1. 서 론
2017년 11월 발생한 포항지진은 경상북도 포항시 북구 북쪽 7.5km를 진원으로 하는 규모 5.4의 지진으로서 1978년 계기지진 관측 이래 2016년 발생한 경주지진에 이어 국내에서 두 번째로 큰 규모이다. 특히 진도분석 결과를 보면 수정 메르칼리진도계급(Modified Mercalli Intensity Sale, MMI Scale)을 기준으로 많은 지역이 5~6사이에 위치하고 있으나, 몇몇 지역에서는 최대 8에 이르는 것으로 나타났다(KMA, 2018).
포항지진의 가장 큰 특징은 국내 계기지진 관측 이래 처음으로 액상화 현상이 관측되었다는 것이다(Kim, 2018; Ha, 2018). 액상화(Liquefaction)현상은 포화된 지반이 지진 등의 외력에 의해 전단강성을 잃고 물처럼 거동하는 현상을 말한다. 액상화는 1964년 일본 Niigata지진과 미국 Alaska지진에서 보고된 이래 미국과 일본을 중심으로 연구가 활발히 이루어졌다(Seed et al., 1976; Iwasaki, 1978). 액상화는 지반침하, 측방유동, 모래분사 등 많은 피해를 발생시키기도 한다. 특히, 2011년 뉴질랜드 Christchurch 지진과 2011 off the Pacific Coast of Tohoku Earthquake에서는 넓은 지역에 걸쳐 광범위한 액상화가 발생하여 라이프라인 시설과 건물 등에 막대한 피해를 발생시켰다(Kazama et al., 2012; Yamaguchi et al., 2012; Cubrinovski et al., 2012). 국내에서도 포항지진을 계기로 액상화 평가에 관한 연구가 활발히 진행되었다. Park 등(2018) 및 Mun(2018)은 액상화가 발생한 지역의 모래를 활용한 실내반복전단실험을 통해 포항지역 모래의 액상화거동을 평가하였다. Beak 등(2018)은 LPI(Liquefaction Potential Index)를 활용하여 포항지역의 액상화 위험지도 작성 방법을 제안하였다.
일반적으로 액상화 평가는 지진외력(Cyclic Stress Ratio)과 반복저항강도(Cyclic Resistance Ratio)를 비교한 안전율(Fs, CRR/CSR)을 바탕으로 이루어진다. 지반의 반복저항강도를 나타내는 CRR의 경우 많은 실험을 바탕으로 하여 경험식이 제안되어 널리 활용되고 있고, 현장채취 시료를 활용한 실내실험을 통해서도 얻을 수 있다. CSR은 지반응답해석을 통해 산출하는 것이 가장 좋으나, 광범위한 지역의 많은 지점을 대상으로 할 경우 지반분류에 따른 증폭계수를 활용하는 방법도 이용되고 있다(Jin et al., 2014; Beak et al., 2018; Beak et al., 2019; Choi et al., 2018). 증폭계수를 활용한 액상화 평가와 관련하여 Ahn 등(2018)에 따르면 포항지역 2곳을 대상으로 행정안전부에서 제정한 내진설계기준 공통적용사항에서 제시하는 지반분류 기준(MOIS, 2017)에 따른 지반증폭계수를 활용하여 PGA를 산정한 경우와 지반응답해석을 통해 PGA(Peak Ground Acceleration)를 산정한 경우 그에 따른 액상화 평가 결과가 상이하게 나타났다. 다만, 이 연구에서는 액상화 현상이 목격된 지점만을 대상으로 수행하였기 때문에 전반적인 경향성을 논하기에는 어려움이 있다. 앞서 설명한 바와 같이 포항지진 이후 액상화 위험도 평가 시 대상지역 내에 모든 시추공 데이터에 대한 지반응답해석 수행이 어려워 증폭계수를 활용한 결과가 대부분이다. 하지만 Ahn et al.(2018)의 연구와 같이 지반응답해석을 통해 얻어진 PGA와 증폭계수를 바탕으로 얻어진 PGA가 상이한 경우가 있기 때문에 증폭계수를 활용한 PGA 산출의 적절성에 관한 검토가 필요하다.
따라서, 본 연구의 목적은 포항 전역의 시추공을 대상으로 지반응답해석을 통해 산출된 각 지반분류별 지표면최대가속도(Peak Ground Acceleration, 이하 PGA)와 내진설계기준 공통적용사항에서 제시하는 지반증폭계수를 활용하여 산출한 PGA의 비교를 통해 액상화 평가 시 지반증폭계수 활용의 적절성을 확인하고자 한다.
2. 등가선형 지반응답해석
2.1 대상지역
본 연구의 대상지역은 2017년 포항지진이 발생한 경상북도 포항시이다. Fig. 1은 본 연구의 대상지역과 한국건설기술연구원에서 운영중인 국토지반정보포털시스템(www.geoinfo.or.kr)에 등록된 지반시추정보 위치를 나타낸다. 국토지반정보포털시스템에 등록된 데이터 중 표준관입시험결과가 존재하지 않거나 지층종류가 명확하지 않는 데이터를 제외한 총 2084공의 지반시추데이터를 활용하였다. 시추데이터가 대부분 도로, 철도, 터널, 주택단지를 중심으로 분포하고 있어 포항시전체를 포괄하지 못하지만 시추데이터가 존재하지 않는 지역은 대부분 산간지역이며 총 2000공이 넘는 시추데이터를 활용함으로써 포항시의 지층특성을 상당부분 반영할 수 있다고 판단된다.
2.2 지반모델
본 연구에서는 2084공의 시추데이터를 바탕으로 지반응답해석을 수행하기 위해 지반모델을 작성하였다. 지반모델은 토사층은 지층구분 및 지하수위를 고려하여 1~1.5m를 기준으로 분할하였고, 심도 20m이상은 3m, 암반층은 5m를 기준으로 분할하였다. 기반암은 전단파속도가 760m/s이상인 지반으로 설정하였고, 시추조사가 기반암(Vs > 760m/s)에 도달하지 못하고 종료되었을 경우 최저층의 아래를 연암(Vs = 760m/s)로 가정하여 모델을 작성하였다. Fig. 2는 시추 주상도를 기초로 한 지반응답해석을 위한 모델작성 예시이다. 각 층의 강도는 표준관입시험(Standard Penetration Test, SPT)결과를 바탕으로 산정하였다. 표준관입시험 타격횟수(SPT-N)값은 각 층의 중간심도를 중심으로 상하의 SPT-N값으로부터 선형보간을 통해 설정하였다. 전단파속도(Shear Wave Velocity, Vs)는 Table 1과 같이 기존에 제안된 각 토질별 N값-Vs의 관계식을 바탕으로 산출하였다. 각 토질별 2~3개의 식을 활용하여 전단파속도를 산출한 후 그 평균값을 대푯값으로 설정하였다. 각 층의 습윤 단위중량은 점토, 모래, 실트 각각 16.8kN/m3, 17.5kN/m3, 16kN/m3로 설정하였다. 지하수위는 모든 시추공에 대하여 한국수자원공사 국가지하수정보센터의 2015~2017년까지 3년간 포항시내의 지하수위 관측정의 시계열 데이터의 평균값 중에서 보수적 관점에서 가장 작은 값(G.L. -4m)으로 설정하였다(Fig. 3). 지반정보포털시스템에 등록된 각 시추데이터에는 지하수위 정보가 포함되어 있으나 데이터가 결여된 경우와 지표면 기준인지 해수면 기준인지 모호한 경우가 많다. 따라서 지하수위는 모든 시추공에 대하여 G.L.-4m로 동일하게 설정하였다.
Table 1.
List of relationship between shear wave velocity and SPT-N value
| Soil type | Proposed equation | Reference |
| Weathered rock | VS = 107.94*N0.418 | Sun et al. (2008) |
| VS = 650 | Sun et al. (2012) | |
| VS = 182.3*N0.229 | KLHC (2009) | |
| Sand | VS = 82.01*N0.319 | Sun et al. (2008) |
| VS = 128.3*N0.386 | Jeong (2009) | |
| VS = 173.9*N0.176 | KLHC (2009) | |
| Clay | VS = 187.3*N0.128 | Jeong (2009) |
| VS = 151.2*N0.225 | KLHC (2009) | |
| Gravel | VS = 78.63*N0.361 | Sun et al. (2008) |
| VS = 175.6*N0.161 | KLHC (2009) |
각 시추공은 내진설계기준 공통적용사항의 지반분류 방법(Table 2)에 따라 기반암심도 및 토층 평균 전단파속도를 바탕으로 분류하였다. 각 시추공의 평균 전단파속도는 다음 식(MOIS, 2017)을 활용하여 결정하였다.
Table 2.
Site classification (MOIS, 2017)
여기서, di는 기반암 깊이까지의 I번째 토층의 두께(m)이고, Vsi는 기반암 깊이까지의 I번째 토층의 전단파속도(m/s)를 나타낸다. 전체 시추공 2084공중 S1~S5지반은 각각 26공, 1273공, 335공, 445공, 5공으로 분류되었다. MOIS(2017)에 따라 시추공 중 기반암 깊이가 50m를 초과하면 평균 전단파속도와 상관없이 S6지반으로 분류하였다. 또한 평균전단파속도가 120m/s이하인 지반은 기반암 깊이에 상관없이 S5지반으로 분류하였다. 결과를 보면 포항시의 지층은 기반암 심도가 20m 이내 이면서 토층 평균 전단파속도(Vs)가 260m/s 이상의 얕고 단단한 지역(S2지반)이 가장 많은 것을 알 수 있다. 본 연구에서는 SPT-N값으로부터 환산식을 이용하여 전단파속도를 추정했기 때문에 지반의 모델링방법(각 층의 두께), SPT-N값의 추정방법, 그리고 SPT-N값으로부터 전단파속도를 환산할 때 사용하는 식에 따라 지반분류는 다소 달라질 수 있다.
지반응답해석을 위한 각 지층의 변형률에 따른 전단탄성계수와 감쇠비의 동적곡선은 Fig. 4와 같다. 모래층은 국립재난안전연구원에서 2017년 수행한 지반조사 및 실내실험결과(NDMI, 2017)를 바탕으로 설정하였으며, 점토층은 별도의 실험 결과가 없어 Darendeli모델(Darendeli, 2001; Jang et al., 2020)을 사용하였다.
2.3 입력지진파 및 지반응답해석
본 연구에서는 1차원 등가선형해석 프로그램인 SHAKE91(Idriss and Sun, 1993)을 이용하여 각 부지의 지반응답해석을 수행하였다. SHAKE는 중복반사이론을 바탕으로 지진파에 대한 지반의 응답(가속도, 속도, 변위응답)을 평가하는 프로그램이다. 해석을 위한 입력지진파는 2017년 포항지진에서 기상청 관측소(PHA2, 포항관측소, 진앙에서 약 9.5km)에서 계측된 지진파(Sampling Rate 100Hz)의 NS성분을 내진설계공통기준에서 제시하고 있는 재현주기별(500년, 1000년, 2400년) 암반지반의 표준설계응답스펙트럼에 부합하도록 Seismomatch 프로그램을 활용하여 스펙트럼 매칭을 수행하였다. NS성분을 활용한 이유는 NS성분의 PGA(0.29)가 EW성분의 PGA(0.24)보다 커 지반응답해석에 따른 PGA의 차이가 보다 명확하게 나타날 것으로 예상되기 때문이다.
Fig. 5는 각 재현주기별로 표준설계응답스펙트럼에 매칭 된 지진파와 그 스펙트럼을 나타낸다. 지반의 액상화 평가에서는 PGA가 중요한 요소 중 하나이기 때문에 응답스펙트럼의 형상뿐 아니라 각 재현주기의 유효수평지반가속도(S)에 근접하도록 매칭을 수행하였다. 매칭 된 각 재현주기별 최대가속도는 각각 0.11g, 0.156g, 0.23g이며, 지진1구역 500년, 1000년, 2400년 재현주기에 해당하는 기반암 최대가속도 0.11g, 0.154g, 0.22g와 거의 유사한 값이다. 각 지진파는 기반암에 암반노두 지진파로써 입력하였다.
3. 해석결과 및 분석
Fig. 6은 지반분류별(S2~S5) 전단파속도 심도 분포를 나타낸다. 동일한 지반분류에 속한다고 하더라도 다양한 지반구성이 존재하긴 하나 단단한 지반으로 분류되는 S2지반 및 S4지반의 경우 심도가 얕은 지층부터 Vs가 200m/s를 초과하는 데이터가 많은 반면 연약한 지반으로 분류되는 S3 및 S5의 경우 상대적으로 얕은 심도에서의 Vs가 작은 것을 알 수 있다. 그림에는 각 지반분류별 평균 전단파속도와 기반암심도를 나타내었다. 포항시의 경우 얕은 지반으로 분류되는 S2 및 S3지반의 평균기반암 심도는 각각 8.5m 및 8.9m로 나타났다. 반면 깊은 지반으로 분류되는 S4 및 S5지반의 평균기반암 심도는 각각 28m 및 28.8m였다. 평균 전단파속도도 단단한 지반과 연약한 지반이 차이를 나타냈다.
Fig. 7은 재현주기 500년에 해당하는 지진파를 활용한 지반응답해석 결과로 얻어진 지반분류별 PGA 심도분포를 나타낸다. 그래프내의 각 점은 내진설계기준 공통적용사항에 제시된 단주기 증폭계수를(Table 3) 활용하여 예측한 지표면 최대가속도 값과 지반응답해석결과 얻어진 지표면최대가속도의 평균값을 나타낸다. 결과를 보면 동일한 지반분류라고 하더라도 PGA가 상당히 큰 차이를 보이는 것을 알 수 있다. 또한 내진설계기준 공통적용사항에 제시된 단주기 증폭계수를 활용하여 예측한 PGA와 지반응답해석을 통해 얻어진 평균PGA가 차이가 있고, 증폭계수를 바탕으로 산출된 PGA는 지반종류와 상관없이 지반응답해석을 통해서 얻어진 평균PGA에 비해 작은 값을 나타내는 것을 알 수 있다. S2 및 S3 지반의 경우 평균PGA가 증폭계수를 통해 산출된 결과에 비해 대략 1.4배정도 큰 것으로 나타났다. S4지반의 경우도 대략 1.1배 큰 결과를 나타냈다. 다만 S5지반의 경우 반대의 결과가 나타났는데, S5지반은 데이터수가 너무 적기 때문에 이번 논의에서는 제외하기로 한다. 결과에서도 알 수 있듯이 증폭계수만을 활용하여 지반분류별 PGA대푯값을 설정하는 것은 큰 편차를 나타낼 수 있다. 특히 PGA에 큰 영향을 받는 액상화평가시에 증폭계수를 바탕으로 산출한 PGA를 활용할 경우 액상화평가 결과가 상당히 달라질 수 있음을 나타낸다.
Table 3.
Amplification factor (MOIS, 2017)
| Site class | Short-period, Fa | Long-period, Fv | ||||
| S ≤ 0.1 | S = 0.2 | S = 0.3 | S ≤ 0.1 | S = 0.2 | S = 0.3 | |
| S2 | 1.4 | 1.4 | 1.3 | 1.5 | 1.4 | 1.3 |
| S3 | 1.7 | 1.5 | 1.3 | 1.7 | 1.6 | 1.5 |
| S4 | 1.6 | 1.4 | 1.2 | 2.2 | 2.0 | 1.8 |
| S5 | 1.8 | 1.3 | 1.3 | 3.0 | 2.7 | 2.4 |
행정안전부 내진설계기준 공통적용사항에서는 Table 3과 같이 지반분류에 따른 단주기 및 장주기 지반증폭계수를 제시하고 있다. 지반증폭에 따른 응답스펙트럼은 Fig. 8에 따라 도출한다. S는 유효수평가속도를 의미하며, Fa와 Fv는 각각 단주기 및 장주기 증폭계수이다. Ts, T0, TL은 전이주기로 그림내에 표시된 식을 통해 산출된다. Fig. 8의 DRS(Design response spectrum)는 300개의 지반에 대해 8개의 입력지진파, 4개의 지진세기를 활용하여 수행된 지반응답해석의 결과로부터 도출되었다(Kim et al., 2018).

Fig. 8
Design response spectral acceleration of horizontal design ground motion in soil ground (MOIS, 2017)
본 연구의 대상은 가속도 응답스펙트럼의 y절편에 해당하는 지표면 최대가속도이기 때문에 각 유효수평가속도(S)에 단주기 증폭계수인 Fa를 곱하여 지표면 최대가속도를 산출하였다. Table 3에 제시된 증폭계수를 보면 단단한 지반보다는 연약한 지반이 증폭이 많이 되고 얕은 지반보다는 깊은 지반이 증폭이 많이 되는 특성을 나타내고 있다. 또한 유효수평가속도가 작을수록 더 많이 증폭되는 경향을 보인다.
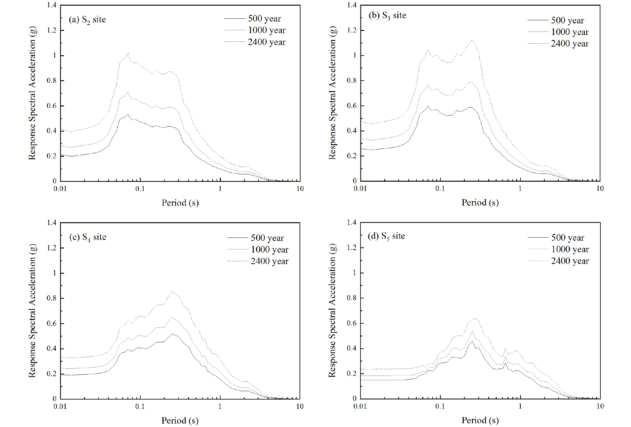
Fig. 9부터 Fig. 11은 지반응답해석을 통해 얻어진 각각 재현주기 500년, 1000년, 2400년에 해당하는 입력지진파에 대한 지반분류별 가속도응답스펙트럼을 나타낸다. Fig. 8~10의 회색으로 표시된 선은 각 시추공의 지반응답해석결과 도출된 지표면에서의 가속도응답스펙트럼이다. 붉은색 선은 내진설계기준 공통적용사항에서 제시하는 Fig. 8 및 Table 3에 따라 산출된 가속도 표준설계응답스펙트럼(Response Spectral Acceleration, RSA)이며, 파란색 선은 각 지반분류별 가속도응답스펙트럼의 산술 평균값을 나타낸다. S5지반의 경우 포항시 권역 내에 시추데이터가 5개소밖에 존재하지 않아 일반화하기 어렵기 때문에 참고 데이터로만 활용하였다. 응답스펙트럼의 평균값을 보면 얕은 지반(S2 및 S3)에서는 0.1초 부근 응답이 두드러지고 깊은 지반인 S4에서는 0.3초 부근의 응답이 두드러지는 결과가 나타났다. 이 결과는 지진 재현주기에 상관없이 동일한 결과를 보였다. 얕고 연약한 지반(S3)의 경우 0.1초 부근 응답뿐 아니라 0.3초 부근에서도 스펙트럼이 커지는 현상이 발생했는데 이는 낮은 지반강성에 의해 단단한 지반에 비해 상대적으로 고유주기가 커져 주기가 큰 성분이 증폭됐기 때문으로 보인다. 이 결과는 각 지반분류별 응답스펙트럼의 산술평균에 따른 결과이기 때문에 각각의 지반특성에 따라 이러한 경향에서 벗어나는 다양한 결과가 얼마든지 나올 수 있지만 각 지반분류별 경향성을 평가하는데 의의가 있다.
가속도 표준 RSA(MOIS, 2017)과 지반응답해석을 통해 얻어진 평균RSA를 비교해보면 얕은 지반인 S2 및 S3지반에서 지진 재현주기에 상관없이 표준설계응답스펙트럼에 비해 다소 크게 증폭되는 결과가 나왔다. 이에 반해 깊은 지반인 S4와 S5지반에서는 표준설계응답스펙트럼과 거의 유사또는 다소 작은 결과를 나타냈다. 지반분류별 전반적인 스펙트럼의 평균적인 형태는 표준설계응답스펙트럼과 상당히 유사한 것을 알 수 있다. 하지만 결과에서도 알 수 있듯이 평균적인 경향과는 다른 결과를 나타내는 케이스가 상당 수 있기 때문에 표준설계응답스펙트럼만으로 각각의 지반응답을 예측하는 것은 어려울 것으로 보인다.
Fig. 12와 같이 재현주기에 따른 가속도 응답스펙트럼의 형상은 거의 차이를 보이지 않았다. 이는 설계지진파가 재현주기가 길어짐에 따라 유효수평가속도(S)가 커지더라도 재현주기 변화에 따라 설계지진파의 주파수 특성이 거의 유사하기 때문으로 생각된다.
지반의 증폭계수는 각 주기별 응답스펙트럼이나 푸리에 스펙트럼을 이용하여 결정한다. 그 중 주기 0.1초에서 0.5초에 해당하는 단주기 응답스펙트럼비(Ratio of Response Spectra, RRS)는 다음 식을 이용해서 계산한다(Borcherdt, 1996; Dobry et al., 1999).
여기서, Rsoil과 Rrock는 각각 진원부터 지표면과 기반암표면까지의 거리이며, RSsoil과 RSrock는 각각 지표면과 기반암에서의 응답스펙트럼이다. 국내의 경우 기반암에서 지표면까지의 거리가 진원으로부터의 거리에 비해 짧기 때문에 Rsoil/Rrock의 값은 1로 가정할 수 있다. 하지만, 본 연구의 목적은 단주기 증폭계수를 도출하는 것이 아닌 증폭계수를 활용하여 산출한 Fig. 7의 y절편에 해당하는 지표면 최대가속도(Fa×S)의 적정성을 검토하는 것이기 때문에 혼돈을 피하기 위해 식 (3)을 이용하여 지표면 PGA에 대한 입력기반암가속도의 비를 PGA증폭비로 정의하였다.
여기서, αmax.rock과 αmax.surface는 각각 암반 노두와 지표면에서의 최대가속도 값을 나타낸다. 따라서, 일반적으로 통용되는 단주기 증폭계수 Fa와는 다른 의미이며, 본 연구에서는 기반암과 지표면에서의 최대가속도 비율을 PGA증폭비로 정의하고 활용하였다는 것을 명확히 한다.
Fig. 13은 입력 최대가속도대비 PGA증폭비의 관계를 나타낸다. 그림 내의 점선은 Table 3과 Fig. 8에 제시된 단주기 증폭계수 Fa와 입력 최대가속도의 관계에 따라 산출된 PGA증폭비이며, 실선은 지반응답해석을 통해 얻어진 PGA를 식 (3)에 대입하여 얻은 결과이다. 내진설계기준 공통적용사항에 따라 산출된 PGA증폭비는 입력 가속도가 작은 (0~0.13g)부근까지 깊고 연약한 지반(S5), 얕고 연약한 지반(S3), 깊고 단단한 지반(S4), 얕고 단단한 지반(S2)순으로 증폭계수가 점점 작아지는 것을 알 수 있다. 이에 반해 지반응답해석을 통해 얻어진 결과는 얕은 지반이 깊은 지반에 비해 증폭정도가 큰 것으로 나타났다. PGA증폭비의 범위도 내진설계기준 공통적용사항을 통해 도출된 결과와 비교해 지반응답해석에 의해 얻어진 결과가 지반종류에 따라 큰 차이를 보였다. 또한, 입력가속도가 0.13g를 넘어가는 영역에서 내진설계기준 공통적용사항을 통해 도출된 PGA증폭비는 그 차이가 점점 작아져 거의 비슷해지는데 반해 지반응답해석결과로부터 얻어진 PGA증폭비는 입력가속도가 커짐에 따라 점차적으로 작아지나 지반종류에 따른 차이는 거의 없이 평행하게 감소하였다. 이러한 차이는 증폭계수의 경우 지반 종류에 따른 단자유도 구조물의 고유주기별 응답특성을 파악하기 위해 단주기와 장주기 증폭계수로 나누어 응답스펙트럼의 형상을 예측하는 것을 목적으로 하여 단주기 증폭계수를 산출할 때 식 (2)와 같이 주기 0.1~0.5초를 대상으로 평가하므로 y절편의 값은 단주기 증폭계수 산정 시 반영되지 못하기 때문으로 보인다.
액상화 평가시에서는 지진외력(반복전단응력비)을 평가할 때 응답스펙트럼 특성이 아닌 다음 식과 같이 지반을 통과하면서 증폭 및 감쇠된 결과로 얻어지는 PGA를 활용한다.
여기서, τ/σ'c, αmax.surface, g는 각각 반복전단응력비, PGA, 중력가속도이다.
식 (4)와 같이 액상화 평가 시 활용하는 반복전단응력비는 지표면 최대가속도가 가장 큰 변수이다. 국내 내진설계기준 공통적용사항에 따라 증폭계수를 활용하여 지표면 최대가속도를 예측할 경우 지역에 따라서는 액상화 평가 시 지진외력을 적절하게 평가하지 못할 가능성이 있다. 다만, 본 논문에서는 포항지진관측소에서 계측된 NS성분을 바탕으로 수행한 결과로 EW성분 또는 다른 관측소에서 계측된 지진파를 활용할 경우 다른 결과가 도출될 가능성이 있다. 그럼에도 불구하고 액상화 평가 시 증폭계수를 활용하여 지표면 최대가속도를 산출 할 경우 지반응답해석과의 비교를 통한 충분한 검토가 필요하다는 점은 명확해 보인다.
4. 결 론
본 연구에서는 2017년 포항지진이 발생한 포항지역을 대상으로 포항지역 내 총 2084공의 시추공에 대하여 지진 재현주기 별(500년, 1000년, 2400년) 지반응답해석을 수행하고 그 결과를 바탕으로 지반증폭계수를 활용한 PGA 산출의 적절성을 검토하였다. 지반응답해석을 통해 얻어진 지표면의 응답스펙트럼을 검토한 결과 지반분류 별 응답스펙트럼의 산술평균은 내진설계기준 공통적용사항에서 제시하고 있는 표준설계응답스펙트럼과 유사한 형상을 보였다. 하지만 같은 지반분류라고 하더라도 응답스펙트럼이 시추공별로 동일하지 않기 때문에 특정지역을 평가할 경우에는 지반응답해석 등을 통한 상세한 검토가 필요할 것으로 보인다.
지표면의 응답스펙트럼은 내진설계기준 공통적용사항에서 제시된 증폭계수를 바탕으로 어느 정도 타당한 예측이 가능하나 최대지반가속도의 경우 상당한 차이를 나타냈다. 특히 내진설계기준 공통적용사항에서는 입력 가속도가 작을 경우 깊은 지반이 얕은 지반보다 크게 증폭되도록 제시하고 있으나 포항지역을 대상으로 수행한 지반응답해석 결과에서는 입력 가속도에 관계없이 얕은 지반에서 PGA가 더 크게 증폭되는 결과를 보였다. 이러한 결과는 내진설계기준 공통적용사항에서 제시하는 단주기 증폭계수는 암반에서의 스펙트럼대비 지반에서의 스펙트럼 증폭정도를 주기 0.1~0.5초 사이에서 적분하여 얻어진 결과이기 때문에 가속도응답스펙트럼의 Y절편에 해당하는 PGA의 증폭정도가 충분히 반영되지 못했기 때문으로 보인다. 내진설계기준 공통적용사항에서 제시하고 있는 응답스펙트럼은 구조물 주기에 따른 응답형상으로 지반보다는 지표면에 위치한 구조물의 내진설계나 내진성능 평가가 주목적이다. 따라서 구조물의 내진설계에는 적합하나 지반의 부지 특성에 따른 최대가속도를 예측하는 데는 한계가 있어 보인다. 또한, PGA는 지진 관측시 계측주파수에 크게 영향을 받는 요소로 본 연구에서는 100Hz로 계측된 결과를 활용하였으나, 계측주파수가 다를 경우 상이한 결과가 발생할 수 있다는 점을 분명히 한다.
PGA가 주요 인자로 활용되는 액상화 평가시 내진설계기준 공통적용사항에서 제시하고 있는 증폭계수만을 활용하여 PGA를 평가하게 되면 지반응답해석을 통해 얻어진 결과와는 상당한 차이가 발생할 수 있다. 따라서, 증폭계수를 활용하여 지표면 최대가속도를 평가 할 경우 지반의 부지 특성에 관한 충분한 검토가 전제되어야 한다.














