경우 혼합비가 9%로 증가함에 따라 압밀계수는 대략 500배 정도 감소되었고 주문진 표준사 시료의 경우 약 100배 정도 감소되었다.
| ||
(a) Coefficient of permeability (k) | (b) Coefficient of compressibility (mv) | (c) Coefficient of consolidation (cv) |
Fig. 5. Flexible-wall permeameter test results using Ottawa sand | ||
등방압축응력의 영향은 혼합비에 비하여 영향이 작은 것으로 나타났으므로 Fig. 7에는 150kPa의 구속응력을 적용한 실험에서의 혼합비에 따른 투수계수(Fig. 7a)와 압밀계수(Fig. 7b)의 변화만을 비교하였다. Fig. 7은 실험이 수행된 점토 혼합비의 구간에서는 투수계수와 압밀계수가 세미 로그 그래프 상에서 선형적으로 감소함을 볼 수 있다. 동일한 점토의 혼합비에서는 주문진 표준사 혼합시료가 오타와 모래 혼합시료에 비하여 투수계수와 압밀계수가 더 큰 것을 확인할 수 있다. 이에 대한 이유를 분석하기 위해서 혼합비에 따른 최대 및 최소간극비를 각각 ASTM D4253과 ASTM D4254에 의거하여 측정하였다. 세립자가 포함되지 않은 주문진 표준사와 오타와 모래는 각각 0%, 15%, 18%, 25%와 0%, 2%, 5%, 10%, 20%의 혼합비를 적용하였으며 Fig. 8은 측정된 최대 및 최소 간극비를 비교하고 있다. 주문진 표준사의 최대간극비와 최소간극비는 각각 0.98과 0.61이었으며 이 값들은 오타와 모래의 0.78과 0.41에 비해 상당히 큰 것으로 나타났다. 따라서 소량의 점토 혼합비에서는 구조적으로 주문진 표준사 혼합시료에서 점토 입자들은 더 자유로운 구조를 가지며, 투수계수가 상대적으로 크다. 그러나 이러한 혼합시료의 구조적인 차이는 점토의 혼합비가 증가할수록 감소하는 것으로 나타났다. 점토의 혼합비가 낮은 경우에는 주문진 표준사와 오타와 모래간의 투수계수의 차이가 크지만 점토함유비가 25%인 시료에서는 투수계수의 차이가 현격하게 줄어드는 것을 볼 수 있다(Fig. 7a).
나아가 혼합토에서 간극비와 투수계수와의 상관관계를 조사하였으며 이는 Fig. 9에 도시하였다. 투수계수가 혼합비와 로그 스케일에서 선형적인 관계를 가지는 것에 비하여(Fig. 7) 투수계수와 간극비는 선형적인 관계를 보이지 않는 것으로 나타났다. 주문진 표준사는 22.2%의 혼합비까지는 간극비가 0.5 내외로 거의 일정하다가 25%의 혼합비에서는 간극비가 0.6 정도로 증가하고 있다. 한편 오타와 모래의 경우 약 15% 정도의 혼합비까지는 간극비는 0.5 내외의 일정한 수준을 유지하다가 그 이상의 혼합비에서는 간극비가 증가함을 알 수 있다.
간극비와 투수계수가 선형적 관계를 보이지 않으며 특정 혼합비 이상에서만 간극비가 변화하하는 이유를 규명하기 위해서 각 시료에서의 skeleton 간극비를 계산하였으며 이는 Fig. 10에 도시하였다. 시료에서의 skeleton 간극비는 식 (3)으로 계산되었다. 그림에서 상위 및 하위 곡선은 각각 최대 및 최소간극비에 대한 skeleton 간극비이다. Fig. 10(a)에서 보여지듯이 주문진 표준사의 혼합시료는 대략 점토의 혼합비 22% 정도 이상에서 부유구조로 바뀌지만 오타와 모래의 혼합시료는 대략 15% 정도 이상의 점토 혼합비에서 부유구조로 바뀜을 알 수 있다. 즉, 안정구조에서는 혼합비가 증가하면 투수계수는 감소하지만 간극비는 크게 변화하지 않는 반면 안정구조에서 부유구조로 변화하는 시점에서 간극비는 증가하는 것을 확인할 수 있다. 부유구조에서는 모래의 특성보다는 점토의 특성에 의해서 투수계수가 지배를 받게 된다. 각각 주문진 표준사와 오타와 모래에서 안정구조에서 부유구조로 상태가 전환되는 혼합비인 22%와 15%에서의 투수계수는 10-6 cm/s로 유사한 것으로 나타났다(Fig. 7). Fig. 9에서와 같이 skeleton 간극비를 기준으로 간극비가 크게 변화하는 양상은 실트질 모래를 대상으로 실험을 수행한 Thevanayagam(1998)의 연구결과와 경향이 유사하다.
5. 결 론
본 연구에서는 모래에 혼합된 점토의 혼합비에 의한 투수계수와 압밀계수의 영향분석을 위해 주문진 표준사와 오타와 모래에 카올리나이트 점토를 다양한 혼합비로 섞은 시료를 제작하여 연성벽체 투수시험을 실시하였다. 연성벽체 투수시험 결과는 다음과 같다.
(1)본 실험에서 사용된 시료 제작방법인 슬러리 압밀방법은 모래와 점토의 분리현상이 일어나지 않고 간극비의 균질성을 확보, 슬러리 압밀방법이 매우 유효함을 확인하였다.
(2)투수계수와 압밀계수는 구속압력의 영향은 크지 않은 반면 카올리나이트 점토의 혼합비에 큰 영향을 받는 것으로 나타났다. 실험이 수행된 점토혼합비 10% ~ 30%의 사이에서는 혼합비와 투수계수 그리고 압밀계수는 세미 로그 그래프상에 반비례하는 선형적 상관관계를 나타내었다.
(3)동일한 점토 혼합비에서는 주문진 표준사와의 혼합시료에서 오타와 모래 혼합시료에 대한 실험결과 보다 투수계수와 압밀계수가 크게 나타났다. 이는 두 모래의 구조적 차이로 인한 것으로 조사되었다. 주문진 표준사는 최대 및 최소간극비가 오타와 모래에 비하여 상대적으로 커서 점토 입자들이 자유롭게 움직이며 투수계수도 커지는 것으로 판단된다. 단, 이들의 차이는 점토의 혼합비가 증가할수록 차이가 감소하였으며 구조적 특징이 안정구조에서 부유구조로 변화하는 혼합비에서는 두 혼합토에서의 투수계수는 유사한 것으로 측정되었다.
(4)간극비-투수계수-혼합비에 대한 관계를 분석한 결과, 각각의 혼합시료가 부유구조로 바뀔 때까지는 간극비가 일정한 경향을 나타내고 있으나 그 이상의 혼합비에서는 간극비가 증가하는 것을 확인하였다. 즉, 투수계수는 점토입자가 구조를 지배하는 부유구조에서는 간극비와 상관관계를 가질 가능성이 있으나 안정구조에서는 점토의 혼합비에 따른 상관관계가 제한적인 것으로 나타났다.


















