1. 서 론
2. 이론적 배경
2.1 기존 체크리스트 현황
2.2 Analytic Hierarchy Process (AHP)
3. 사고사례 데이터 분석
4. 체크리스트 개발
5. AHP 분석
5.1 설문 조사
5.2 AHP 분석결과
6. 사례 적용 및 검증
7. 결 론
1. 서 론
굴착공사(Excavating Work)란 손으로 흙을 파거나 혹은 굴착기 등에 의하여 지반을 파는 공사를 말하며, 일반적으로 굴착, 적재, 배토 운반 작업을 포함한다. 지반공학 분야에서는 안전한 굴착공사를 진행하기 위하여 다수의 연구 논문이 출판되었으며, Seong et al.(2011)은 흙막이 굴착공사 시공 중 발생한 사고사례를 분석하여 안전관리 방안을 제시하였으며, Won and Kang(2019)는 굴착공사의 위험요인을 경제적인 지표와 연계하여 안전관리 방안을 제시하였다. Seong and Jung(2017)은 도심지에서 수행되는 개착 공사로 인해 발생할 수 있는 주변 지반의 붕괴 및 도로함몰을 고려한 관리 방안을 결정하였으며, Am et al.(2020) 연구자도 굴착공사로 발생할 수 있는 2차 피해를 방지하기 위한 고려사항을 제시하였다. 또한 굴착 시 지반의 거동에 초점을 맞춘 연구도 진행되었으며, 흙막이 벽체의 변형 특성(Park and Joung, 2020), 지하수 거동과 연계(Kim et al., 2021), 수직구 굴착 중 지반 변형(Kim, 2022), 시계열 분석으로 흙막이 벽체 변형 예측(Seo and Chung, 2024) 그리고 터널 붕괴 사례를 통한 막장 안정성 분석(Kim, 2024) 등 다양한 연구가 진행되었다. 선행연구는 굴착공사 시 역학적인 거동 기반의 기술적인 방법론으로 구조물의 변형을 최소화하고 안전한 시설물을 구축하기 위한 방법론을 제시하였다. 하지만 굴착공사 시 발생하는 안전사고는 구조물 붕괴뿐만 아니라 굴착공사 시공 중에 발생하는 작업자 및 감독관의 안전관리 불충분으로 발생하는 사례도 보고된다. 따라서 해당 연구에서는 굴착 과정이 동반되는 건설 현장의 안전한 관리를 도모하기 위한 방법론을 제시하고자 하였으며, 굴착공사 중 굴착 깊이가 상대적으로 얕아 관리자들에게 관심은 작지만 사고 발생 비율이 높은 소규모 굴착공사를 연구 대상으로 설정하였다.
소규모 굴착공사란 지하안전관리에 관한 특별법(약칭:지하안전법)에서 지하안전평가(소규모지하안전평가) 및 서울특별시 건축조례에서 굴토심의 대상 요건에 해당하지 않는 통상 10m 미만 굴착으로 각종 관로공사와 기초터파기 공사가 주된 작업으로 구성된다.
산업안전보건법에서는 공사금액 50억원 이상 안전관리자 1명 이상을 선임해야 하고 150억원(토목공사업인 경우) 이상일 경우 안전관리자를 전담으로 선임해야 한다고 규정하고 있다. 하지만 소규모 굴착공사의 경우 공사금액이 적어 안전관리자가 선임되지 않는 현장이 많고 안전관리 업무를 관리감독자가 공사업무와 병행하는 경우가 대부분이며 관리감독자의 현장배치 인원에 대한 법적 규정이 없어 최소한의 관리감독자가 현장을 관리함으로 인한 작업 근로자에 대한 안전교육 부족 및 안전의식 불량 등의 위험성이 존재하고 있다. 이러한 전반적인 안전관리 부족은 굴착면 붕괴나 건설기계의 접촉, 충돌, 협착 등 중대 재해의 발생 위험이 존재하고 있다. Construction Safety Management Integrated Information(CSI) 시스템에 등록된 2019년부터 2023년까지 건설 현장의 전체 재해 중 소규모 굴착공사로 인한 재해는 101건으로 다른 재해와 비교하여 발생 빈도는 낮지만 101건의 재해 중 약 26%가 중대 재해인 사망 재해로 연결되어 관심을 가져야 한다. 이러한 소규모 굴착공사로 인한 사고를 예방하기 위하여 국토교통부에서는 굴착공사 시 깍기비탈면의 표준경사 설계기준(건설공사 비탈면 설계기준, 2016)을 제시하였고, 고용노동부는 산업안전보건기준에 관한 규칙(약칭:안전보건규칙), 굴착공사 표준안전 작업지침, 건설공사 굴착면 안전기울기 기준에 관한 기술지침(KOSHA GUIDE C-104-2023)에서 굴착 작업 위험방지 및 굴착면 기울기를 규정하였으며 서울시에서는 소규모 굴착공사 현장의 담당공무원의 전문성을 제고하고 현장점검 등에서 즉시 활용할 수 있는 메뉴얼(도심지 소규모굴착 건축공사장 안전관리 간편 매뉴얼, 2016)을 제작 배포하였다. 정부에서는 굴착 작업 시 사고 예방에 관한 제도적 기준을 제시하여 안전규정을 지키도록 하고 있지만 각 기관마다 가지고 있는 고유한 업무 특성으로 기준이 복잡하고 다양한 작업을 수행하는 건설공사 특성상 사고 예방 효과의 한계를 보여주고 있다. 또한, 국토교통부, 고용노동부, 서울시 등에서는 각각의 체크리스트를 개발하여 현장점검에 적용하고 있지만 대부분 흙막이공법의 기술적 점검이 주를 이루고 있어 소규모 굴착공사에 대한 특화된 점검이 아닌 굴착공사 전반에 관한 사항으로 체크리스트 내용이 구성되어 있는 문제도 있다. 따라서 이러한 체크리스트는 건설기계를 사용하는 각종 관로, 흄관 설치, 간이흙막이시설 설치, 기초 터파기 등 소규모 굴착공사의 특성에 맞는 점검항목을 갖추고 있지 않아 소규모 굴착공사에서 효과적으로 사용할 수 있는 체크리스트 점검항목이 필요하다.
본 연구에서는 소규모 굴착공사 시 발생할 수 있는 사고를 예방하고자 소규모 굴착공사현장에서 발생한 사고사례를 분석하여 기존의 체크리스트를 보완한 새로운 체크리스트를 제안하고자 하였다. 새로운 체크리스트는 작업 전과 작업 중에 점검 활동을 할 수 있도록 하여 소규모 굴착공사 시 중대 재해 및 사고 예방에 이바지할 수 있을 것으로 기대한다. 따라서 해당 논문은 체크리스트의 기본 개념과 analytic hierarchy process(AHP) 분석의 배경 이론으로 시작되며, 최근 5년간 101건의 사고사례를 분석한 통계 결과도 설명하였다. 이를 기반으로 Fig. 1과 같이 새로운 체크리스트 항목을 개발하였으며, 전문가 집단의 설문조사로 각 항목의 중요도를 AHP로 분석하였다. 최종적으로는 새로운 사고 사례를 체크리스트에 대입하여 개발된 체크리스트의 신뢰성을 검증하였다.
2. 이론적 배경
2.1 기존 체크리스트 현황
체크리스트는 특정 작업이나 프로세스를 수행할 때 필요한 사항들을 목록화하여 오류를 줄이고, 효율성을 높이기 위해 사용되는 도구이다. 건설 현장에서는 작업자의 안전을 보장하고 사고 예방을 위한 안전관리를 도모하기 위해 체크리스트가 이용되고 있으며, 구체적으로 “안전 장비 사용”, “위험 구역 식별”, “장비 및 기계 점검”, “작업 환경” 및 “응급 대처” 등의 내용 등이 포함되어 있다. 해당 연구에서 목표로 설정한 소규모 굴착공사에 관련된 체크리스트는 기존에 국토교통부, 고용노동부 그리고 서울시에서 개발하였으며 각각의 특징은 다음과 같다.
먼저 국토교통부 건설안전본부에서 작성 배포된 체크리스트는 일반사항, 벽체공법, 지지구조(Strut, Anchor, Raker), 차수공법, 계측관리로 점검항목이 구성되어 있고 점검내용을 살펴보면 설계와 공법 일치 여부, 계측관리 기준 준수 여부, 흙막이공법에 사용된 자재의 구조적 변형 여부 등 기술적인 사항에 대한 점검으로 구성되어 있다. 이러한 체크리스트는 설계 및 관리자가 기술적인 관점에서 점검 시 활용할 수 있도록 점검내용이 구성되어 있어 소규모 굴착공사 현장의 작업자 스스로 활용할 수 있는 체크리스트에는 한계를 보여주고 있다. 서울시에서는 자체 매뉴얼(도심지 소규모 굴착 건축공사장 안전관리 간편 매뉴얼, 2016)에 공무원이 현장 방문 시 소규모 굴착공사 사고를 예방할 수 있도록 체크리스트를 제작 사용하고 있고 점검내용으로는 개인보호구 착용 등 근로자 안전 관련 사항도 포함되어 있지만, 시민 불편사항, 작업장 주변 도로균열·침하 상태 등 주로 공사장 주변 시민안전을 위한 점검항목으로 구성되어 있다. 고용노동부 산하기관인 한국산업안전보건공단에서는 OPS(One Page Sheet)로 체크리스트를 제작하여 현장에서 사용할 수 있도록 제공하고 있고 점검내용으로는 사전 조사, 작업설계, 굴착 작업 등 작업장 내 위험요인 및 근로자의 위험요인을 예방할 수 있는 비교적 구체적인 내용으로 구성되어 있으나, 소규모 굴착공사 작업내용에 맞춰진 체크리스트가 아닌 굴착 작업 전반에 관한 체크리스트 내용으로 구성되어 있다.
2.2 Analytic Hierarchy Process (AHP)
분석적 계층 과정(Analytic Hierarchy Process, AHP)은 복잡한 의사결정 문제를 계층적으로 분해하여 해결하는 방법론으로 공학 분야에서 다양하게 활용되고 있다(Choi et al., 2017). 이 방법은 여러 대안을 평가하고 최적의 결정을 내리는 데 유용하며, 주로 다기준 의사결정 문제에 적용된다. 다기준 간 상대적인 중요도 평가는 일관성 지수(Consistency Index, CI)를 계산 후 설문조사에 응답한 결과의 신뢰성을 판단할 수 있다. CI는 수식 (1)과 같이 쌍대 비교 행렬에서 가중치 벡터와 비교 행렬 곱의 평균값을 통해 최대 고유값(λmax)과 쌍대 비교 행렬의 크기 수(n)의 관계로 계산된다. 여기서 CI 값은 n의 값과 같거나 약간 높은 경우 조사 결과의 만족성이 높다고 판단한다. 해당 연구에서는 새롭게 개발된 체크리스트의 항목들이 얼마나 건설 현장에 활용성이 높은지 설문 조사를 수행하였으며, 설문 조사의 신뢰성은 수식 (1)의 CI 값을 통해 규명하였다.
3. 사고사례 데이터 분석
소규모 굴착공사의 사고사례는 국토교통부 건설공사 안전관리 종합정보망(Construction Safety management integrated Information, CSI)에 신고된 내용을 중점적으로 살펴보았으며, 최근 5년간(2019~2023년)의 기록을 분석하였다. 최근 5년간 소규모 굴착공사의 사상자 수는 Fig. 2와 같이 총 101건의 사고에서 104명이 발생하였으며, 5년간 사망자와 부상자는 각각 총 26명과 78명을 보였다. 매년 사망자는 4~6명 사이로 감소하는 경향 없이 일정한 사망자 수가 발생하는 경향을 보인다. 부상자 수는 2019년도에 7명이 발생하였지만 매년 증가하여 2022년도에는 23명의 가장 큰 부상자 수를 보이고 2023년에는 다소 하락하는 추세를 보인다. 해당 통계의 수치는 건설공사의 전체 규모에서 고려하면 작은 수준이나, 매년 4명 이상의 사망자가 발생하고 있어 반드시 안전 관련 규정을 검토하고 이행하여 사고 발생 건수를 감소시켜야 함을 보여준다.
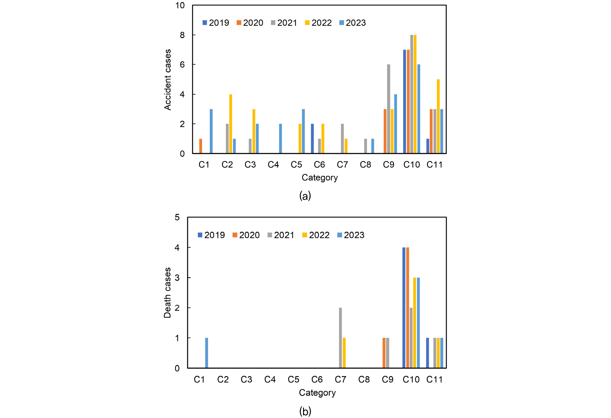
총 101건의 사고사례는 자세히 분석하기 위하여 사고형태로 더욱 세분화하였으며, 그 결과 Fig. 3과 같이 건설기계 전도, 낙하, 미끄러짐, 비산, 실족, 전도, 주변 시설물 붕괴, 추락, 충돌, 토사 붕괴 그리고 협착의 총 11개 형태로 구분하였다. 가장 많은 사고사례가 발생한 유형은 토사 붕괴이며, 5년간 36건으로 전체 건수 중에 약 36%를 차지한다. 건설기계와 충돌 및 협착은 각각 16건(16%)과 15건(15%)를 차지하며, 3가지 사고사례만 고려해도 약 67%가 넘는 비율을 보인다. 나머지 사고유형은 10%내로 발생하는 경향을 보이며, 추락은 소규모 굴착현장임을 감안하여 2021년도와 2023년도 각 1건씩 총 2%의 제일 작은 사고유형에 포함된다. 중대 재해인 사망사고는 토사 붕괴, 건설기계의 협착, 주변 시설물 붕괴, 건설기계의 충돌 그리고 건설기계 전도에서 각각 16, 4, 3, 2 그리고 1건이 발생했다. 사고 발생 건수와 사망사고 건수와의 관계를 살펴보기 위하여 각 사고유형에 따른 사망사고 비율을 계산하였으며, 토사 붕괴, 건설기계의 협착, 주변 시설물 붕괴, 건설기계의 충돌 그리고 건설기계 전도 순서대로 약 44.4%, 26.6%, 100%, 12.5% 그리고 25%로 나타났다. 사망자 수는 토사 붕괴로 인해 다수 발생하였지만 사고 발생 건수와 비교하면 주변 시설물 붕괴 시에는 발생 횟수가 적어도 모두 사망사고와 연결되는 현상이 나타났다. 다행히도 나머지 유형은 사고 발생 시 중대 재해와 연계성이 다소 떨어지는 것으로 확인된다.

Fig. 3
Statistical analysis results according to the types of accidents: (a) accident cases; (b) death cases. The C1, C2, C3, C4, C5, C6, C7, C8, C9, C10 and C11 denote the construction machinery fall down, fall, slip, scattering, a loss of foot, fall down, the collapse of a surrounding facility, a person falls down, collision, the collapse of the earth and sand, and stenosis, respectively
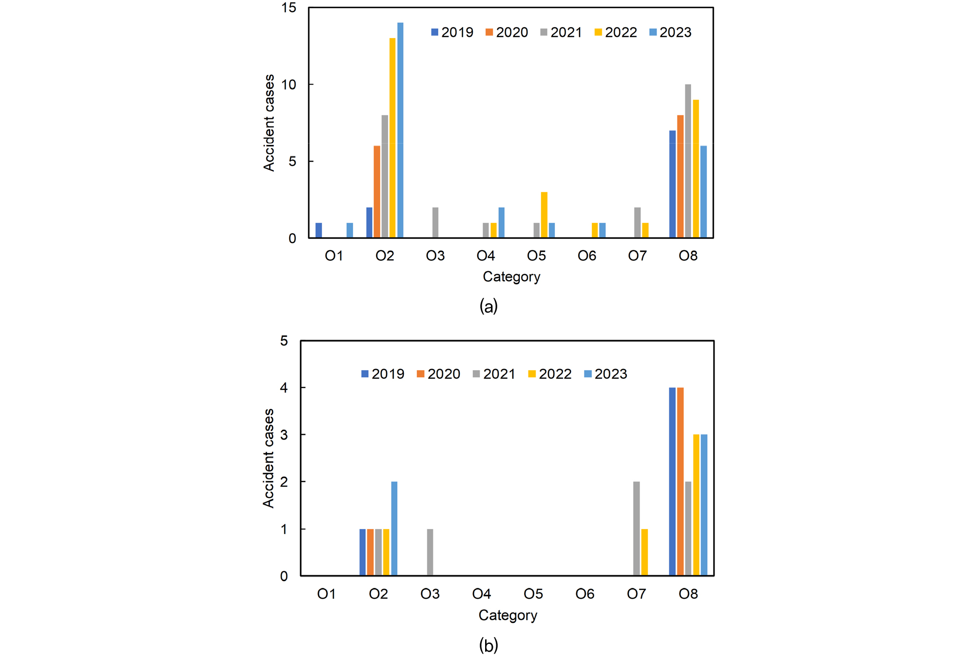
CSI 데이터의 사고사례는 기인물로도 분석하여 Fig. 4에 도시하였으며, 기인물의 종류는 개인 질병, 건설기계, 건설자재, 굴착 단부, 굴착 면, 작업 공구, 주변 시설물, 토사로 구성된다. 사고사례가 많이 발생한 주요 기인물은 건설기계와 토사로 각각 43건과 40건을 보인다. 두 가지 기인물은 전체 사고사례에서 총 83%를 보여 사고사례에 가장 큰 영향을 미치는 것으로 나타났으며, 나머지 항목은 대부분 5% 미만의 비율을 보인다. 각 기인물에 따른 중대 재해 건수는 토사, 건설기계, 주변 시설물 그리고 건설자재 순서대로 16건, 6건, 3건 그리고 1건으로 나타났다. 사고 발생에 따른 사망사고 비율은 토사, 건설기계, 주변 시설물 그리고 건설자재에서 각각 약 40%, 13.9%, 100% 그리고 50%로 계산된다. 기인물 중 주변 시설물은 사고 발생 시 100% 사망사고로 연결되는 위험 수준이 높은 것으로 나타났으며, 건설자재도 50%의 비율로 사망사고가 발생하여 높은 비율을 보였다. 비록 건설기계는 사고 발생 건수가 상대적으로 많지만, 사망사고와의 연계성은 상대적으로 낮은 것으로 나타났다.

Fig. 4
Statistical analysis results according to the object types.: (a) accident cases; (b) death cases. The O1, O2, O3, O4, O5, O6, O7 and O8 denote personal illness, construction machinery, construction materials, excavation end, excavation surface, working tool, surrounding facilities, and earth and sand, respectively
최근 5년간 사고사례는 전체적인 통계의 흐름을 이해하기 위하여 발생 건수, 사고형태 그리고 기인물로 분석하였으며, 이를 통해 각 분석 내용의 위험 수준을 개별적으로 도출하였다. 통계에서 보여주는 가장 특징적인 내용은 위험 수준이 높아 사망사고와 연계되는 사고는 5년 동안 매년 발생하고 있는 사실이다. 이는 현재 운영 중인 안전관리 매뉴얼의 활용성이 매우 부족하고 사고 발생 건수를 줄이기 어려운 한계를 간접적으로 보여준다. 따라서 해당 연구에서는 사고 발생원인을 기반으로 굴착공사 작업 전과 작업 중에 즉시 이용할 수 있는 체크리스트를 개발하고자 하였다.
4. 체크리스트 개발
체크리스트는 건설 현장에서 실무자들의 활용도를 높이기 위하여 이해하기 쉽게 작성되어야 하며, 사고 발생과 직접적으로 연계된 내용으로 구성되어 사고 발생 비율을 줄 일 수 있다는 확신이 필요하다. 해당 연구에서는 앞서 살펴보았듯이 소규모 굴착현장에서 발생한 사고사례의 통계 결과인 Fig. 3과 4를 고려하여 사고와 연계되는 직접적인 원인을 크게 4가지 범주로 구분하였다. 4가지 범주는 “안전관리규정 불량”, “잘못된 작업방법/주변 정리 불량”, “위험 공간 작업/주변 시설물 미확인” 그리고 “개인 부주의/건강관리”이며, Table 1에 정리하였다. 각 4가지 범주는 2~4개의 하위 원인으로 더욱 상세하게 분류하였으며, A 그룹에서는 A1의 “굴착면 경사 위험방지 대책 미흡”으로 인한 사고가 전체 사고의 35%를 차지하고 사망사고는 약 61%의 높은 비율을 차지하고 있다. B 그룹에서 사고의 건수는 굴착 단면의 정리와 관련된 B1이 가장 큰 비율을 보이나, 사망사고는 B2와 B4인 재료와 건설기계 관련된 내용으로 발생한 것을 알 수 있다. C 그룹도 전체 사고 건수는 C1(통로 관련) 항목이 높지만, 사망사고와 관련된 원인은 C2(붕괴 관련)과 연관이 있어 전체 사고와 사망사고의 원인은 다른 것으로 보인다. 마지막으로 D 항목은 사망사고와 관련된 직접적 원인은 없는 것으로 나타났으며, 작업자가 이동 중 추락하는 경우가 가장 큰 사고 건수를 일으키는 것으로 나타났다.
Table 1.
Summarize causes of accidents in small-scale excavation sites
unit : case (accident of death)
Table 1에서 분석된 사고사례 하위 범주는 새로운 체크리스트 개발을 위해 활용하였으며, 하위 범주와 연관이 있는 사고를 방지하기 위해 작업자가 살펴야 할 내용을 14가지로 구분하여 Table 2에 정리하였다. 물론 Table 2는 기존에 활용되고 있는 6개의 체크리스트 항목에 해당 연구를 통해 새롭게 8개가 추가된 것을 알 수 있다. 한국산업안전보건공단 체크리스트 19개 항목 중 5개(A2, A3, B2, B4, B7) 항목과 서울시 체크리스트 13개 항목 중 A6 “굴착공사 주변 시설물(석축, 옹벽 등) 붕괴 예방조치” 1개 항목은 새롭게 개발된 체크리스트에 적용하였고 국토부 체크리스트 항목은 새로운 체크리스트에 적용하지 않았다. 매년 새로운 사고가 발생하는 것이 아니므로 사고사례와 연계된 체크리스트 항목이 개발할 때마다 새로운 내용으로 제안되기는 어렵다. 해당 연구에서는 사고사례 분석결과 기존에 개발된 체크리스트의 항목과 연결되는 내용은 충분히 활용하고 사고사례와 개연성이 부족한 사항은 과감하게 삭제한 후 새로운 항목으로 구축하였다. 결국 Table 2의 14가지 항목이 소규모 굴착현장의 안전관리를 위해 필수적으로 확인해야 할 내용이다. 제안한 체크리스트는 사용자가 작업 전과 중을 구분해서 쉽게 이용할 수 있도록 시공 단계에서 발생할 수 있는 문제를 고려해 단계마다 6개와 8개로 구분하여 정리하였다. 즉 사용자가 공사 단계마다 꼭 필요한 사항만 확인할 수 있도록 고려하여 신속성과 신뢰성 있는 체크리스트가 구축되도록 하였다.
Table 2.
Developed checklist in this study
5. AHP 분석
5.1 설문 조사
개발된 체크리스트는 각 항목의 중요도 및 적정성을 확인하기 위하여 소규모 굴착공사에 다수 경험이 있는 각 분야의 전문가 그룹으로 구성하였다. 전문가 그룹은 안전관리자, 시공관리자, 감리자 그리고 현장감독으로 구성되며 총 56명에게 개발된 체크리스트의 작업 전 항목과 작업 중 항목을 쌍대 비교 설문 조사로 시행하였으며, AHP 분석방법으로 항목의 중요도를 분석하였다. CI 값은 비교 행렬 크기의 수인 13과 유사한 값을 보여 전문가 그룹의 설문 응답의 신뢰성이 매우 높게 나타났고 이를 통해 분석한 결과의 정확성도 우수하다고 판단된다.
5.2 AHP 분석결과
전문가 그룹이 부여한 각 항목의 점수를 기반으로 AHP 분석 후 가중치를 계산하였으며, 14개 항목마다 가중치는 Fig. 5에 도시하였다. 작업 전에 해당하는 A 파트에서는 A2의 항목인 “굴착면 붕괴, 낙하위험 구간 간이흙막이 및 방호망 설치 여부”의 가중치가 가장 높은 0.326점으로 나타났으며, 그 다음으로 가중치가 높은 순서의 항목은 A1(0.279점), A3(0.200점), A4(0.090점), A5(0.057점), 그리고 A6(0.048점)으로 나타났다. 전문가 그룹은 작업 전에 굴착공사 주변의 보강 및 방호 시스템이 작업자가 효율적으로 업무를 수행하는 것과 적절하게 연계되는지를 중요하게 판단했으며, 주변 시설물에 대한 예방조치는 상대적으로 낮은 중요도가 부여됐다. B 파트는 작업 중을 의미하며, 전문가 그룹이 가장 중요하게 판단하는 사항은 B1(0.224점)으로 소규모 굴착공사 시 작업지휘자를 지정하고 작업 순서를 철저하게 준수해서 공사를 진행하는 것이 사고 예방을 위해 필요한 것으로 나타났다. B 파트 항목에서 계산된 가중치 값은 항목 순서대로 B1(0.224점) > B2(0.192점) > B3(0.184점) > B4(0.136점) > B5(0.109점) > B6(0.076점) > B7(0.043점) > B8(0.037점)으로 나타났다. 전문가 그룹은 작업 중의 항목에서 건설기계 운전 시 유도자 지시에 따른 작업실시 여부가 상대적으로 제일 낮은 가중치로 선정하였다.

Fig. 5
Distributions of calculated weight in each item. A1 to B8 refer to the 14 individual items that make up the checklist in Table 1
6. 사례 적용 및 검증
새롭게 개발된 체크리스트는 작업 전의 A1~A6과 작업 중의 B1~B8 단계로 구성되며, 이와 같은 내용이 적절히 구성되었는지 확인하기 위하여 체크리스트 개발에 이용하지 않은 새로운 데이터를 구축하였다. 새로운 데이터도 기존 데이터와 동일하게 CSI 정보망에 등록된 자료이나, 체크리스트 개발을 위해 데이터 취합을 수행한 시점(2023년 9월) 이후 새로운 사고가 발생하여 체크리스트 개발에는 미적용된 자료이다. 자료는 총 10건이며 사망사고와 부상 사고가 각각 3건 및 7건으로 구분된다. 주요 사고 내용은 토사 붕괴 4건, 굴착 단부 안전시설 미설치 2건, 건설기계에 의한 충돌 1건, 건설기계에 의한 협착 2건, 건설공사 작업과 관련 없는 미끄러짐 1건으로 나타났다. 이중 사망사고는 토사 붕괴 및 건설기계와의 충돌 분야에서 각각 2건과 1건 발생하였다.
추가된 사고사례 데이터가 개발된 체크리스트에 포함되는지 여부를 살펴보았으며, 10건의 사고사례와 일치하는 체크리스트 항목을 Table 3에 표시하였다. 10건의 사고는 발생 시간을 참고하여 No. 1~10으로 명명하였으며, No. 2, 3, 6 그리고 9의 사고사례는 안전시설물 미설치, 건설기계와 충돌 및 협착의 사고사례로 작업 중인 B 항목과 연계되는 것을 알 수 있다. 사고사례 No. 2는 체크리스트 항목 B5인 “굴착 단부 추락 방지용 안전시설물 설치 상태”와 연계되며, No. 3은 B5 항목 외에도 B1 항목인 “작업지휘자 지정 및 작업 지휘에 따른 작업실시” 내용에 부합하는 것으로 나타났다. 사고사례 No. 6은 B3 및 7 항목인 “건설기계 작업 반경 내 출입금지 조치”와 “건설기계 유도자 배치 여부”의 내용에 포함되는 것으로 나타났으며, No. 9는 B3의 체크리스트 내용과 연관이 있는 것으로 분석되었다. No. 1, 4, 5, 7 그리고 10의 사고는 모두 작업 전과 중인 체크리스트 A와 B 항목에 복합적으로 포함되는 것으로 나타났으며, No. 1, 4 그리고 5는 공통적으로 A1(작업 전 근로자 굴착 면 기울기 기준에 관한 교육), A2(굴착 면 붕괴, 낙하위험 구간 간이흙막이 및 방호망 설치 여부), A3(굴착 면 붕괴, 낙하위험 구간 출입금지 조치) 그리고 B2(굴착 면 기울기 준수 여부) 항목들과 연결되는 것을 알 수 있다. No. 7 사고는 A1, A2, A3, B2 항목에 B1(작업지휘자 지정 및 작업 지휘에 따른 작업실시 여부) 내용이 추가로 관련되며, No. 10 사고는 A5(건설기계 운전원과 유도자 신호방법 교육), B1(작업지휘자 지정 및 작업 지휘에 따른 작업실시 여부), B3(건설기계 작업 반경 내 출입금지 조치) 그리고 B8(건설기계 운전 시 유도자 지시에 따른 작업실시 여부)이 관련 있는 것으로 나타났다. 추가로 분석된 사고사례는 체크리스트의 단일 항목에도 연계가 있지만 주로 2개 이상의 항목에 복합적으로 포함되어 교차 검증이 가능한 체계로 구축되었다고 판단된다. 마지막으로 No. 8 사고사례는 작업자가 바닥에서 미끄러져 발생한 사고로 비록 사고 건수는 추가로 확인되나, 5년간 CSI 통계 자료에 관련 사고가 부재하여 체크리스트 항목과는 연계되는 내용이 없다. 이처럼 발생 빈도가 현저히 작은 사고사례를 체크리스트 항목에 추가하는 것은 체크리스트 활용성이 저하되고 신뢰성도 함께 낮아지는 결과를 초래할 수 있다. 따라서 해당 연구자는 추후 사고사례 통계를 지속해서 검토 및 분석하여 새로운 사고사례가 발생하면 체크리스트 항목을 업데이트해야 할 것으로 판단한다.
Table 3.
Verification of suggested checklist through new accident cases
7. 결 론
해당 연구에서는 소규모 굴착현장의 안전관리에 활용할 수 있는 체크리스트를 개발하였으며, 전문가 그룹의 설문 조사를 통해 체크리스트 각 항목의 중요도를 분석하였다. 또한, 실제 발생한 사고사례를 통해 개발된 체크리스트와 얼마나 연계되는지를 정성적인 방법으로 신뢰성을 검증하였다. 해당 연구의 상세한 결론은 다음과 같다.
(1) 소규모 굴착공사에서 발생한 사고는 CSI 시스템을 통해 확인하였으며, 총 101건의 사고사례를 통해 위험요인을 분석하고 이를 기반으로 체크리스트 항목을 설계하였다. 체크리스트는 작업 전과 중으로 구분되며, 각각 A1~A6과 B1~B8 단계로 총 14개의 항목으로 구성된다.
(2) 소규모 굴착현장의 경험이 풍부한 전문가 그룹이 개발된 체크리스트 항목의 중요도 평가를 수행하였으며, 각 항목의 쌍대 비교를 통해 상대적인 점수를 부여하였다. 각 항목의 점수는 AHP 분석 기법과 연계하여 중요도를 평가하였으며, 작업 전과 중에 가장 중요한 항목은 각각 “굴착면 붕괴, 낙하위험 구간 간이흙막이 및 방호망 설치 여부” 및 “작업 전 근로자 굴착면 기울기 기준에 관한 교육”으로 나타났다.
(3) 추후 새롭게 발생하는 사고사례에 대한 지속적 검토 및 원인분석을 통하여 체크리스트 항목 업데이트에 관한 후속연구가 필요할 것으로 판단된다.
(4) 해당 연구에서 제안한 체크리스트는 전담 안전관리자가 없는 소규모 굴착공사 현장에서 기본적인 안전수칙 준수에 이바지할 것으로 보이며 이를 통해 실질적이고 효과적인 사고 예방이 기대된다.




