1. 서 론
지반구조물의 안정성을 확보하거나 침하량을 감소시키기 위해 시멘트와 같은 바인더를 사용한 고결토가 많이 사용되고 있으며, 시멘트계 주입제를 이용한 그라우팅도 지반의 고결력을 증가시키게 된다. 또한, 해상 점토 지반의 개량공법인 심층시멘트혼합공법(Deep cement mixing)에도 시멘트가 사용되며, 육상에서는 가물막이댐 공사에 사용한 사례도 있다(Kim et al., 2005). 이러한 시멘트 혼합토와 관련하여 양생방법이나 수침이 고결모래의 강도에 미치는 영향(Park et al., 2009a, 2009b), 세립분이 고결모래의 강도에 미치는 영향(Park and Choi, 2011), 염분이 고결모래의 양생과정이나 강도에 미치는 영향(Park and Lee, 2012) 등 시멘트 혼합토에 대한 다양한 연구가 수행되었다. 시멘트 이외에도 고분자 수용액이나 에폭시와 같은 고결제를 이용하여 실험실 수준에서 모래나 황토와 같은 점성토를 고결시키는 다양한 연구도 수행되고 있다(Anagnostopoulos and Papaliangas, 2012; Kim, 2020; Lee et al., 2006; Rahmannejad and Toufigh, 2018). 시멘트와 같은 고결제로 고로슬래그, 플라이애쉬 및 에폭시 등이 사용되고 있으며(Park et al., 2007; Park et al., 2013), 친환경 고결제로 카제인, 탄산칼슘, 식물추출액 등을 활용한 연구 사례도 있다(Park et al., 2015; Park and Woo, 2019). 이들 중 에폭시는 강도, 굳기, 접착성, 내마모성, 내약품성, 내수성 등의 공학적 성질이 우수하여 건설 현장에서 콘크리트 균열 또는 이음부 보수 등에 사용되고 있다(Czaderski et al., 2012; Jin et al., 2017).
시멘트를 비롯한 각종 바인더를 소량으로 혼합한 고결토는 강도가 1~2MPa 정도이며, 동일한 바인더비를 사용하더라도 양생조건이나 주변환경, 그리고 계절적 변화에 따라 고결토의 품질 저하나 강도 감소가 발생할 수 있다(Park et al., 2009a, 2009b). 특히 양생과정 중에 반복되는 건습은 공시체 내의 고결성분 용출 등으로 강도가 오히려 감소할 수도 있다(Park et al., 2009b). 건설공사는 기후나 온도 등의 환경적인 영향을 많이 받을 수 밖에 없으며, 이러한 환경 변화와 관련하여 최근 몇 년 사이 지구 온난화와 환경오염의 영향으로 계절을 가리지 않는 폭염 및 폭우로 지표면의 온도가 급격히 상승하거나 기초지반 및 건설 구조물들이 물에 잠기는 사례가 전 세계적으로 발생하고 있다. 폭염으로 인해 중국 일부 지역의 지표면 온도는 74~88℃까지 상승하는 경우도 있으며, 시간당 163~230mm의 집중호우로 인해 도로 및 건물의 일부가 물에 잠기는 경우도 발생하였다. 또, 폭염 뒤 폭우가 오거나 폭우 뒤 폭염이 오는 등의 기후 변화도 여름철마다 발생하고 있다. 지반과 혼합하는 시멘트는 현장에서 타설되는 콘크리트 및 레미콘과는 다르게 갑작스러운 기후 변화 또는 급격한 지표면 온도 상승 등의 외부 조건에 노출되기 쉬우므로 일반적인 양생환경을 보장하기 어렵다. 그러므로, 지반에 적용되는 시멘트의 경우 특수한 양생환경을 고려한 충분한 강도를 확보할 필요성이 있다.
따라서, 본 연구에서는 고결모래의 강도 증진이나 확보를 위해 수침이나 고온 환경이 고결모래의 강도정수에 미치는 영향을 직접전단시험을 이용하여 분석하였다. 한편, 고결제로 초속경 시멘트뿐 아니라 열에 대한 내구성을 고려하여 에폭시 수용액도 사용하였다.
2. 실험 재료 및 공시체 제작방법
본 연구에서는 국내 표준사인 주문진표준사를 사용하였으며, 비중은 2.63이고 통일분류법(Unified Soil Classification System, USCS)으로 SP에 해당한다. Fig. 1은 주문진표준사의 입도분포곡선을 나타내고 있으며, 입도 특성은 Table 1과 같다. Fig. 2는 주문진표준사의 광학 및 SEM 사진을 나타내고 있으며, 약간 모나거나 둥근 모양을 하고 있다.
Table 1.
Material properties of Jumunjin sand
| Specific gravity | D60 (mm) | D30 (mm) | D10 (mm) | Coef. of Uniformity | Coef. of Curvature | USCS |
| 2.63 | 0.62 | 0.45 | 0.31 | 2.00 | 1.06 | SP |
고결모래 제작에는 S사 초속경 시멘트를 사용하였으며, Table 2와 같이 주성분으로 실리카, 알루미늄, 산화철 및 석회 등을 포함한 원료로 구성되었다. 물리적 성질로 분말도를 나타내는 비표면적은 3,475cm2/g이고, 3시간, 1일, 3일 양생 일축압축강도는 각각 31.6, 44.2, 53.5MPa이다.
Table 2.
Material properties of ultra rapid hardening cement
| Component | SiO2 | Al2O3 | K2O | Na2O | Fe2O3 | CaO | BaO | Cl | L.O.I |
| Content (%) | 87.70 | 6.61 | 4.03 | 0.76 | 0.25 | 0.11 | 0.09 | 0.07 | 0.38 |
직접전단시험에서는 직경 63.5mm, 높이 25.4mm인 원형 모양의 전단상자를 사용하였다. 시멘트비(Cement Ratio, CR)와 에폭시비(Epoxy Ratio, ER)는 식 (1)과 같이 모래 무게에 대한 초속경 시멘트 또는 에폭시 수용액의 무게로 계산하였으며, 고결제비는 4, 8, 및 12%로 제작하였다. 고결제와 모래 혼합을 위한 함수비는 기존 연구사례(Park et al., 2009a, 2009b)를 참고하여 13%로 결정하였으며, 각각의 목표 단위중량은 Table 3과 같다. 공시체는 5개의 층으로 나누어 층마다 다짐횟수를 20회로 동일하게 제작하였다(Hwang, 2023). 공시체의 양생 기간은 3일이며, 대기중 온도 변화를 고려해 25℃ 항온기에서 양생하였다. 세 종류의 고결제비에 대해 대기중, 수침 및 가열 양생하여 양생방법에 따른 강도를 비교하고자 하였다. 대기중 양생은 공시체 성형 후 대기 중에서 3일간 양생하였다. 수침 양생은 2일 동안 대기중 양생 후 마지막 1일 동안 수침시켰다. 가열 양생은 2일 대기중 양생 후 1일 수침한 다음 전자레인지를 사용하여 3분 가열 30분 휴식을 3회 반복하였다.
Table 3.
Target unit weight of test specimen
| Cement ratio (%) | Water content (%) | Moisture unit weight (kN/m3) | Dry unit weight (kN/m3) |
| 4 | 13 | 16.30 ± 0.3 | 14.79 ± 0.3 |
| 8 | 13 | 17.01 ± 0.6 | 15.56 ± 0.5 |
| 12 | 13 | 17.66 ± 0.1 | 16.34 ± 0.1 |
고결제로 사용한 에폭시는 고형 에폭시 수지를 액상 형태로 제조한 에폭시와 일반형 경화제를 혼합하여 사용하였다. 에폭시 수지는 단독으로 사용하는 경우는 거의 없으며, 일반적으로 경화제와 배합하여 사용한다. 본 연구에서 사용한 에폭시와 경화제의 특성은 Table 4 및 5와 같고 혼합 비율은 2:1의 비율로 사용하였다.
3. 실험 결과 및 분석
3.1 시멘트 고결모래
시멘트비 4, 8, 12%인 공시체의 양생방법에 따른 직접전단시험 결과를 부록 Table A1-A3에 각각 정리하였다. 대기중, 수침, 및 가열 양생 공시체의 실험 후 평균 함수비는 시멘트비 4, 8, 12%에 따라 각각 10.2, 9.3, 8.1%이고, 9.4, 8.3, 8.3%이며, 16.0, 14.7, 12.5%이다. 시멘트비가 증가할수록 공시체가 조밀해지면서 함수비는 감소하는 경향을 보였으며, 이는 기존 연구 사례와도 유사한 결과이다(Park et al., 2009a). 한편, 대기중 양생한 공시체의 함수비가 가장 낮은 값을 보였다. 시멘트비의 증가에 따라 대기중, 수침, 및 가열 양생 공시체의 평균 건조단위중량은 각각 14.8, 15.6, 16.3kN/m3이고, 16.6, 17.5, 18.0kN/m3이며, 13.6, 14.7, 15.6kN/m3이다. 시멘트비가 증가할수록 건조단위중량은 증가하고, 수침한 공시체가 추가 양생으로 인한 수화물 증가로 건조단위중량이 가장 높은 경향을 보였다.
본 실험 결과는 시멘트비에 따른 영향과 양생방법에 따른 영향을 최대전단응력, 점착력 및 내부마찰각 값을 이용하여 비교 분석하였다.
3.1.1 시멘트비에 따른 비교
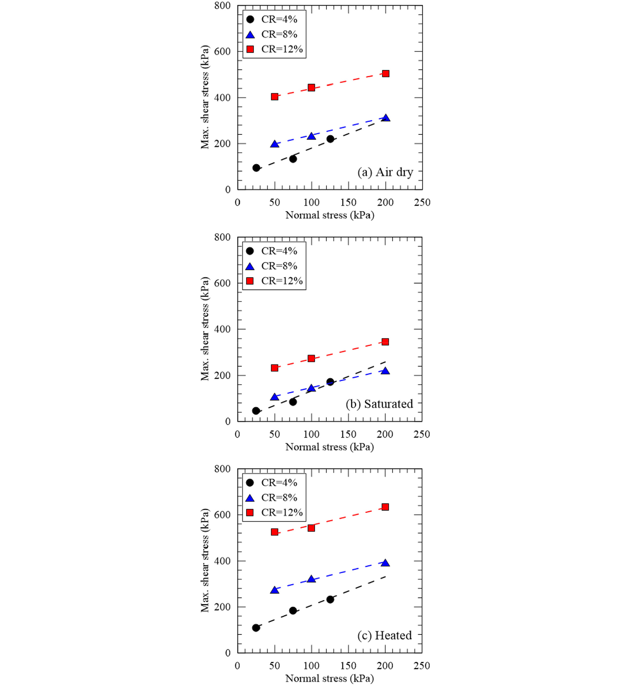
고결도가 가장 높은 시멘트비 12%인 고결모래의 전단응력-전단변위 곡선을 Fig. 3에 나타내었으며, 시멘트비 4%와 8%는 부록 Fig. A1-A2에 수록하였다. 전단 변형 시 시멘트비에 관계없이 전단응력은 최대값에 도달한 후 감소하면서 잔류값에 도달하는 경향을 보였으며, 이는 조밀한 미고결 모래의 거동과 유사하다(Das, 2012). 대기중 및 가열 양생 공시체는 최대값에서 잔류값의 차이가 큰 취성적인 거동을 보이나, 포화된 공시체는 함수비가 높아 상대적으로 연성 거동을 보였다.
Fig. 4는 각각의 양생방법에서 세 종류의 시멘트비에 따른 수직응력-최대전단응력 관계를 비교하고 있다. 공시체의 수직응력이 증가할수록 고결모래의 최대전단응력도 증가하는 경향을 보였으며, 이는 일반적인 흙이나 미고결 모래의 거동과 동일하다(Das, 2012). 여기서 절편값인 점착력은 시멘트비가 증가할수록 증가하며, 수직응력 증가에 따른 최대전단응력의 증가비를 나타내는 내부마찰각은 감소하는 경향을 보였다. 이 두 강도정수인 점착력과 내부마찰각의 변화를 Fig. 5에 시멘트비 4, 8, 12%에 따라 비교하였다. 그 결과, 양생방법에 관계없이 시멘트비 4%에서 12%로 증가함에 따라 점착력은 5~81kPa에서 195~478kPa로 6~39배 증가하지만, 내부마찰각은 51~52°에서 33~37°로 오히려 25~35% 정도 감소하는 경향을 보였다. 시멘트비가 낮은 경우에는 미고결 모래처럼 내부마찰각이 강도 발현에 크게 기여하지만, 시멘트비가 증가할수록 점착력이 강도에 기여하는 정도가 높아졌다. 즉, 고결력이 증가할수록 내부마찰각보다는 점착력이 강도에 미치는 영향이 크다고 볼 수 있다.
3.1.2 양생방법에 따른 비교
Fig. 6은 시멘트비가 동일한 경우 양생방법에 따른 수직응력-최대전단응력 관계를 비교하고 있다. 최대전단응력은 시멘트비에 관계없이 대기중 양생한 공시체보다 수침한 공시체는 낮으며, 가열 양생 공시체는 상대적으로 높게 나타났다. 이것은 수침 시 시멘트 성분이 용출되면서 고결력이 약해지거나 수분으로 인한 윤활작용으로 강도가 약해진 것으로 판단된다(Park et al., 2009a). 한편, 수침 후 가열 양생 공시체의 경우 2차 수화작용으로 고결력이 증가한 것으로 판단되며, Park et al.(2009b)도 이와 유사하게 수침 후 일정 시간 경과 후에는 강도가 다시 증가하는 결과를 보였다. Fig. 5에서 시멘트비가 동일한 경우, 점착력은 가열, 대기중, 수침 공시체 순서로 낮아지는 경향을 보였으나, 내부마찰각은 양생방법에 거의 영향을 받지 않았다.
3.2 에폭시 고결모래
에폭시비 4, 8, 12%인 공시체의 양생방법에 따른 직접전단시험 결과를 Table A4-Table A6에 각각 정리하였다. 대기중, 수침, 및 가열 양생 공시체의 실험 후 평균 함수비는 에폭시비 4, 8, 12%에 따라 각각 1.9, 1.8, 1.0%이고, 19.9, 14.9, 9.2%이며, 20.5, 16.1, 11.3%이다. 에폭시비가 증가할수록 함수비는 감소하였으며, 대기중 양생한 공시체가 가장 낮은 값을 보였다. 대기중, 수침, 및 가열 양생 공시체의 평균 건조단위중량은 에폭시비에 따라 각각 15.9, 17.3, 18.5kN/m3이고, 16.4, 17.4, 18.6kN/m3이며, 13.6, 14.9, 16.4kN/m3이다. 에폭시비가 증가할수록 단위중량이 증가하며, 가열 양생 공시체의 단위중량이 고분자 물질의 증발로 가장 낮은 값을 보였다. 에폭시를 사용하여 고결한 공시체를 수침할 경우 수침하기 전과 비교하였을 때 체적 변형이 1.5~2% 정도 일어났다. 본 실험 결과는 에폭시비에 따른 영향과 양생방법에 따른 영향을 최대전단응력, 점착력 및 내부마찰각을 이용하여 다음과 같이 비교 분석하였다.
3.2.1 에폭시비에 따른 비교
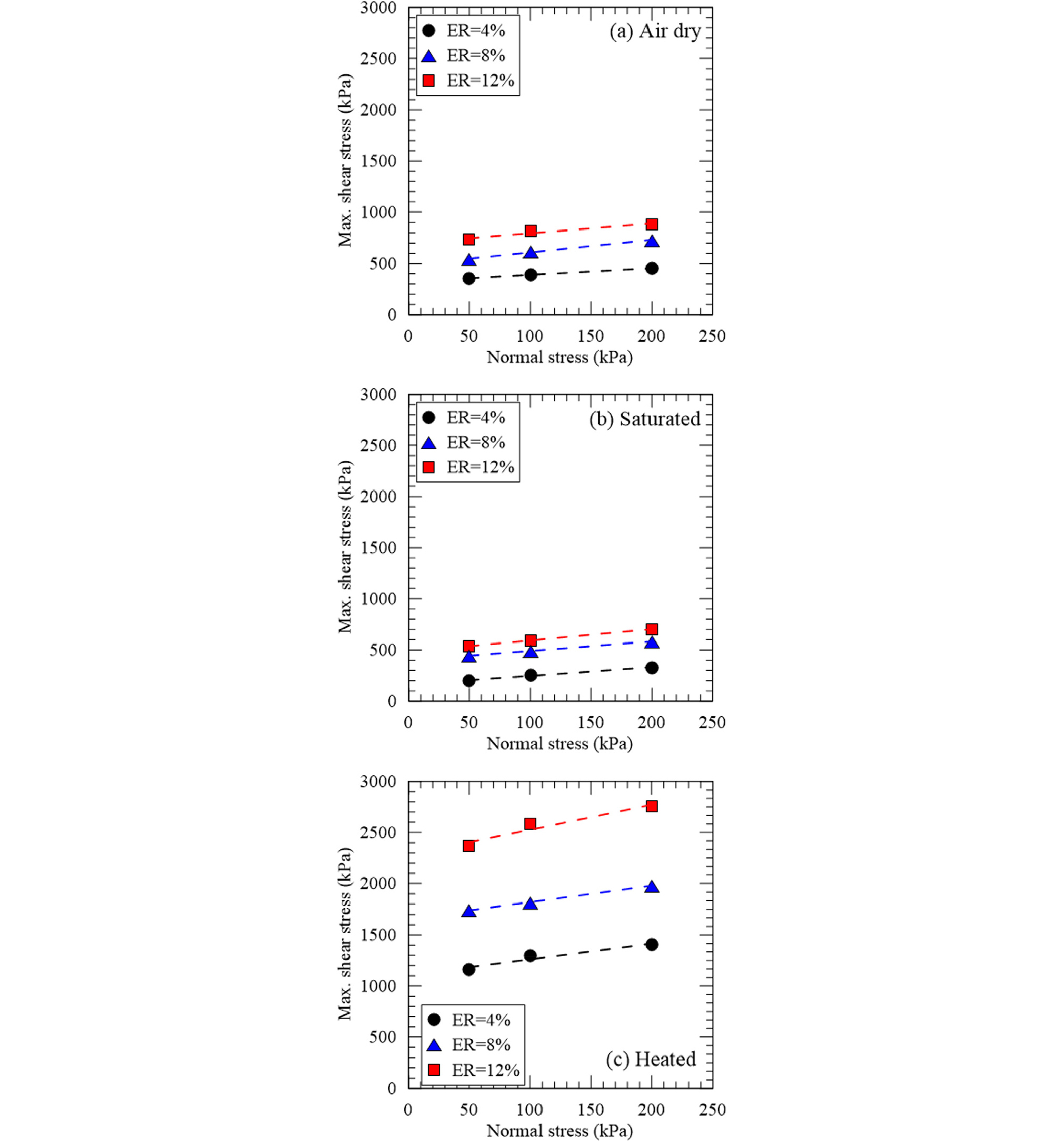
Fig. 7은 각각의 양생방법에서 세 종류의 에폭시비에 따른 수직응력-최대전단응력 관계를 비교하고 있다. 시멘트 고결모래와 동일하게 에폭시비에 관계없이 수직응력이 증가할수록 최대전단응력이 증가하였다. 에폭시비 4, 8, 12% 증가에 따른 강도정수의 변화를 Fig. 8에 비교하였다. 시멘트 고결모래와는 달리 점착력과 내부마찰각 모두 에폭시비가 증가할수록 증가하는 경향을 보였다. 양생방법에 관계없이 에폭시비가 증가할수록 점착력은 162~1,103kPa에서 481~2,277kPa까지 106~196% 정도 증가하며, 내부마찰각도 33~57°에서 44~68°로 증가하는 경향을 보였다. 에폭시로 고결된 경우 시멘트 고결모래보다 다소 연성 거동을 보이면서 에폭시비 증가에 따라 단위중량 증가로 더 조밀해지면서 내부마찰각도 증가한 것으로 판단된다.
3.2.2 양생방법에 따른 비교
Fig. 9는 에폭시비가 동일한 경우 양생방법에 따른 수직응력-최대전단응력 관계를 비교하고 있다. 최대전단응력은 에폭시비에 관계없이 대기중 양생한 공시체와 수침한 공시체는 비슷하나, 고온 처리한 경우는 상대적으로 높게 나타났다. 에폭시 분자와 물 분자 간 반발력으로 인해 부피 팽창이 일어나게 되는데, 이로 인해 수침을 하였을 경우 강도 및 점착력이 낮은 값을 나타내는 것으로 판단된다(Kwon et al., 2017). Fig. 8에서 에폭시비가 동일한 경우, 가열 양생 공시체의 점착력 및 내부마찰각이 다른 공시체보다 월등히 높은 값을 나타내었다. 에폭시를 콘크리트나 기존 구조물과의 접착제로 사용한 여러 연구에서도 높은 온도에서 양생한 경우 접착력이 더 우수한 것으로 나타났다(Czaderski et al., 2012).
3.3 고결제 종류에 따른 비교
고결제의 종류에 관계없이 함유량이 증가함에 따라 강도정수는 일반적으로 증가하는 경향을 보였다. 또한, 대기중 양생한 공시체에 비해 수침한 경우 강도가 감소하고 가열한 경우 강도가 증가하는 경향을 보였다. 고결제 종류에 따른 구체적인 강도정수의 차이는 Table 6에 비교 정리하였다. 시멘트를 고결제로 사용한 경우보다 에폭시를 고결제를 사용하였을 때 고결제비와 양생방법에 관계없이 전반적으로 높은 강도를 나타내었다. 이는 시멘트 수화물보다 에폭시 바인더의 강성이 높아 고결된 모래의 입자들의 결합력이 강하고 간격 또한 조밀해지기 때문으로 판단된다.
Table 6.
Comparison of cemented and epoxy bonded sands
4. 결 론
본 논문에서는 직접전단시험을 이용하여 수침이나 고온이 고결모래의 전단강도에 미치는 영향에 대해 연구하였다. 주문진표준사에 고결제로 초속경 시멘트와 에폭시 수용액을 4, 8, 또는 12%로 혼합한 다음 다짐방법으로 직경 64mm, 높이 25mm의 원주형 고결 공시체를 제작하였다. 양생일은 모두 3일로 동일하여 양생조건은 대기중 양생, 수침, 및 가열 양생 조건이다. 주요 결과는 다음과 같다.
(1) 수침한 시멘트 고결모래의 경우 시멘트비에 관계없이 대기중 양생한 공시체보다 전단강도가 감소하였으며, 시멘트비 4, 8, 12%에 따라 각각 22~51%, 29~46%, 31~42% 정도 감소하였다.
(2) 가열한 시멘트 고결모래의 경우 시멘트비에 관계없이 대기중 양생한 공시체보다 전단강도가 증가하였으며, 시멘트비 4, 8, 12%에 따라 각각 6~39%, 25~38%, 22~30% 정도 증가하였다.
(3) 에폭시 고결모래도 시멘트 고결모래와 마찬가지로 수침한 경우 전단강도가 감소하며 가열한 경우 강도가 다시 회복되었다. 전단강도 값은 에폭시를 사용하여 고결한 공시체의 경우 같은 함량의 시멘트를 사용한 경우보다 월등히 높았으며, 8% 비율로 혼합한 경우 에폭시 고결모래가 시멘트 고결모래보다 대기중 양생한 경우 131~170%, 수침한 경우 161~306%, 가열한 경우 401~534% 높았다.
(4) 에폭시를 사용하여 고결한 공시체를 수침할 경우 수침하기 전과 비교하였을 때 체적 변형이 1.5~2% 정도 일어났다. 따라서, 지반 내부에 대규모로 에폭시와 모래를 혼합하여 고결모래를 시공할 경우 수분으로 인한 지반 침하 또는 상부 구조물 기울어짐이 발생할 수 있으므로 이에 대한 고려가 필요하다.
(5) 지반 개량공법이나 고결토 설계 시 폭우, 폭염, 지하수 변화 및 고온 발생 등 다양한 환경변화에 따른 전단강도 변화를 충분히 고려할 필요가 있으며, 특히 고결제로 사용하는 바인더의 종류나 비율에 따라 최대 39~53% 정도의 전단강도 감소가 발생할 수 있으므로 이를 설계에 고려할 필요가 있다고 판단된다.
Appendix













