1. 서 론
2. 등가정적해석을 위한 동적토압 산정방법
3. 수치해석 조건
3.1 지반 및 가시설 조건
3.2 지진하중 조건
3.3 등가정적해석을 위한 동적 토압 산정조건
4. 등가정적해석 결과 및 적용성 분석
4.1 벽체 모멘트 비교결과
4.2 지보재 축력 비교결과
4.3 등가정적해석의 적용성
5. 결 론
1. 서 론
최근 도심지에 건설되고 있는 도로와 철도 등 대규모 인프라 시설물들은 지상 공간의 효율적인 활용을 위해 대부분 지하구조물로 계획되고 있다. 이에 도로 진출입로와 지하철 정거장, 그리고 수직구 건설을 위한 지하 터파기 공사가 증가하고 있으며, 인프라 시설물의 규모가 커지면서 가시설의 존치 기간 또한 점점 길어지고 있는 추세이다. 최근 20여년 동안 지진 발생 지역이 전국적으로 분포하고, 발생빈도 또한 계속적으로 증가하고 있는 상황에서, 터파기 공사에 대한 내진설계는 국민 안전측면에서 선택이 아닌 필수 사항으로의 접근이 필요하다. 다만, 영구구조물과 동일한 재현빈도 500~1000년의 지진하중을 적용하는 것은 과다설계로 인한 추가적인 사회적 비용이 발생하므로, 공사 기간을 고려한 적절한 지진하중의 결정이 중요하다고 할 수 있다.
현재 국내의 가시설물 설계 일반사항(KDS 21 10 00)에는 “가시설물의 존치기간 및 현장여건에 따라 지진하중을 고려할 수 있다”라고 명기하고 있으며, 가설 흙막이공의 설계를 위한 하중조합은 가설 흙막이 설계기준(KDS 21 30 00)을 따르라고 기술되어 있다. 그러나 정작 가설 흙막이 설계기준(KDS 21 30 00)과 내진설계 일반기준(KDS 17 00 00)에는 내진설계 절차나 지진 재현주기가 전혀 언급되어 있지 않은 상태이다. 국외의 경우에도 미국의 AASHTO 설계기준(2017)은 극단한계상태(Extreme event)의 하중조합에 지진하중을 포함하고 있으나, 영구구조물과 가시설 구조물을 구분하여 지진 가속도를 제시하고 있지는 않다. 유럽의 설계기준 또한 (EN 1997-1, 2004) 스트럿이나 앵커로 지보되는 지하연속벽과 쉬트파일과 같은 지중구조물을 모두 옹벽의 범주로 포함하고, 지진과 같은 동적인 하중에 의해 발생하는 변위와 가속도를 외력으로 고려하도록 명기하고 있으나, 가시설과 영구구조물을 구분하고 있지 않다. 반면 남태평양 국가들이 적용하고 있는 AS/NZS 1170.0 설계기준(Standards Australia, 2002)에서는 가설 구조물에 대해 호주는 50년, 뉴질랜드는 100년의 재현주기를 적용하여 극한한계상태에 대한 안정성 검토를 수행하도록 한다. 또한, 프로젝트의 규모와 중요도에 따라 가설 구조물에 대해 별도의 내진설계 기준을 요구하는 사례들도 있는데, 호주 빅토리아주의 주요 주거지를 연결하는 ○○지하철 공사에서는 가설 구조물에 대해 설계수명 25년, 중요도 level 3을 적용하여, 설계기준보다 엄격한 재현주기 100년의 지진하중을 적용하도록 요구하고 있다. 쿠웨이트의 ○○ 교량프로젝트 또한 시공 중 100년 재현주기의 지진하중으로 가시설 내진설계를 요구하는 사례이다. 이상 문헌 조사 결과를 종합하면, 대부분의 국가에서 가시설에 대해 영구구조물과 구분되는 별도의 내진설계 기준을 제시하고 있지는 않지만, 프로젝트의 특성에 따라 내진검토는 수행하고 있으며, 호주 등 남태평양 국가들의 설계기준과 기존의 설계 사례들로 볼 때 우리나라에서 대규모 흙막이 가시설 내진검토를 수행할 경우 재현주기 100년 정도의 지진하중이 적정할 것으로 판단된다. Yang 등(2022)은 재현주기 100년의 지진하중으로 동해석을 수행하고, 이를 분석한 결과 토사지반을 지지하는 대규모 흙막이 벽체의 경우 내진 안정성 검토가 반드시 필요하다는 결론을 도출한 바 있다.
지반구조물의 내진 안정성 검토를 위해서는 상사법칙을 적용하여 실제 구조물을 축소한 모형실험을 수행하거나, 지반과 구조물의 동적인 상호작용을 고려한 시간이력해석을 수행해야 한다. 또한 보다 간편한 방법으로 지진하중을 등가의 정적하중으로 변환한 후 정적설계법과 동일한 방법을 적용하는 등가정적해석법을 적용할 수도 있다. Chin 등(2016)은 유한요소 해석 프로그램인 OpenSees를 이용하여 뉴질랜드의 북섬과 남섬의 지반조건에서 2차원 시간이력해석을 수행하고, 흙막이 벽체에 작용하는 동적인 토압 성분을 분석하였다. 국내에서는 Yang 등(2021)이 지하연속벽(Diaphragm wall)을 대상으로 서울·경기권의 대표적인 지반조건을 가정하여 FLAC을 이용한 시간이력해석을 수행하였고, Yun 등(2022)도 동적 원심모형실험을 통해 암반에 근입된 가설 흙막이 벽체의 지진 시 거동 특성을 연구하였다. 그러나 설계 실무적인 관점에서 모든 가설 구조물에 대해 시간이력해석이나 동적 모형실험을 수행하는 것은 비효율적이고, 등가정적해석을 통한 설계 과정의 단순화 과정이 예비검토 차원에서도 필요하다. 이를 위해서는 동적 토압을 합리적으로 산정해야 하며, 등가정적해석 기법의 유효성이 검증되어야 하나, 아직 연구가 부족한 현실이다.
이에 본 연구에서는 가시설 구조물의 내진설계 가이드라인을 작성하기 위한 기초 연구로서, 등가정적해석을 위한 지진 시 흙막이 가시설에 작용하는 동적 토압 산정 방법에 대해 문헌연구를 수행하였다. 그리고 2차원 유한차분해석 프로그램(FLAC)을 이용하여 재현주기 100년의 지진하중에 대해 Semirigid pressure 방법, Wood 방법, Mononobe-Okabe 방법에 따라 등가정적해석을 수행하고, 이를 동해석 결과와 비교하여 등가정적해석의 적용성을 평가하였다. 이때 동해석은 원심모형실험을 통해 적정성이 검증된 기존의 수치해석 결과(Yang et al., 2022) 값을 이용하였다.
2. 등가정적해석을 위한 동적토압 산정방법
가시설 구조물의 등가정적해석을 위해서는 지진 시 굴착 배면지반에 발생하는 동적 토압을 합리적으로 산정하는 것이 가장 중요하다. 일반적으로 지중에 근입된 옹벽 구조물은 발생하는 변위 수준에 따라 벽체의 움직임이 거의 없는 강성 벽체(Rigid wall), 구조물 높이의 0.4%~0.5% 이상의 변위가 발생하는 연성 벽체(Flexible wall), 그리고 강성벽체와 연성벽체의 중간 정도의 변위가 발생하는 Stiff wall로 구분되며, 배면 지반에 발생하는 토압의 크기는 벽체 변위 수준에 따라 달라진다(Chin et al., 2016). 먼저 먼저 0.4%H~0.5%H 이상의 변위가 발생하는 연성벽체(Flexible wall)에 대해서는 Coulomb의 토압이론을 발전시켜 배면 흙쐐기의 관성력을 추가적으로 고려한 Mononobe-Okabe 토압(Okabe, 1926; Mononobe and Matsuo, 1929)이 식 (1)과 같이 제안되었으며, Seed와 Whitman(1970)은 Mononobe-Okabe 방법(M-O 방법)에서 Coulomb의 정적 토압(KA)과 동적인 토압 성분(KAE-KA)을 분리하여, 동적 토압은 Fig. 1(a)와 같이 역사다리꼴 형태로 분포하고 그 합력은 0.6H(H: 벽체 높이) 위치에 작용한다는 연구결과를 발표하였다.
여기서 ϕ는 배면지반의 단위중량, α는 벽체 법면의 기울기, β는 배면지반의 경사도, δ는 벽체-배면지반의 마찰각, θ는 수평, 수직 방향 가속도계수 합력의 기울기(tan-1(kh/(1-kv)))를 의미한다. NCHRP Report 611(Transportation Research Board, 2008)에 따르면, 일반적으로 수직 가속도 성분은 무시할 수 있다.
다음으로 강성 벽체(Rigid wall)의 경우, Wood(1973)는 식 (2)와 같이 계산되는 배면 지반의 관성력이 깊이에 따라 일정하게 분포하는 것으로 동적 토압을 산정하였다.
여기서 C0=kh(1-kv)는 지표면 최대가속도 계수, kv는 수직 가속도 계수, kh는 수평가속도 계수, γ는 배면 지반의 단위중량, H는 벽체의 높이(굴착 깊이)를 의미한다. 이후 Mathewson 등(1980)과 Wood와 Elms(1990)는 벽체에 변위가 전혀 발생하지 않는 조건에서 Wood의 탄성해법을 변형하여 Fig. 1(b)와 같은 동적 토압을 새롭게 제시하였다. 이 방법은 Wood의 방법과 합력의 크기는 동일하나, 역사다리꼴 형태의 분포를 가정하고 있다.
마지막으로 Mathewson 등(1980)은 벽체 상단에서 약 0.1%H~0.2%H(H: 벽체 높이)의 변위가 발생하는 Stiff wall의 경우, Wood가 제시한 동적토압과 비교하여 약 25% 정도 토압이 감소한다는 연구결과를 발표하였다(Fig. 1(c)).
뉴질랜드의 Earthquake Geotechnical Engineering Practice(New Zealand Geotechnical Society and Ministry of Business Innovation & Employment, 2017)에는 리스크가 크지 않은 일반적인 옹벽 구조물은 등가정적해석으로 내진해석을 수행할 수 있고, 중요도가 높거나 구조물의 깊이가 깊을 경우에는 동해석을 수행하도록 명기하고 있다. 이 기준서에 따르면 등가정적해석을 위한 동적 토압은 앵커나 스트럿이 없는 캔티래버 구조물(Flexible wall)의 경우 Mononobe-Okabe 방법을 적용하고, 벽체의 변위가 0.4%H 이하인 Stiff wall은 Wood가 제시한 Rigid wall의 토압에 Fig. 2(a)와 같은 보정계수를 곱하여 산정할 수 있다. 그리고 토압의 작용 지점은 Fig. 2(b)를 통해 결정할 수 있다. Fig. 2를 보면 벽체의 변위가 증가할수록 동적 토압은 선형적으로 감소하고, 합력의 작용 지점은 벽체 하단부로 이동하게 된다. 국내 가시설 설계기준에서는 약 0.2%H~0.3%H 이내의 허용수평변위 기준을 적용하고 있으므로, Fig. 2에 따르면 토압 크기에 대한 보정계수는 약 0.5~0.8, 토압의 분포는 등분포하중을 적용할 수 있다. 이는 Mathewson 등(1980)이 Stiff wall에 대해 제시한 값과도 일치한다.
국내에서 가시설 설계 실무에 주로 이용되고 있는 Midas GeoXD나 SUNEX(Step UNderground EXcavation)와 같은 탄소성해석 프로그램에는 내진해석 기능이 없으나, 미국에서 상용되고 있는 프로그램인 Deep Excavation에는 등가정적해석 기능이 탑재되어 있다. 동적 토압은 예상되는 변위 수준에 따라 앞서 언급된 Wood의 방법, Mononobe-Okabe 방법, Wood의 방법에 감소계수를 적용한 Semirigid 방법 중에서 사용자가 선택하여 벽체에 직접 외력으로 작용시킬 수 있고, 이들 방법 이외에도 사용자 정의에 따른 별도의 값도 적용 가능하다(Deep Excavation manual, 2018). 특히 Stiff wall에 대한 Semirigid 방법은 보정계수 0.75를 적용한 등분포 하중을 기본 값으로 추천하고 있어, Mathewson 등(1980)의 방법과도 동일하다.
3. 수치해석 조건
Yang 등(2022)은 사질토 지반을 지지하는 지하연속벽을 대상으로 유한차분해석 프로그램인 FLAC 2D를 이용하여 시간이력해석을 수행하고, 동적 원심모형실험 결과와 비교하여 수치 모델링의 적정성을 검증하였다. 그리고 검증된 모델을 활용하여 다양한 조건에서 변수연구를 수행하고 내진설계가 필요한 흙막이 가설 조건을 개략적으로 선정하였다. 본 연구에서는 Yang 등(2022)이 수행한 동적 수치해석과 동일한 지반 및 가시설 조건에 대해, 문헌연구를 통해 파악한 대표적인 토압 산정 방법으로 FLAC 2D를 이용하여 등가정적해석을 수행하였다. 그리고 Yang 등(2022)이 수행한 기존 동해석 결과와 비교하여 등가정적해석의 적용성을 판단하였다. 수치해석의 조건은 다음과 같다.
3.1 지반 및 가시설 조건
수치해석에 적용된 지반 및 가시설 조건은 Fig. 3과 같다. 동해석 결과 가속도 증폭이 크게 발생하여 지진에 가장 취약한 것으로 나타난 느슨한 토사 굴착 조건과(Case 1-1) 조밀한 토사 굴착 조건(Case 1-2)에 대해 등가정적해석을 수행하였다. 또한 암반층의 굴착 심도가 얕은 경우(Case 2)와 깊은 경우(Case 3)로 구분하여 해석을 진행하였다. 지진하중 작용시 토사와 암반층에 발생한 동적 토압이 구조물에 미치는 영향을 판단할 수 있도록 해석 단면을 최대한 단순하게 가정하였다. 또한 지진하중에 의한 동적수압의 영향을 배제하기 위해 지하수는 별도로 고려하지 않았다. 토사층 굴착조건에 해당하는 Case 1의 경우 굴착심도로부터 10m 깊이까지 벽체를 근입하였고, 암반층을 굴착하는 조건에서는(Case 2, 3) 굴착심도 이하 2m 깊이까지 벽체를 근입하였다. 도심지 대심도 터파기 공사에서 주로 적용되는 흙막이 공법은 지하연속벽 또는 주열식 벽체로, 본 연구에서는 두께 0.8m의 지하연속벽을 가정하였고, 지보재는 강관지보재(직경 406mm, 두께 9mm)를 적용하였다. 지보재의 간격은 토사는 2.5m, 암반은 4.0m 깊이마다 배치하였으며, 길이 방향으로는 4.0m의 간격을 동일하게 유지하였다. 굴착 폭은 모두 15m로 가정했고, 암반층의 굴착 심도가 깊은 Case 3은 30m 굴착을, 나머지 Case들은 20m 굴착을 모사하였다. 본 연구에서는 Yang 등(2022)이 수행한 수치해석과 동일한 모델을 적용하였으며, 모델링과 관련된 자세한 사항은 기존 논문에 자세히 기재되어 있다.
해석에 사용된 토사층과 암반층의 지반 물성은 Table 1과 같다. 내진설계 일반기준(KDS 17 00 00)의 지반 분류상 Case 1-1은 S5, Case 1-2는 S4 지반으로 분류되며, Case 2와 Case 3은 S2 지반으로 분류되었다.
Table 1.
Soils and rock properties for numerical analysis
3.2 지진하중 조건
국내외 내진 설계기준과 기존 프로젝트 사례들로부터, 내진해석에 적용할 지반 가속도의 크기는 기능수행수준에 해당하는 재현주기 100년의 지진하중(기반암 가속도 0.063g)으로 결정하였다. 등가정적해석과의 비교를 위한 시간이력해석은 앞서 기술한 바와 같이 Fig. 3의 단면을 대상으로 Yang 등(2022)이 수행한 동해석 결과이다. Yang 등(2022)은 굴착이 완료된 단면을 대상으로 Fig. 4와 같이 장주기로 분류되는 Kobe 지진파와 단주기로 분류되는 Northridge 지진파를 이용하여 시간이력해석을 수행하였다. 그리고 Case 1과 같이 토사지반을 굴착하는 경우 굴착 완료 시점과 비교하여 최대 112~117%의 벽체 모멘트가 발생한다는 연구 결과를 발표하였다. Case 2와 Case 3에 대한 기존 동해석 결과와 지보재 축력에 대한 분석 결과는 4.1절과 4.2절에 상세히 기술하였다.
3.3 등가정적해석을 위한 동적 토압 산정조건
문헌 조사 결과 흙막이 가시설의 등가정적해석을 위해 적용 가능한 동적 토압은 크게 세 가지 형태로 요약될 수 있다. 우선 Wood의 방법은 변위가 거의 발생하지 않는 강성벽체(Rigid wall) 조건에서 적절할 것으로 보인다. 다음으로 국내 가시설의 일반적인 허용 변위 수준(0.2%H~0.3%H 이내)에서는 Rigid wall 대비 25% 하중을 경감시켜 적용하는 Semirigid 방법이 가장 적정할 것으로 판단된다. 마지막으로 Mononobe-Okabe 방법은 토압이 작용하는 일반적인 옹벽 구조물의 내진해석을 위해 실무적으로 가장 널리 사용되고 있는 방법으로, 가시설에서는 0.4%H~0.5%H 이상의 변위가 발생하는 연성벽체(Flexible wall)에 적합할 것으로 조사되었다. 이에 본 연구에서는 Case 1~3의 지반조건에서 Fig. 5와 같이 상기 세 가지 방법으로 동적 토압을 산정한 후, 벽체에 외력으로 하중을 작용시켜 등가정적해석을 수행하였다. Wood의 방법은 토사층의 굴착 깊이 H를 고려하여 식 (1)에 따라 등분포 하중으로 작용시켰고, Semirigid 방법은 Wood의 토압에 보정계수 0.75를 적용하였다. M-O 방법은 Seed와 Whitman의 연구결과에 따라 Fig. 1(c)와 같이 동적 토압성분을 분리한 후 역사다리꼴의 형태로 적용하였다. 등가정적해석을 위한 배면지반의 수평 가속도 계수는 재현주기 100년의 기반암 가속도인 0.063g에 내진설계기준(KDS 17 00 00)에서 제시하고 있는 단주기 증폭계수(S2 지반: 1.4, S4 지반: 1.6, S5 지반: 1.8)를 곱하여 산정하였으며, 수직 가속도 성분은 무시하였다. 반면 Yang 등(2022)이 수행한 시간이력해석에서는 재현주기 100년의 가속도 시간이력을 적분하여 속도 시간이력을 산정한 후, 식 (3)의 변환과정을 통해 산출한 전단응력 시간이력을 점성댐퍼를 적용한 Compliant base에 적용시키는 방법이 이용되었다.
여기서, vs : Outcrop motion의 속도 시간이력
Cs : 기반암의 전단파 속도
ρ : 기반암의 밀도
4. 등가정적해석 결과 및 적용성 분석
흙막이 가시설 설계시 주요한 설계 인자인 벽체 모멘트와 지보재 축력에 대해 등가정적해석으로부터 구한 결과와 시간이력해석으로부터 구한 결과를 비교하여 세 가지 동적 토압 산정법에 따른 등가정적해석의 적용성을 분석하였다.
4.1 벽체 모멘트 비교결과
토사층에서 굴착이 종료된 Case 1의 조건에 대해, 굴착이 완료된 시점과 시간이력해석 중 최대 모멘트가 발생한 시점의 벽체 깊이 별 모멘트 분포를 등가정적해석 결과와 함께 Fig. 6~7에 도시하였다. 그리고 각각의 해석 방법에 따라 산정된 지진시 최대 모멘트 값을 상시 조건과 비교하여 Table 2에 정리하였다. 재현주기 100년의 지진하중에 대해 벽체에 발생한 최대 모멘트는 동해석으로는 16.9%, 등가정적해석으로는 14.8% 정도 증가하는 것으로 나타났다. 느슨한 토사지반을 굴착할 경우(Case 1-1) Wood 방법과 Semirigid 방법으로 산정한 최대 모멘트는 시간이력해석과 비교하여 장주기 지진파에서 0.2%~2.9%, 단주기 지진파에서 3.9%~7.0% 정도의 차이를 나타냈다. 그리고 조밀한 토사지반에서는(Case 1-2) 장주기 지진파에서 2.7%~2.9%, 단주기 지진파에서 1.0%~4.6%의 차이를 보여, 전반적으로 시간이력해석과 유사한 값이 도출되는 것을 확인하였다. 반면 Mononobe-Okabe 방법은 Wood나 Semirigid 방법보다 큰 차이를 보였는데, 이는 Fig. 5와 같이 M-O 방법으로는 동적 토압이 작게 산정되어, 지진하중에 의한 모멘트 증가가 거의 없는 것으로 계산되었기 때문이다. 굴착이 시작된 시점부터 지진하중이 멈출 때까지 Case 1의 조건에서 발생한 최대 변위는 느슨한 토사지반에서 0.26%H~0.28%H, 조밀한 토사지반에서 0.11%H~0.12%H 수준으로, 이는 Stiff wall에 해당한다. 상기 해석 결과를 보면, 보정계수 0.75를 적용한 Semirigid 방법은 시간이력해석보다 모멘트를 다소 작게 산정했지만, 그 값의 차이가 크지 않아 Stiff wall의 거동을 예측하는데 적절한 방법으로 보이며, 이는 기존의 연구와도 유사한 결과이다. 그리고 변위가 거의 없는 Rigid wall 조건에서 제시된 Wood의 방법도 최대 3.9% 정도의 근소한 차이만 보여, 본 연구에서 가정한 지반조건이 비록 제한적인 조건이지만 가시설 내진해석을 위해 적용 가능한 방법으로 분석되었다. 한편, 지반공학자들에게 가장 잘 알려진 Mononobe-Okabe 방법은 적용성이 가장 떨어지는 것으로 나타났다. 지금까지는 토압을 받는 옹벽 구조물의 내진설계를 위해 일률적으로 M-O 방법을 적용하는 것이 일반적인 설계 관행이었다. 그러나 수치해석 결과와 같이 구조물에 발생하는 변위가 작을 경우에는 배면 지반의 토압을 과소평가할 수 있으므로, 향후 내진해석 시 이 부분에 대한 세심한 주의가 필요할 것으로 판단된다.
Table 2.
Maximum bending monent along to the wall (Case 1)
Fig. 8~9는 토사층과 함께 암반층까지 굴착이 이루어지는 경우의 모멘트 분포도이며, 최대 모멘트 값을 상시 조건과 비교하여 Table 3에 정리하였다. 먼저 암반의 굴착 심도가 얕은 경우 동해석에서는 19.9%~25.8%, 등가정적해석에서는 23.5%~33.6% 정도 모멘트가 증가했는데, Semirigid 방법을 적용한 등가정적해석 결과가 지진파의 종류에 따라 2.3%~3.6% 정도의 근소한 차이를 보이며 시간이력해석 결과와 가장 유사한 값을 나타냈다. 그리고 Wood의 방법은 7.8%~13.7% 정도 모멘트를 다소 크게 예측하였으며, M-O 방법은 토사 굴착과 마찬가지로 가장 커다란 차이를 보이며 모멘트를 작게 예측했다. 암반의 굴착 심도가 깊은 경우에도 Semirigid 방법이 0.7%~2.6% 정도의 차이로 시간이력해석 결과와 가장 유사한 값을 나타냈고, Wood의 방법도 모멘트를 다소 크게 예측했지만 2.3%~5.6% 정도의 차이만을 보였다. 암반 굴착의 경우 지진하중이 작용할 때까지 발생한 최대 변위는 0.05%H 수준으로, 이는 Rigid wall 또는 Stiff wall 정도에 해당하는 것으로 판단된다. 역시 Semirigid 방법이 가장 합리적으로 벽체의 모멘트를 예측하고 있는 것으로 보이며, Wood의 방법도 다소 큰 값을 산출하지만, 실무적으로 안전측의 설계를 위해 충분히 적용 가능한 방법이라고 판단된다.
Table 3.
Maximum bending moment along to the wall (Case 2, 3)
Chin 등(2016)은 유한요소해석 프로그램인 OpenSees를 이용하여 동해석을 수행하고, 이를 등가정적해석 결과와 비교하여 동적 토압 산정방법의 적정성을 분석하였다. 그 결과 0.05%H~0.4%H의 변위가 발생한 Stiff wall의 경우 Semirigid 방법으로 산정한 동적 토압이 수치해석 결과와 가장 일치한다고 결론지었으며, 이는 본 연구에서 수행한 수치해석 결과와도 잘 부합하는 것으로 판단된다.
4.2 지보재 축력 비교결과
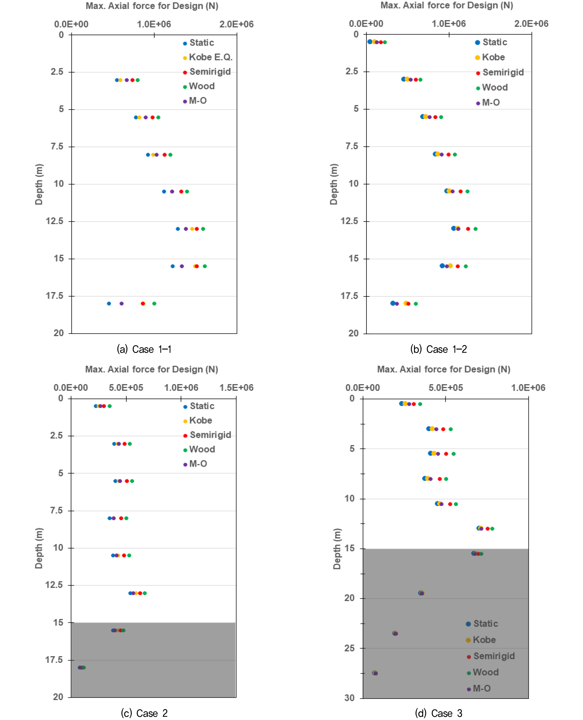
등가정적해석으로 산정한 지보재의 축력을 굴착이 종료된 시점, 그리고 시간이력해석 중 발생한 최대 축력과 함께 Fig. 10에 도시하였다. 또한 각각의 해석 방법에 따른 축력 값을 상시 조건과 비교하여 Table 4~Table 5에 정리하였다. 앞서 벽체 모멘트 해석 결과와는 다르게 등가정적해석과 시간이력해석으로 산정한 지보재의 축력 값은 다소 차이를 보였고, 특히 등가정적해석에 적용한 토압의 종류에 따라 축력 값이 매우 민감하게 변화하였다. 우선 토사층에서 굴착이 종료된 Case 1의 경우, 벽체에 발생한 모멘트를 가장 효과적으로 예측했던 Semirigid 방법과 Wood의 방법은 깊은 깊이에 위치한 지보재의 축력을 동해석과 유사하게 예측했지만, 5~6단 이하의 얕은 깊이에서는 약 20%정도 과다하게 산정하는 것으로 나타났다. 반면 가장 적용성이 떨어지는 것으로 분석되었던 Mononobe-Okabe 방법은 다른 두 가지 방법보다 얕은 깊이에 위치한 지보재의 축력을 유사하게 예측하였다. 등가정적해석은 토압을 한쪽 방향에서만 작용시키기 때문에 지진하중의 방향에 따라 지보재의 양방향에서 발생하는 벽체 관성력과 배면 토압의 위상차이를 적절하게 모사할 수 없고, 구조물-지반 간 동적 상호작용(Soil Structure Interaction)을 고려할 수 없다는 해석 방법 상의 한계가 있다. 또한 벽체에 지진하중을 직접 작용시키기 때문에, 상대적으로 토압이 작은 얕은 깊이에서 지진하중의 영향이 과다하게 반영되는 것으로 판단된다. 따라서 Wood나 Semirigid 방법은 특히 얕은 깊이에 위치한 지보재의 축력을 매우 과하게 산정하였으며, M-O 방법은 토압의 크기가 작기 때문에 얕은 깊이에서는 시간이력해석과 유사한 값을 보이지만, 역사다리꼴 형태의 토압 분포를 가정하므로 심도가 깊어질수록 축력을 과소평가하는 경향이 나타났다.
Table 4.
Comparison of axial force in time-domain and pseudo static analysis (Case 1)
Table 5.
Comparison of axial force in time-domain and pseudo static analysis (Case 2,3)
암반층까지 굴착이 이루어진 Case 2와 3의 경우에도 얕은 깊이에서는 Mononobe-Okabe 방법이, 깊은 깊이에서는 Semirigid 방법이 동해석 결과와 가장 유사한 것으로 나타났다. 특히 암반층의 굴착심도가 깊었던 Case 3의 경우, 암반층에 위치한 지보재에서는 지진하중에 의한 축력의 증가가 매우 작은 것으로 나타나, 암반층의 관성력이 가시설에 미치는 영향은 제한적인 것으로 판단되었다. 내진해석을 위한 암반층의 토압 적용 여부를 상세히 평가하고자 암반층에도 Semirigid 토압을 적용하여 등가정적해석을 수행하고, 지진하중으로 증가한 지보재의 축력을 Fig. 11과 같이 도시하였다. 그 결과 시간이력해석이나 토사층에만 등가정적하중을 적용했을 경우와 비교하여 암반층에 위치한 지보재에 과다한 축력이 산정되는 현실성이 떨어지는 결과가 도출되었다. 따라서 암반층까지 근입된 가시설의 경우에는, 암반의 파쇄정도가 심하거나 토사와 같이 거동하는 특수한 경우를 제외하고는, 별도로 동적 토압, 즉 암반의 관성력을 고려해 줄 필요가 없을 것으로 판단된다.
4.3 등가정적해석의 적용성
수치해석 결과를 종합해 보면, 0.4%H 이하의 변위가 발생하는 Stiff wall의 경우 Semirigid 방법으로 등가정적해석을 수행할 때 벽체에 발생한 최대 모멘트가 가장 합리적으로 예측되는 것으로 나타났다. 또한 Wood의 방법도 Semirigid 방법보다는 다소 안전측이지만 보수적인 설계를 위해 적용 가능한 방법으로 판단되었다. 등가정적해석은 구조물과 흙 사이의 동적인 상호작용을 고려할 수 없어 지보재 축력을 예측하는데 한계점을 보였으나, Semirigid 방법으로 안전측의 예비 검토는 가능할 것으로 추정된다. 단, 본 연구는 매우 제한적인 조건에서 수행된 수치해석 결과이며, 비록 여러 가지 측면에서 기존의 연구 결과와도 유사한 결론이 도출되었지만 등가정적해석의 유효성이 확보되기 위해서는 향후 다양한 지층조건 및 지진조건을 고려한 추가적인 검증이 필요할 것으로 판단된다.
5. 결 론
본 논문에서는 흙막이 가시설의 내진설계 가이드라인을 작성하기 위한 기초 연구로서, 국내외 내진설계 기준을 검토하고, 등가정적해석을 위한 동적 토압에 대하여 문헌연구를 수행하였다. 그리고 FLAC 2D를 이용한 유한차분해석을 통해 등가정적해석법의 적용성을 평가하였다. 본 연구로부터 도출된 결론은 다음과 같다.
(1) 국내외 내진 설계기준 검토 결과, 대부분의 국가에서 흙막이 가시설에 대해 영구구조물과 구분되는 별도의 내진설계 기준을 제시하고 있지는 않았다. 그러나 호주 등 남태평양 국가들은 재현주기 50년~100년 빈도의 지진하중으로 내진설계를 수행토록 규정하고 있었으며, 일부 프로젝트들도 재현주기 100년을 적용한 내진해석을 수행하는 것을 확인하였다.
(2) 문헌조사 결과 옹벽 구조물에 발생하는 동적 토압은 크게 세 가지로 분류되었다. 변위가 발생하지 않는 강성벽체(Rigid wall) 조건에서는 배면 지반의 관성력을 100% 적용하는 Wood의 방법이 제안된 바 있다. 0.4%H 이내의 변위가 발생하는 Stiff wall에서는 Rigid wall 대비 25% 정도 하중을 경감시켜 적용하는 Semirigid 방법이 제시되어 있으며, 0.4%H~0.5%H 이상의 변위가 발생하는 연성벽체(Flexible wall)에는 Mononobe-Okabe 방법이 적용 가능한 것으로 조사되었다.
(3) Semirigid, Wood, Mononobe-Okabe 방법으로 동적 토압을 산정한 후 FLAC 2D를 이용하여 등가정적해석을 수행하고, 벽체에 발생한 모멘트를 시간이력해석 결과와 비교하여 등가정적해석의 적용성을 분석하였다. 국내 가시설 설계기준 상 도심지 대심도 굴착공사에 계획되는 지하연속벽이나 주열식 벽체는 수평방향으로 0.2%H~0.3%H 이내의 허용 변위를 갖는 Stiff wall로 분류될 수 있는데, 세 가지 동적 토압 방법 중 Semirigid 방법이 벽체에 발생한 모멘트를 가장 합리적으로 예측하는 것으로 분석되었다. 또한 실무적으로 Wood의 방법도 Semirigid 방법보다는 등가정적해석의 보수적인 측면에서 다소 안전측으로 적용 가능한 방법으로 판단된다.
(4) 등가정적해석은 구조물과 흙 사이의 동적인 상호작용을 고려할 수 없어 지보재의 축력을 예측하는데 한계점을 보였으나, Semirigid 방법으로 안전측의 예비검토는 가능할 것으로 판단된된다. 그러나, 본 연구는 제한적인 조건에서 수행된 수치해석 결과이므로, 등가정적해석의 유효성이 확보되기 위해서는 보다 다양한 지반조건 및 지진조건에 대한 검증이 이루어져야 할 것으로 판단된다.













