1. 서 론
2. 지반의 탄성계수
2.1 변형률 범위에 따른 탄성계수 변화
2.2 지반조건 및 응력분포를 고려한 탄성계수 산정
2.3 응력상태를 고려한 탄성계수 정규화
3. 시험방법
3.1 평판재하시험(KS F 2310, 2444; ASTM D1195, 1196)
3.2 흙강성측정기(ASTM D6758)
4. 데이터 수집 및 분석
4.1 데이터 수집
4.2 탄성계수 비교
5. 흙강성측정기를 활용한 기초지반 지내력 평가
5.1 기초지반 지내력 판정
5.2 지반조건(풍화토/풍화암)에 따른 고려사항
5.3 흙강성측정기 시험결과의 실무 활용
6. 요약 및 결론
1. 서 론
국내 토공현장에서의 다짐 품질관리 또는 기초의 지내력 평가를 위해 평판재하시험(Plate Load Test, PLT)을 일반적으로 이용한다. 그러나 평판재하시험은 시험결과의 판독에 시간이 오래 걸리고, 복잡한 현장여건에서 덤프트럭, 굴삭기 등의 중대형 장비가 재하시험을 위한 하중반력으로 이용되기 때문에, 시험 중 안전사고의 위험에 노출될 수 있는 단점이 있다. 최근에는 평판재하시험을 대체하기 위한 시험방법으로 다양한 형태의 비파괴 측정장치가 개발되어 적용되고 있는데, 특히, 도로 및 철도분야에서는 흙강성측정기(Soil Stiffness Gauge, SSG)와 소형 동평판재하시험기(Light Weight Deflectometer, LWD) 같은 소형 비파괴 측정장비의 적용이 확대되고 있으며, 동시에 기존의 정적 평판재하시험과의 상관관계에 대한 연구가 다양하게 수행되고 있다(Lenke et al., 2003; Kim et al., 2005; Kim et al., 2011).
그러나, 각각의 시험방법은 응력과 침하의 관계를 측정하는 방법의 특성상 변형률 수준도 달라지게 되는데, 변형률에 따라 흙의 강성이 변화하는 현상을 고려할 때, 시험방법에 따라 전혀 다른 결과를 도출할 수도 있음을 의미한다. 실무에서 가장 활용도가 높은, 평판재하시험은 중변형률(0.01%~0.1%) 범위의 응력과 침하를 측정하여 지반의 역학적인 특성을 평가한다. 미소변형 시험에 비해 변형률이 상대적으로 크게 발생하는 특성으로 인해, 경우에 따라 지반이 탄소성 상태가 되어 탄성계수 산정결과에 영향을 미치기도 한다(Kim et al., 2005). 반면에 비파괴 측정법은 대체로 미소변형에 해당되는 0.001% 변형률 범위의 동적 탄성계수를 측정하므로, 변형률이 큰 정적 탄성계수에 비해 크게 평가할 수도 있다(Clayton, 2011; Kim et al., 2013; Kim, 2015). 이와 같이, 탄성계수는 지반의 고유한 특성치 임에도 불구하고, 시험방법에 따라 각각 측정하는 변형률 범위가 다르므로, 각 시험방법에서 도출한 탄성계수를 실무에 적용할 때는 주의가 필요하다.
본 연구에서는 기초지반의 지내력 평가를 위한 일반적인 시험방법인 평판재하시험으로 산정한 정적 탄성계수를 미소진동을 이용하여 비파괴적으로 미소변형률 범위에서 비파괴적으로 기초지반의 강성을 측정하는 흙강성측정기로 측정한 동적 탄성계수와 비교하여, 시험의 변형률 수준 및 지반의 강성조건 등에 따른 탄성계수 산정값에 대한 영향을 고찰하였다. 분석 데이터로는 국내·외 도로현장을 대상으로 연구된 3개소의 실내·현장시험 데이터와 국내 3개 지역에서 기초지반 지내력 평가를 위해 실측한 현장 데이터를 사용하여 1:1로 비교·분석하였다.
2. 지반의 탄성계수
2.1 변형률 범위에 따른 탄성계수 변화
비파괴시험은 시험과정 중 변형이 미소하게 발생하여 소성변형이 발생하지 않기 때문에 탄성 거동을 나타내지만, 일정 수준의 변형을 유발시키는 평판재하시험의 응력과 침하의 관계는 소성변형을 포함하는 탄소성 거동을 나타낸다. 따라서, 변형률 범위가 다른 두 가지 시험으로 산정한 흙의 고유치인 탄성계수는 시험방법에 따라 구분하여 사용하거나 동일 조건에 대한 보정이 필요하다.
2.2 지반조건 및 응력분포를 고려한 탄성계수 산정
평판재하시험은 준선형탄성(quasi-linear elastic) 영역에서 탄소성(elastic plastic) 영역 사이의 중변형률 범위에 해당한다(Fig. 1 참조). 그러나, 일반적인 평판재하시험에서는 최대 시험응력 단계까지 항복이 나타나지 않는 경우가 많으며, 이러한 경우에는 응력-침하곡선이 직선으로 나타나 선형탄성(linear elastic) 영역에 존재하는 것으로 간주할 수 있기 때문에, 해당 지반의 응력-침하관계는 탄성론에 기반하여 나타낼 수 있다.
평판재하시험을 이용하여 탄성계수를 산정할 때는, Fig. 2에 나타낸 바와 같이, 하부 지반의 조건에 따라 평판의 변형 및 상부 응력분포가 달라지는 영향을 고려할 필요가 있다. 특히, 하부 지반의 강성조건이 크게 변화할 경우, 평판재하시험으로 평가한 탄성계수는 지반에 따라 구분하여 적용하여야 한다. 평판에서 발생하는 상대적인 변위에 따라, 평판은 유연한 평판 또는 강성 평판으로 구분되며, 평판 중심하부에서 발생하는 변위는 각각 식 (1), (2)와 같이 나타낼 수 있다(Yoder and Witczak, 1975; Huang, 2004).

Fig. 2
Pressure distribution and settlement shape depending on plate type: (a) Flexible plate (b) Rigid plate (modified from Huang (2004))
여기서, s=평판 중심하부 발생변위(mm), ν=포아송비, p=평균 평판압력(MPa), R=평판 반경(mm), EPLT(rigid), EPLT(flexible)=강성 평판 및 유연한 평판으로 산정한 탄성계수(MPa)
2.3 응력상태를 고려한 탄성계수 정규화
평판재하시험에서 산정한 정적 탄성계수(EPLT)는 비파괴시험으로 측정한 동적 탄성계수(ESSG)에 비해 하중재하에 따른 변형률이 증가할수록 기초지반에 작용하는 평균유효응력이 증가하게 되어 탄성계수를 과대평가할 수 있다. 탄성계수는 지반의 강성계수, 간극비, 과압밀비, 평균유효응력, 구속압력 영향계수 등을 고려해야 하므로(Hardin and Drenevich, 1972; Clayton, 2011), 현장의 하중규모에 따른 변형특성을 고려한 합리적인 탄성계수를 산정하기 위해서는, 동일한 응력상태를 기준으로 산정된 데이터를 비교해야 신뢰성 있는 상관관계를 도출할 수 있다. 응력영향을 보정한 탄성계수는 식 (3)을 이용하여 계산할 수 있으며, 구속압 보정계수(n)는 지반특성 값으로 흙의 종류에 따라 n=0.2~0.5 범위의 값을 적용한다(Kim et al., 2005; Kim, 2015).
여기서, Ecorrected=응력보정 탄성계수(MPa), Eoriginal=하중재하 시의 평균유효응력에서의 탄성계수(MPa), σ'm,reference=기준 평균유효응력(kPa), σ'm,original=하중재하 시의 평균유효응력(kPa), n=구속압 보정계수.
3. 시험방법
3.1 평판재하시험(KS F 2310, 2444; ASTM D1195, 1196)
정적 평판재하시험은 다짐 및 지내력 평가를 위한 토공 품질관리에 주로 사용되고 있는 전통적인 현장 시험법이다. 일반적으로 도로의 경우는 30cm 직경의 평판을 사용하고, 공항 활주로의 경우에는 76cm 직경의 평판을 사용한다. 평판의 휨방지를 위해 직경이 작은 판으로 강성을 보완하기도 하며, 하중은 유압잭을 통해 평판으로 전달되어 반력으로 작용한다. 유압잭 용량은 지반종류에 따라 약한 지반의 경우 50kN, 단단한 지반의 경우 100~300kN 용량을 확보해야 한다. 국내 시험기준은 두 종류가 있다. 하나는 도로의 평판재하시험으로 도로의 노반 두께의 설계나 성토 구조물의 다짐시공 및 품질관리 방법으로 사용되는 방법으로(KS F 2310), 도로, 철도, 공항은 1.25mm 침하량을 기준으로 하고, 저장소(탱크) 기초는 5mm를 기준침하로 하여 지반반력계수를 산정한다. 이때, 지반반력계수(KPLT)는 식 (4)를 이용하여 계산한다(Yoder and Witczak, 1975). 다른 하나는 기초지반의 평판재하시험으로 구조물 기초설계에서의 지반반력계수나 극한지지력을 구하는 방법이다(KS F 2444). 평판재하시험의 결과는 불균질한 층으로 구성된 지반에 대한 종합적인 지지특성을 나타내지만, 재하하중의 영향깊이는 평판 직경의 1.5~2배로 상대적으로 얕기 때문에 실제 기초에 작용하는 하중규모의 기초크기에 따른 영향깊이와는 다름을 고려해야 한다.
여기서, KPLT는 평판에 단위면적당 하중 p(kN/m2)가 작용하여 s(mm) 만큼의 침하가 발생할 때의 지반반력계수(MN/m3)로 정의한다.
Fig. 3은 평판재하시험의 일반적인 응력-변형 관계를 나타내고 있으며, 초기 접선 탄성계수(EPLT(i)), 할선 탄성계수(EPLT(s)), 반복재하 탄성계수(EPLT(r))의 개념적 정의를 나타내었다. 일반적인 비반복식 정적 평판재하시험은 반복하중을 무시하고 초기 재하단계의 탄성계수를 산정한다. 초기 접선 탄성계수는 응력상태, 간극비가 직접적인 영향을 미치며, 시험 중 발생하는 소성변형을 상당량 포함하기 때문에 노반설계 등의 반복하중을 고려하는 조건의 지반강성을 평가하기는 어렵다. 따라서 소성변형을 억제하기 위해 2회 이상의 재하가 이루어지는 반복식 평판재하시험을 통한 탄성계수의 산정을 추천하는 경우도 있으며, 검토목적에 적합한 시험을 수행하여 탄성계수를 평가하고 실무에 적용해야 한다(Alshibli et al., 2005; Kim et al., 2005).
평판재하시험의 영향범위는 일반적으로 평판 직경의 1.5~2배로 생각한다. 평판재하시험의 영향범위에 대한 탄성계수(EPLT) 매개변수는 균질한 반무한 탄성체에 대한 Boussinesq의 탄성이론에 의해 정의되며, 식 (5)와 같이 나타낼 수 있다(Timoshenko and Goodier, 1970).
여기서, 형상계수 f는 평판 하부의 응력분포에 따라 달라지며, 평판의 강성과 하부재료에 대한 함수이다. 평판 하부의 응력분포는 균일(f=2)한 분포에서부터 포물선(f=8/3), 역포물선(f=π/2) 분포까지 다양하다. 점성이 있는 지반에 위치한 강성이 큰 평판은 역포물선 모양의 응력분포를 생성하고, 점성이 없는 지반의 유연한 평판은 포물선 분포의 응력을 생성한다. 따라서, 평판과 지반강성에 따른 상대적인 변형정도에 따라 다양한 형태의 응력분포(f=π/2~2)가 생성될 수 있다.
보통의 평판재하시험은 강성판 거동을 보인다고 가정하므로, 탄성계수 산정 시 f=π/2를 적용한다. 이렇게 산정한 탄성계수는 f=2를 적용하는 경우에 비해 79% 작은 값을 나타내게 되는데, 이는 강성 평판 하부압력의 분포가 중심부에서 작고 가장자리에서 큰 형태를 보이기 때문이다. 이와 같이, 지반강성에 따라 발생하는 응력분포의 형상이 달라지게 되고, 이로 인해 각각 다른 탄성계수가 산정될 수 있는데, 이는 표준시험법으로서의 평판재하시험의 단점이 될 수 있다. 다만, 평판재하시험 결과는 일반적으로 현장조건에 비해 보수적인 결과를 나타내고, 다양한 조건에 대한 많은 실적을 가지고 있기 때문에, 실무적인 시험법으로 광범위하게 적용되고 있다.
본 연구에서는 침하가 상대적으로 큰 토사지반에서의 평판재하시험은 연성판 조건의 등분포 응력분포로 가정하고, 풍화암 이상의 변형이 작은 지반에서의 평판재하시험은 강성판 조건의 역포물선 응력분포를 나타내는 것으로 고려하였으며, 이를 위해 f=2~π/2 범위로 지반강성에 따라 달리 적용하여 산정한 탄성계수와 비교하였다.
3.2 흙강성측정기(ASTM D6758)
흙강성측정기(Soil Stiffness Gauge, SSG)는 흙 또는 흙-골재 혼합재료의 탄성계수를 간편하고 신속하게 측정이 가능하여 현장 다짐품질 관리에 유용한 시험장치이다. 당초 군사용으로 개발된 후 상용화 되면서 지반 탄성계수를 비파괴적으로 측정하는 휴대장비로 개선되었다(Fiedler et al., 1998). 흙강성측정기는 미소진동에 의한 힘으로 발생하는 지반변형을 측정하고 흙의 임피던스를 평가하는 원리를 이용하여 특성치를 산정한다. 지표면에서 발생시킨 힘이 지반으로 전달되면, 시간의 함수로 표면 속도를 측정하는 동시에 변위를 측정하여 이를 통해 탄성계수를 산정한다. 무게는 10kg 내외이고 크기는 직경 280mm, 높이 254mm 크기로 한 명의 작업자가 휴대 가능하며, 한 지점에서 1회 측정시간은 약 75초 소요되어 통상 2~3회 측정에 소요되는 시간은 약 5분 내외이다. 장치 내부의 진동기는 100~196Hz 범위의 25개 진동수로 변화시키면서 1.27×10-6m 이하의 수직 변형을 발생시키고, 이때 장치 내부의 지오폰을 이용하여 발생 변위를 산정한다. 일반적인 교통하중의 주파수는 30Hz 이하로 발생하므로 외부하중으로 인한 측정치의 영향은 크지 않은 것으로 보고되고 있다. 선형탄성, 균질, 등방성 반무한체에서의 링기초에 대한 지반강성과 탄성계수의 상관관계는 식 (6)와 같이 나타낼 수 있다(Poulos and Davis, 1974; Fiedler et al., 1998; Lenke et al., 2003; Sawangsuriya et al., 2006).
여기서, R은 링기초 반경(=57.15mm), ω(n)는 링기초 형상계수(=0.565), ESSG와 KSSG의 단위는 각각 MPa와 MN/m이다.
평판재하시험을 이용하여 산정하는 탄성계수는 약 30%의 COV(coefficient of variance)를 나타내어 일관성 있는 값을 도출하기 어려운 지반 특성치로 평가된다. 반면에 흙강성측정기로 측정하는 탄성계수는 약 4% 내외의 COV를 나타내어 비교적 안정적인 수치를 제시하는 장점이 있는 것으로 보고되고 있다(Lee et al., 1983; ASTM D6758).
4. 데이터 수집 및 분석
4.1 데이터 수집
평판재하시험(PLT)과 흙강성측정기(SSG) 시험을 동시에 시행한 실내 및 현장시험을 대상으로 데이터를 수집하였고, 실내시험 22회, 현장시험 57회 등 총 79회의 1:1 매칭 데이터셋을 기반으로 분석에 활용하였다. 기존 문헌에서 발표된 국내·외 도로현장에 대한 연구 데이터와 국내 기초시공 현장에서 수집한 비교시험 실측 데이터를 포함하여 분석을 수행하였다. 대상 토질은 노상토는 점토, 사질토, 자갈질토, 시멘트처리토, 석회처리토 등의 다양한 강성조건을 가진 지반을 대상으로 하였고, 기초 하부지반으로는 매립토, 풍화토, 풍화암 등을 대상으로 하여, 다양한 강성 및 지반조건에 대한 비교·분석이 가능하도록 하였다. 사용된 데이터 출처 및 관련사항은 Table 1에 요약하였다.
Table 1.
Data collection for comparative studies
| Test ID | Type | Reference | Number | Soil description |
| A | Lab. test | Seyman (2003) | 22 |
US highway material: silty and clayey soil (CL, CL-ML), sand (SP), granular (GC, GW, GP), cement treated soil |
| B | Field test | Nazzal (2003) | 22 | US highway field material |
| C | Field test | Kim (2015) | 9 | Subgrade soil: silty sand (SW-SM) |
| D | Field test | This study | 8 | Foundation soil/rock: weathered soil, weathered rock |
| E | Field test | This study | 12 | Foundation rock: weathered rock |
| F | Field test | This study | 6 | Foundation soil/rock: weathered soil, weathered rock |
4.2 탄성계수 비교
4.2.1 평판 응력분포의 영향
일반적으로 평판재하시험을 통하여 지반의 탄성계수를 산정할 경우에는 식 (7)과 같이 강성 평판에 대해 역포물선 형태의 응력분포를 생성하는 것으로 간주하여 f=π/2를 적용한다(Alshibli et al., 2005). 그러나, 2.2절에서 언급한 바와 같이, 평판의 변형은 기초지반의 강성에 따라 상대적으로 변화하는 것이므로, 하부지반의 강성에 따라 응력분포를 달리 적용하여 응력-침하관계를 산정하는 것이 합리적이다. 본 연구에서는 지반강성에 따라 평판에 작용하는 응력분포를 고려하기 위해 지반강성에 따른 형상계수 f를 1.571 부터 2.0까지 적용하여 탄성계수를 산정하였다.
Fig. 5는 흙강성측정기 탄성계수(ESSG)와 평판재하시험 탄성계수(EPLT) 값을 비교한 결과이다. 지반강성에 따른 응력분포 보정계수를 적용한 결과, 전체 경향성은 유사하나 분산이 다소 줄어드는 것을 확인할 수 있다.
4.2.2 구속압력의 영향
강성이 큰 지반은 강성이 작은 지반에 비해 미소변형 시험에서 구속압 변화에 따른 강성변화가 크지 않다(Santamarina et al., 2001). 그러나, 변형률의 범위가 다른 각각의 시험을 통해 산정된 탄성계수의 차이는 크게 발생할 수 있다. 평판재하시험에서 산정한 탄성계수를 동일한 조건에서 비교하기 위해 응력수준에 대한 영향을 보정한 탄성계수는 식 (3)을 이용하여 계산하였고, 구속압 보정계수(n)는 응력에 대해 민감하게 반응할 수 있도록 n=0.5로 가정하였다. 평균유효응력은 평판 직경의 1B 깊이인 약 300mm 하부의 응력을 기준응력으로 정하였고, 하중재하로 발생하는 응력증가량은 0.02%의 변형률이 발생할 때의 응력증가량을 기준으로 하였다. 평판재하시험에서의 대표적 변형특성은 1B 깊이를 기준으로 결정하고자 변형률 영향계수(Iz)는 0.4를 적용하였다.
시멘트처리토와 같은 일부 강성이 큰 지반에서 EPLT가 ESSG에 비해 과대하게 측정되는 경우가 있다. 변형률의 변화에 따라 변형 저감폭이 작음에도 불구하고, 정·동적 탄성계수의 차이가 다른 흙에 비해 크게 발생하는 이유는, 평판재하시험 중 작용하는 평균유효응력 상태가 다르기 때문인 것으로 판단된다. 식 (3)에서 제시한 방법에 따라 하중재하 시 발생하는 응력을 보정한 결과, Fig. 5(c)에 나타낸 바와 같이 수정 가능함을 확인했다.
4.2.3 변형률에 따른 동적효과 보정
앞서 Fig. 1에서 설명한 바와 같이, 미소변형 시험장치인 흙강성측정기와 중변형 시험법인 평판재하시험을 통해 구한 각각의 탄성계수는 동적특성으로 인한 값의 차이가 있게 되며, 변형률 범위에 따른 보정이 필요하다. 토사지반의 경우는 다수의 실내 및 현장시험을 기반으로 60~80%의 탄성계수 저감이 발생하는 것으로 보고되고 있다(Kim et al., 2013; Kim, 2015). 다양한 종류의 자연지반(토사, 암) 및 고화처리지반에 대한 시험 데이터를 비교하기 위해, 문헌자료(Test A, B, C)에 금회 수집한 3개의 현장 데이터(Test D, E, F)를 추가하여 전술한 응력분포 및 응력수준 보정방법을 반영하여 비교한 결과(Fig. 6), EPLT는 ESSG의 평균 56%로 저감되어 나타났다. 이 차이는 동적효과로 인해 저감된 탄성계수를 의미한다. 따라서, 평판재하시험에서 산정한 탄성계수(EPLT)를 흙강성측정기의 탄성계수 측정값(ESSG)을 이용해서 예측하려고 할 때는, 이와 같은 변형률에 따른 동적특성을 고려하여 보정해야 한다.
5. 흙강성측정기를 활용한 기초지반 지내력 평가
5.1 기초지반 지내력 판정
국내의 일반적인 기초지반에 대해 평판재하시험으로 지내력을 평가할 경우에는, 보통 탄성범위 이내로 설계하기 때문에 지지력보다 침하가 중요하다. 따라서, 평판재하시험 결과를 이용해서, 크기효과를 고려한 침하량 기준으로 시공 및 품질관리를 수행한다. 흙강성측정기는 평판재하시험을 대체하여 비파괴적으로 신속하게 지내력을 평가할 수 있는 장점이 있으므로, 현장에서 직접기초 적용가능 여부를 빠르게 판단하여 프로젝트의 공기단축에 기여할 수 있다. 그러나, 앞에서 설명한 바와 같이, 동적인 특성을 가지는 시험법의 결과를 정적인 시험법의 결과치와 비교하기 위해서는 응력분포, 응력수준, 동적효과 등이 탄성계수 측정치에 미치는 영향을 고려해야 한다. 따라서, 측정된 응력-침하관계로부터 산정된 탄성계수를 기초설계 및 시공 실무에 활용하기 위해서는 지반전문가의 평가 및 분석 또한 동반되어야 한다.
5.2 지반조건(풍화토/풍화암)에 따른 고려사항
탄성계수 산정치의 비교를 위해 수집된 데이터를 분석한 결과, 변형률 범위에 따라 달라지는 동적 저감효과는 평균적으로 50~60%인 것으로 나타났다. 이중에서 국내의 대표적인 기초 지지층인 풍화토와 풍화암으로 한정하여 분석하면, 두 지반에 대한 결과가 확연하게 달라지는 것을 Fig. 7에서 관찰할 수 있다. Test D와 Test F는 국내의 풍화토 및 풍화암 지반에서 기초의 지내력 평가를 위해 수행된 결과 데이터이다. 풍화암과 같이 변형이 작은 지반에서는 동적 탄성계수(ESSG)와 정적 탄성계수(EPLT)가 거의 유사하게 평가되었으나, 풍화토의 경우에는 정적 탄성계수(EPLT)는 동적 탄성계수(ESSG)의 약 44% 로 저감되는 것으로 나타났다. 이와 같이 풍화토, 풍화암에 따라 경향이 다르게 나타나는 현상은, Fig. 8에서 나타낸 바와 같이, 지반의 종류에 따라 변형률에 따른 탄성계수 저감폭이 달라지는 것으로 설명할 수 있다. 풍화암에서 동적 탄성계수를 측정할 경우에는, 변형률에 따른 동적 저감이 거의 발생하지 않으므로, 풍화토와 동일한 동적 저감계수를 적용할 경우에는 탄성계수를 과소평가하게 된다. 이는, 풍화토와 풍화암과 같이 강성차이가 큰 지반에서 흙강성측정기를 사용할 경우에는 지반조건에 따라 달리 보정을 적용해야 일관성 있는 탄성계수를 산정할 수 있음을 의미한다.
5.3 흙강성측정기 시험결과의 실무 활용
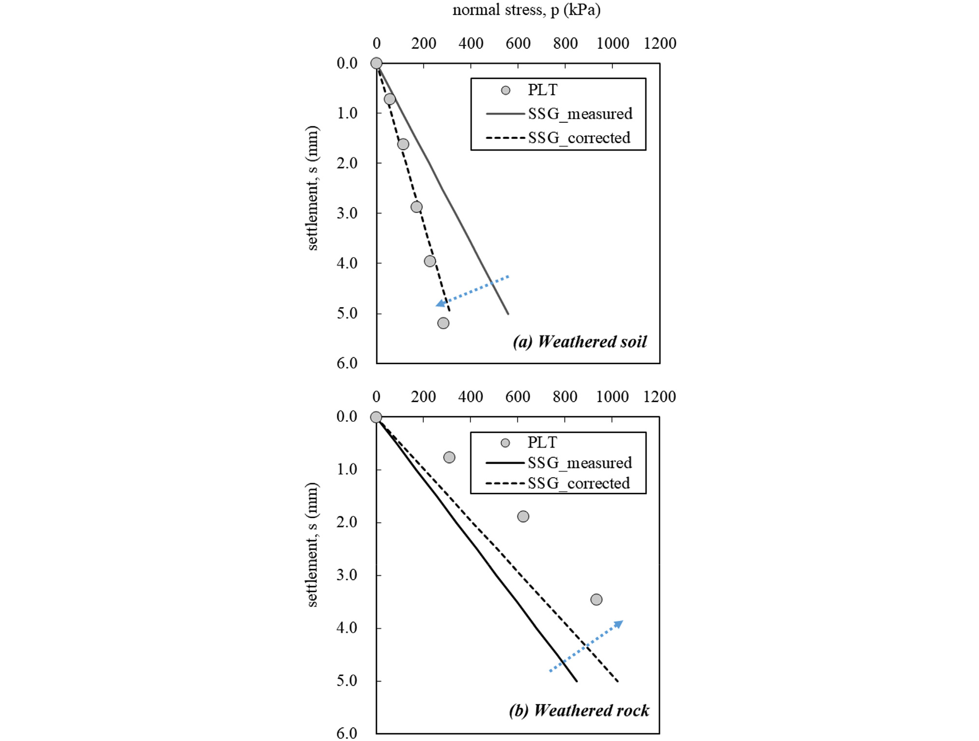
본 연구에서 흙강성측정기를 사용하는 목적은 평판재하시험을 대체하여 신속하고 정확하게 지반의 탄성계수를 평가하는 것이다. 기초의 지내력 평가에 활용하기 위해 국내의 대표적인 지지층인 풍화토 지반과 풍화암 지반에서 시험한 결과, 지반에 따른 동적효과가 다를 수 있음을 Fig. 7을 통해 확인하였다. 지내력 기초는 보통의 풍화토 또는 풍화암 이상의 단단한 지반에 설치되기 때문에 최대 시험응력까지 극한파괴나 항복이 나타나지 않는 경우가 대부분으로, 이 경우에는 지지력 보다는 설계하중에 대한 발생 침하량이 중요하다. 이때, 응력-침하곡선에서 설계하중 작용 시의 침하량에 크기효과를 고려한 예상 침하량이 기준치 이내인지를 확인하는 것으로 지내력 기초의 시공 및 품질관리가 이루어진다. Fig. 9는 풍화토와 풍화암 지반에 위치한 기초에 대해 지내력 만족 여부에 대한 판정을 위해 응력-침하곡선을 도시한 것이다. Fig. 9(a)는 풍화토에 대한 곡선으로, 흙강성측정기로 측정한 응력-침하곡선이 평판재하시험에 의한 응력-침하곡선에 비해 강성을 과대평가하고 있으나, 보정을 통하여 평판재하시험에서 도출한 관계와의 정합성을 개선할 수 있다. Fig. 9(b)의 풍화암에 대한 응력-침하곡선은 풍화토의 경우와는 반대로 흙강성측정기의 측정치가 과소평가하고 있다. 풍화암에서는 변형률 증가에 따른 동적저감이 거의 없는 것으로 나타나지만, 평판에 작용하는 응력분포의 영향을 받기 때문에, 응력-침하관계는 우상향 되어 보정된다. 이와 같이, 조건에 적합한 보정계수를 적용할 경우에는, 평판재하시험을 대체하여 보다 간편하고 신속하게 지내력을 판정하는데 흙강성측정기를 활용할 수 있다.
6. 요약 및 결론
본 연구에서는 흙강성측정기(SSG)로 측정한 동적 탄성계수(ESSG)를 기초지반 지내력 평가에 이용하기 위해, 평판재하시험(PLT)으로 산정한 정적 탄성계수(EPLT)와 비교·분석하여 도출한 결론은 다음과 같다.
(1) 평판재하시험 시 평판 및 지반의 강성에 따라 평판의 휨변형이 달라지게 되며, 그에 따라 발생하는 응력분포의 차이로 인해 탄성계수가 다르게 평가될 수 있다. 따라서, 다양한 데이터에 대한 동일한 조건의 비교를 위해서는, 지반조건 및 평판의 휨강성을 고려한 응력분포에 대한 보정을 수행해야 한다.
(2) 시멘트처리토와 같은 강성이 큰 지반에서 평판재하시험 시 발생하는 응력수준이 일반 토사지반에서의 시험결과와의 차이가 생기므로 동일한 조건에서 비교하기 어렵다. 따라서, 강성이 큰 지반의 경우에는 동일 변형률 수준을 고려한 응력보정을 수행한 후 비교해야 한다.
(3) 국내·외 다양한 지반에 대해 각각의 시험방법으로 측정한 EPLT와 ESSG는 선형의 관계로 나타나며, 정·동적 탄성계수의 차이로 인해 EPLT는 ESSG의 평균 56% 저감된 값을 나타냈다.
(4) 국내 대표적인 기초지반인 풍화토와 풍화암의 경우에는 확연히 다른 패턴의 동적 탄성계수 영향을 관찰할 수 있었다. 풍화암의 경우에는 정·동적 탄성계수의 차이가 거의 발생하지 않는 반면에, 풍화토는 44%의 동적 저감효과가 나타났다.
(5) 풍화토에서는 흙강성측정기가 지반강성을 과대평가하고, 풍화암에서는 지반강성을 과소평가하는 경향이 있으므로, 흙강성측정기를 평판재하시험을 대체하여 활용하고자 할 경우에는, 동적효과, 응력분포, 응력수준 효과를 보정해야 실무에서 효과적으로 적용할 수 있다.










