1. 서 론
2. TDR 적용 이론
2.1 TDR의 측정 기본원리
2.2 함수비와 건조단위중량 측정
3. Flat TDR 시스템 구성
3.1 TDR 측정 장비
3.2 Flat 프로브
3.3 유한요소해석을 통한 Flat 프로브의 영향범위 분석
4. 실내 및 현장시험
4.1 실내 실험 시료
4.2 Flat TDR 실험
4.3 Purdue TDR 시스템과 Flat TDR 시스템의 비교실험
4.4 현장시험
5. 실내 및 현장시험 결과
5.1 시료별 특성 상숫값 결정
5.2 Flat TDR 시스템의 검증실험결과
5.3 Purdue TDR 시스템과 Flat TDR 시스템의 비교실험결과
5.4 현장검증시험결과
6. 결 론
1. 서 론
다짐은 흙 속의 공기를 제거하여 흙의 강도 특성을 증가시켜 지반 위에 설치되는 기초의 안정성을 증대시킨다. 고속도로, 제방 및 댐 그 밖의 많은 흙 구조물 공사의 필수 공정이다. 또한 다짐은 구조물의 불필요한 침하량을 감소시키고 성토 사면의 안정성도 증대시킨다. 표준시방서의 다짐기준을 만족시키기 위해서 국내 현장에서의 다짐관리는 모래치환법과 평판재하시험을 이용한다. 이러한 시험방법은 시험시간이 길며 시험자에 따른 오차를 정량화하기 어렵고 현장여건의 한계로 시험이 불가능한 경우가 생긴다. 기존의 시험방법의 문제점을 보완하기 위해서 빠르고 경제적인 비파괴 시험법 및 지반교란을 최소화할 수 있는 현장 관입시험의 수요가 점차 증가하고 있다.
대표적으로 시간영역반사법(Time Domain Reflectometry, 이하 TDR)을 이용한 연구가 진행되고 있다. 기존 연구를 살펴보면 Topp et al.(1980)은 토양의 유전율은 토양 내에 포함된 물의 양에 의해서 강하기 의존한다는 것을 입증하였다. 또한 원위치 지반에 금속 봉을 통해 TDR 신호를 전송하여 흙의 체적 함수비를 측정하는 기법을 연구하였고, 미국 Purdue 대학의 Drnevich 교수 연구진에 의해서 현장 지반의 함수비와 건조단위중량을 측정하는 ASTM D6780-05(2005) 방법이 개발되었다. 이 후로 Yu et al.(2006)은 다층토에 대하여 기존의 연구자들에 의해 제안된 체적함수비, 중량함수비 및 건조단위중량의 식을 적용시켜 연구하였고, Jung et al.(2013)은 기존의 Yu et al.(2004)의 중량함수비 및 건조단위중량 제안식이 세립분이 많이 함유된 흙이나 높은 함수비의 흙에서는 정확한 값을 도출하기 어렵다고 하여 새로운 중량함수비 및 건조단위중량의 식을 제안하였다.
또한 Thring et al.(2014)은 측정된 겉보기 유전율 값으로 도출한 체적함수비와 건조단위중량으로부터 중량함수비를 추정할 수 있는 비교적 간단한 세 가지 방법을 제안하였다. Song et al.(2015)은 화강 풍화토 및 주문진 표준사를 대상으로 검증실험을 진행하였으며, Jung et al. (2013)이 제안한 보정방정식에 대한 문제점을 도출하여 함수비 예측을 위한 새로운 보정방정식을 제안하였다.
기존의 Purdue TDR 시스템은 봉형 프로브를 사용하며 이는 몇 가지 문제점이 발생할 수 있다. 봉형 프로브는 지반에 관입을 시켜야 하며 프로브를 망치로 타격하는 소정의 작업이 필요하고 단단한 지반에는 관입에 어려움이 있으며, 또한 주변 지반의 교란이 발생할 수 있는 문제점이 있다.
이러한 문제점을 해결하기 위해 Song et al.(2016a)은 지반 표면에서 측정할 수 있도록 Flat 프로브를 개발하여 기존의 봉형 프로브의 문제점을 개선하였다. 개발한 Flat 프로브의 측정값을 검증하기 위해 네 가지 시료를 사용하여 함수비와 다짐도를 변화시켜가며 실내실험을 수행하였다. 그 결과 건조단위중량의 오차범위 약 2%, 함수비의 오차범위 약 0.5%의 오차를 보이는 것으로 확인하였다. 또한 Song et al.(2016b)은 개발한 Flat 프로브에 탄성파 측정 장치인 Piezoelectric stack을 결합하여 함수비와 건조단위중량의 측정과 동시에 지반의 강성을 측정하였다. 탄성파 측정 시스템의 현장 적용성을 검토하기 위하여 시료에 그라우팅용 마이크로 시멘트를 혼합하여 시간의 경과에 따른 탄성계수를 측정하였다. 그 결과 양생기간이 늘어남에 따라 압축파 및 전단파의 도달시간이 단축됨을 확인하였고, 전파속도를 바탕으로 탄성계수를 산정할 수 있다고 하였다.
본 연구에서는 Flat TDR 시스템의 영향범위를 확인하고자 유한요소해석을 수행하였으며, 측정값에 대한 정밀도와 신뢰성 확보를 위해 여섯 가지의 시료를 사용하여 실내실험을 수행하였고, Flat TDR 시스템의 측정값과 실측값을 비교하여 정밀도를 확인하였다. 또한 검증된 기존의 Purdue TDR 시스템과 측정값을 비교하여 Flat TDR 시스템의 신뢰도를 높였고, 현장 두 곳을 방문하여 현장 적용성을 검토하였다.
2. TDR 적용 이론
2.1 TDR의 측정 기본원리
TDR 시스템은 신호 발생기에서 발생한 전자기파가 흙 속에서 이동하고, 그 전도 특성을 이용하는 시스템이다. 이러한 특성을 이용해 흙 속에 관입된 프로브의 전자기파의 반향 시간을 측정하고 반향 특성을 이용하여 흙의 유전상수 및 전기전도도를 측정한다. 이와 같은 원리를 통해 흙의 유전상수 및 전기전도도를 이용하여 함수비 및 밀도를 평가한다.
2.2 함수비와 건조단위중량 측정
Fig. 1(a)는 Purdue TDR 시스템을 보여주며, 흙의 유전상수(
) 및 전기전도도(
)는 Fig. 1(b)와 같은 TDR 신호 전파에서 얻을 수 있다. Fig. 1(a)에서 흙 속에 관입된 프로브의 길이를 (
)라 하고, Fig. 1(b)에서 첫 번째 반사 지점과 두 번째 반사 지점 사이의 거리를 겉보기 길이(
)라고 하여 흙의 유전상수(
)는 식 (1)과 같이 표현할 수 있다.
(1)
또한 전기전도도(
)는 식 (2)와 같이 표현할 수 있다.
(2)
여기서,
는 스텝 펄스의 두 배 크기의 전압이며,
는 장주기전압레벨이다. 그리고
는 프로브의 구조에 관련된 상수이며, 식 (3)과 같이 정의할 수 있다(Giese et al,. 1975; Yu et al., 2004). 여기서
는 TDR 신호 생성기의 내부저항(
)이다.
(3)
Siddiqui et al.(1995)은 기존의 함수비 보정식들이 체적함수비로 표현되고, 밀도효과를 포함하고 있어 복잡하고 현장에서 바로 적용하기 어렵다고 하여 중량함수비로 이루어진 식 (4)를 제안하였고, 이는 다양한 흙에 대하여 만족스러운 결과를 보여주었다(Sallam et al., 2004).
(4)
여기서,
는 물의 단위중량,
는 흙의 건조단위중량,
는 중량함수비, 그리고
와
는 흙의 특성상숫값이다.
또한 Yu et al.(2004)은 기존의 전기전도도에 관한 식이 단위중량에 대한 고려가 없으며 체적함수비로 표현되어 있어 지반공학적으로 응용하는데 부족하고, 흙의 총 전기전도도의 지배 요인은 간극 유체의 전기전도도이기 때문에 간극유체의 양이 흙의 총 전기전도도를 지배한다고 보고 식 (5)를 제안하였다.
(5)
여기서,
와
는 흙의 특성상수 값이며, 식 (4)와 식 (5)를 이용하여 흙의 특성상숫값을 산정하고, 측정된 유전상수와 총 전기전도도를 이용하여 식 (6), (7)과 같이 현장지반의 건조단위중량과 함수비를 계산할 수 있다(Yu et al., 2004).
(6)
(7)
3. Flat TDR 시스템 구성
3.1 TDR 측정 장비
본 연구에서는 TDR 프로브를 통해 전파된 펄스가 지반에 접촉된 프로브를 따라 다시 반사되어 오는 것을 계측하기 위해 Fig. 2(a)와 같이 CAMPBELL SCIENTIFIC, INC.(USA)에서 제작한 TDR 측정 시스템을 사용하였다.
TDR 측정 시스템을 살펴보면 Fig. 2(b)와 같이 TDR 시스템에 전원을 공급하기 위한 12V 배터리, 탄성계수 예측을 위한 PC 오실로스코프, TDR 프로브에 신호를 보내 반사된 신호를 측정할 수 있는 TDR100으로 구성되어 있다.
3.2 Flat 프로브
본 연구에서 사용한 Flat 프로브의 크기는 30.5 * 30.5 cm의 폴리머 재질의 판에 폭 2.5cm의 구리 띠가 부착되어있다. Knight et al.(1997), Ferre et al.(1998)이 제안한 유한요소해석을 통하여 프로브의 크기를 결정하였고, 구리 띠 사이의 간격은 5cm로 총 세 개가 부착되어 있다. 기존 봉형 프로브와 달리 지반 표면에 접촉시켜 측정하는데 이때 매질 차이에 의한 전파 간섭 문제를 해결하기 위해서 폴리머 재질이 사용되었다(Fig. 3).
3.3 유한요소해석을 통한 Flat 프로브의 영향범위 분석
Song et al.(2016b)에서 수행한 영향범위 유한요소해석에서는 유전상수를 입력 변수로 하여 영향범위를 확인하였으며, Flat 프로브의 아래 방향으로 약 5cm로 산출하였다(Fig. 4).
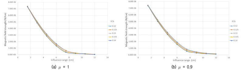
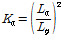
본 절에서는 투자율과 전기전도도를 변화시켜 영향범위를 분석하였으며, 유한요소해석 프로그램 Abaqus 6.14의 Electromagnetic Model type을 이용하여 Flat TDR 시스템의 영향범위를 분석하였다. TDR 100의 출력 압력은 250mV이고 50ohms의 저항을 가지며, 전류는 5mA이다.
구리는 반자성체이므로 구리의 상대 투자율은 1을 사용하였고, 각 지반마다 특성이 다르므로 지반의 투자율을 1, 0.9 두 개의 case로 분석하였다. 각 지반의 투자율마다 지반의 전기전도도를 0.12, 0.125, 0.13, 0.135, 0.14 다섯 가지로 0.005씩 증가시켜가며 분석하였고, 이 전기전도도의 값은 실제 Flat TDR 시스템으로 측정하였을 때 가장 대표적으로 나타나는 전기전도도 값을 사용하였다. 추가적으로 지반의 단위중량, 유전율을 변화시켜가며 분석을 해보았으나 자기장의 값과 영향범위는 변화가 없어 투자율과 전기전도도를 변화시켜 분석하였다. Table 1은 고정된 물성치 건조단위중량(
), 절대온도(
), 유전율(
), 전기전도도(
)이며 Table 2는 각 투자율에 따른 지반의 물성치이다.
지반은 40cm * 100cm의 크기로 모델링 하였으며, Fig. 5(a)와 같이 지반 상부에 30cm의 구리 띠를 접촉시켰고, 요소의 크기는 1.5cm * 1.5cm로 분석하였다. Fig. 5(b) 는 해석결과이며 Fig. 6은 각 투자율과 전기전도도에 대한 지반의 깊이에 따른 자기장의 세기를 나타낸 그래프이다.
유한요소해석 결과 투자율과 전기전도도가 증가할수록 자기장의 세기가 약해지는 경향을 보이며 Fig. 6과 같이 해석결과가 나타난다. 그 이유는 전류밀도는 자기장의 세기와 전기전도도를 곱한 값이고, 투자율은 자기장의 세기에 반비례하며, 전류밀도는 250mV로 일정하다. 따라서 전기전도도와 투자율이 증가할수록 자기장의 세기는 감소한다.
유한요소해석을 통해 확인한 결과 TDR 시스템의 전파는 지반의 약 10cm까지 영향을 미치는 것으로 판단된다. 또한 유전율은 함수비 및 건조단위중량을 도출하는데 중요한 요소이지만 전파의 영향범위에는 영향이 미치지 않는 것으로 확인되었다.
4. 실내 및 현장시험
4.1 실내 실험 시료
본 절에서는 각 시료에 따른 TDR 신호와 측정값에 대한 정밀도를 분석하기 위해 총 여섯 가지 시료를 사용하였으며, 사용한 시료는 주문진 표준사와 광주광역시 인근 지역 옥과, 섬진강에서 채취한 시료와, 원주 현장 시료, 경주 현장 시료, 실내 대형 시험에 사용된 A 시료를 사용하여 실험을 진행하였다.
4.2 Flat TDR 실험
본 절에서는 Flat TDR 시스템의 측정값에 대한 정밀도를 확인하기 위해 여섯 가지의 시료를 이용하여 함수비와 단위중량의 변화에 따른 TDR 파형을 측정하여, 각 시료에 따른 전기전도도와 유전상수를 측정하였다. 함수비를 3∼15%의 범위에서 3%씩 변화시켰으며 증류수를 사용하여 함수비를 조성하였다. 다짐은 A 다짐봉으로 3층 40회 다짐을 실시하였고 균일한 다짐을 위해 Fig. 8(a)와 같은 철판과 몰드(33*33*10cm)를 제작하여 시료 위에 올려놓고 다짐봉으로 타격하였다. Flat TDR 실험은 다음과 같은 절차로 수행되었다.
(1)제작한 몰드에 적당한 양의 시료를 넣고 철판을 올린 뒤 A 다짐봉으로 3층 40회 다짐을 한다.
(2)다짐 완료 후 몰드의 칼라를 제거한 뒤 트리머를 이용하여 시료를 제거한다. 시료의 성형이 완료되면 몰드와 함께 시료의 무게를 측정한다.
(3)다져진 시료 위에 Flat 프로브를 올려놓고 TDR 신호를 측정한다. 신호의 측정은 3회 실시한다.
(4)TDR 신호 측정이 끝난 후 몰드의 중앙에서 시료를 채취하여 실측 함수비를 측정한다.
(5)함수비 측정까지 끝난 후 다시 함수비를 조성하여 3%씩 증가시키며 15%의 함수비까지 (1)∼(4)를 반복하여 실시한다.
4.3 Purdue TDR 시스템과 Flat TDR 시스템의 비교실험
Flat TDR 시스템의 측정값에 대한 신뢰도를 얻기 위해 기존의 검증된 Purdue TDR 시스템과 비교실험을 수행하였다. 함수비 변화에 따른 유전상수와 전기전도도를 측정하여 함수비와 건조단위중량을 도출하였고, Purdue TDR 시스템의 측정값과 Flat TDR 시스템의 측정값을 비교하여 정밀도를 확인하였다. 함수비 조성은 증류수를 사용하여 3∼15%까지 3%씩 증가시켰고, A 다짐봉을 사용하여 3층 50회 다짐을 실시하였으며, 각 함수비마다 3회씩 측정하였다. TDR 신호 측정은 Flat TDR 시스템을 먼저 측정 후 Purdue TDR 시스템으로 측정하였다. Purdue TDR 시스템은 봉형 프로브를 사용하여 시료에 교란이 발생하므로 보다 정확한 신호 측정을 위해 Flat TDR 시스템을 먼저 측정하였다.
본 절에서는 Purdue TDR 시스템과 Flat TDR 시스템의 비교실험이 정확하고 신뢰성 향상을 위해 Fig. 9(a)와 같이 아크릴 재질의 몰드(직경 50cm, 높이 23cm)를 제작하여 동일한 실험 조건을 조성하였다. 또한 균질한 다짐을 위해서 10kg의 원형 철판을 제작하였다. 섬진강 시료와 원주 시료를 사용하였으며, 두 가지 시료 75kg씩 24시간 노건조 시켜 준비하여 실험을 수행하였다. 실험절차는 다음과 같다.
(1)제작한 몰드에 적당한 양의 시료를 넣고 철판을 올린 뒤 A 다짐봉으로 3층 50회 다짐을 한다.
(2)다짐 완료 후 몰드의 칼라를 제거한 뒤 트리머를 이용하여 시료를 제거한다. 시료의 성형이 완료되면 몰드와 함께 시료의 무게를 측정한다.
(3)다져진 시료 위에 Flat 프로브를 올려놓고 TDR 신호를 측정한다. 신호의 측정은 3회 실시한다.
(4)Flat TDR 시스템의 신호 측정이 끝난 뒤 봉형 프로브를 관입을 위한 가이드 플레이트를 시료 위에 고정시킨 후 내부 도체를 관입시켜 Purdue TDR 시스템의 신호를 측정한다. 신호의 측정은 3회 실시한다.
(5)TDR 신호 측정이 끝난 후 몰드의 중앙에서 시료를 채취하여 실측 함수비를 측정한다.
(6)함수비 측정까지 끝난 후 다시 함수비를 조성하여 3%씩 증가시키며 15%의 함수비까지 (1)∼(5)를 반복하여 실시한다.
4.4 현장시험
본 절에서는 Flat TDR 시스템을 이용한 현장에서의 함수비와 건조단위중량을 측정하기 위해 실내 대형 시험에 사용한 A 시료와 경주 시료를 채취하여 실내실험을 수행하였고 각 시료의 유전상수와 총 전기전도도, 보정 계수를 도출하였다. 실내실험의 결과를 토대로 현장시험을 실시하였고, Flat TDR 시스템을 이용한 현장 지반의 함수비와 단위중량을 측정하여 현장 적용성을 검토하였다. 다음은 현장시험의 순서를 나타낸다.
(1)시험장소를 선정한다.
(2)선정한 시험장소 지반의 수평 확인 후 Flat 프로브를 지반 표면에 접촉시킨다.
(3)TDR 신호를 측정하여 전기전도도와 장주기 전압 레벨을 측정한다.
(4)측정된 신호를 확인하여 안정적인 신호로 판단시 3회 반복하여 측정한다.
(5)시험 종료 후 들밀도 시험을 실시하고 소량의 시료를 채취한다.
5. 실내 및 현장시험 결과
5.1 시료별 특성 상숫값 결정
여섯 가지의 시료를 통해 함수비와 단위중량의 변화에 따라 Flat TDR 시스템의 신호를 2장에서 기술한 이론을 바탕으로 분석하였고, 각 시료의 유전상수 및 전기전도도를 측정하여 보정 계수를 산출하였다. 2.2절에 제시한 식 (6), (7)을 사용하여 함수비와 유전상수 및 전기전도도와의 관계에 대해 선형회귀분석을 수행하였고, 각 시료의 특성 상숫값은 Table 4와 같다.
5.2 Flat TDR 시스템의 검증실험결과
본 연구에서 Flat TDR 시스템을 이용하여 유전상수와 전기전도도, 각 시료의 특성상숫값을 도출하여 함수비와 건조단위중량을 측정하였다. 실측 함수비와 건조단위중량을 측정하여 Flat TDR 시스템으로 측정한 값과 비교하여 정밀도를 분석하였다.
Yu et al.(2004)는 함수비 오차범위 ±1%를 사용하였고, Jung et al.(2013)은 건조단위중량 오차범위 ±5%를 사용하였다. 이를 토대로 Flat TDR 시스템의 측정값의 오차범위를 확인하였다.
각 시료별 실측 함수비와 건조단위중량의 측정값을 기준으로 Flat TDR 시스템의 측정값과 비교하였다. Fig. 11은 함수비의 실측값과 측정값을 비교한 그래프이며 측정값이 실측값에 비해 약 0.2∼0.8%의 오차를 보이고 있다. Yu가 사용한 함수비 오차범위와 비슷한 오차범위를 보인다.
Fig. 12는 건조단위중량의 실측값과 측정값을 비교한 그래프이며 측정값이 실측값에 비해 약 2∼3%의 차이를 보이고 있다. Jung이 사용한 오차범위보다 더 작은 오차를 보인다.
5.3 Purdue TDR 시스템과 Flat TDR 시스템의 비교실험결과
본 연구에서 Flat TDR 시스템을 이용한 함수비 측정값에 대한 정밀도와 신뢰도 향상을 위해 기존의 검증된 Purdue TDR 시스템과 비교실험을 진행하여 Flat TDR 시스템의 측정값과 Purdue TDR 시스템의 측정값을 비교 분석하였다.
섬진강 시료와 원주 시료를 이용하여 실험을 수행하였으며, 실측함수비와 건조단위중량을 기준으로 하여 각각의 측정값을 비교하였다.
각 시스템의 측정값과 실측값을 비교하였으며 Fig. 13은 함수비를 비교한 그래프이며 Flat TDR 시스템의 측정값은 실측값에 0.2%의 오차를 보이고, Purdue TDR 시스템의 측정값은 0.4%의 오차를 보인다.
Fig. 14는 건조단위중량을 비교한 그래프이며 Flat TDR 시스템의 측정값은 실측값에 0.2%의 오차를 보이고, Purdue TDR 시스템의 측정값은 0.4%의 오차를 보인다.
5.4 현장검증시험결과
Flat TDR 시스템의 현장 적용성 평가를 위해 경주 현장과 실내 대형 시험 장소에서 현장시험을 수행하였다. TDR 신호 측정한 위치에서 소량의 시료를 채취하여 실측 함수비를 측정하였고, 들밀도 시험을 통해 실측 건조단위중량을 도출하였다.
Fig. 15는 실측함수비와 측정값의 비교를 나타내며, Fig. 16은 실측건조단위중량과 측정값을 비교하였다. 함수비는 측정값이 실측값에 비해 0.5∼0.9%의 오차를 보이며 건조단위중량은 약 2.5%의 오차를 보인다.
6. 결 론
본 연구에서는 기존의 Purdue TDR 시스템에서 사용되고 있는 봉형 프로브의 문제점을 개선하고 신속한 다짐 관리를 위해 Flat Type의 프로브를 제작하였다. 개발한 Flat 프로브는 지반 표면에서 측정하기 때문에 기존의 봉형 프로브의 문제점인 지반에 교란을 시키지 않으며 추가적인 소정의 작업이 없어 보다 신속하다. 개발한 Flat TDR 시스템을 검증하기 위해 여섯 가지의 시료를 사용하여 Flat TDR 시스템으로 함수비와 건조단위중량을 측정하고, 실측값과 비교하는 실내실험을 수행하였다. 또한 측정값의 신뢰성과 정밀도를 확인하기 위해서 검증된 기존의 Purdue TDR 시스템과 동일한 실험조건을 조성하여 각각의 측정값을 비교하여 정밀도를 확인하였다. 또한 실내실험 결과를 토대로 현장시험을 실시하였고, 실측값과 측정값을 비교분석하였다. 본 연구를 통하여 다음과 같은 결론을 얻었다.
(1)유한요소해석을 통해 Flat TDR 시스템의 영향범위를 확인하였다. 그 결과 약 10cm의 영향깊이를 보였으며, 유전율을 변화시켜 해석을 해보았으나 자기장의 세기는 일정한 크기를 보였다. 이를 통해 유전율은 함수비와 건조단위중량을 도출하는데 중요한 요소이지만 TDR 시스템의 전파에는 영향을 미치지 않은 것으로 확인되었다.
(2)Flat TDR 시스템으로 각각 시료의 특성상수와 유전상수, 전기전도도의 값을 도출하였고, 도출된 값을 바탕으로 하여 함수비와 건조단위중량을 산정하였다. 실측값에 비해 측정된 함수비는 평균적으로 약 0.4%의 오차를 보였으며, 건조단위중량의 경우 평균적으로 약 2%의 오차를 보였다. 이를 통해 개발한 Flat TDR 시스템의 정밀도를 확인할 수 있었다. Yu 와 Jung 이 사용한 오차보다 더 작은 오차를 보이므로 보다 더 정확한 값을 도출하는 것을 확인하였다.
(3)Flat TDR 시스템과 Purdue TDR 시스템의 정밀도를 비교하기 위하여 동일한 실험조건을 조성하고 두 가지 시료를 사용하여 실내실험을 수행하였다. 지름 500mm, 높이 200mm의 몰드를 제작하였고, 시료에 교란을 주지 않는 Flat TDR 시스템으로 측정 후 Purdue TDR 시스템을 측정하였다. 함수비와 건조단위중량을 실측값과 비교한 결과 Flat TDR 시스템은 함수비의 경우 약 0.2%의 오차를 보였고, 건조단위중량의 경우 평균 약 1.6%의 오차를 확인하였으며, Purdue TDR 시스템은 함수비의 경우 0.7%, 건조단위중량의 경우 약 2.5%로 Flat TDR 시스템이 보다 정확한 값을 도출하는 것을 확인할 수 있었다.
(4)현장시험의 결과, 실측 함수비와 건조단위중량에 대하여 Flat TDR 시스템의 측정값은 함수비의 경우 약 0.8%의 오차를 보이며, 건조단위중량의 경우 약 2.5%의 오차를 보인다. 이는 실내실험의 결과와 매우 유사한 정밀도를 보이며 Flat TDR 시스템은 현장지반의 다짐관리에 있어서 매우 유용하게 사용될 것으로 판단된다.
본 연구를 통하여 개발한 Flat TDR 시스템의 현장적용을 위해서는 현장 시료를 채취하여 실내실험을 먼저 수행해야 하는 단점이 있지만, 기존의 재래식 다짐관리 방법보다 신속하고 보다 정확한 함수비와 건조단위중량을 도출할 수 있다. 본 연구는 추후 여러 가지 종류의 흙에 대하여 추가적인 연구를 통해 TDR 시스템의 정밀도와 신뢰도를 더욱더 높이고 현장 적용의 실용화를 위한 기초 연구 자료로 활용할 수 있을 것으로 판단된다.






















