1. 서 론
2. 이론적 배경
2.1 침강속도(ws, settling velocity)
2.2 비표면적 기반 유효입경(Deff)
3. 실험 구성
3.1 시료 특성 및 조성
3.2 실험 방법
4. 실험 결과 및 분석
4.1 단일 입자 침강속도
4.2 그룹 침강속도
4.3 입도분포 영향 분석 및 Deff 기반 예측
5. 결 론
1. 서 론
흙의 침강속도는 해양, 수리, 지반공학 등 다양한 분야에서 물리적 거동을 지배하는 핵심 물성이다(Cheng, 2009; Chien, 1994). 특히 지반 공학 영역에서 흙의 침강속도는 슬러리 운송(slurry transport), hydraulic fill을 통한 매립지 조성, 준설토 처리 및 투기장 설계, 그리고 광미 댐(tailings Dam)의 안정성 및 장기 압밀 예측에 결정적인 영향을 미친다(Fourie et al., 2022; Palermo and Hays, 2013; Wu et al., 2025). 이러한 침강속도는 또한 현탁액의 초기 침전속도와 압밀의 시작 시점을 지배하며, 이는 구조물의 장기적인 체적 안정성과 배수 특성을 결정한다(Been and Sills, 1981; Ganesalingam et al., 2013; Zhou et al., 2023). 따라서 흙의 침강 거동을 정밀하게 정량화하는 것은 신뢰성 높은 지반 설계 및 운영을 위한 필수적인 전제 조건이며(Camenen, 2008), 침강속도 예측의 실패는 퇴적물 수송 및 지반 개량 모델링의 불확실성을 크게 증폭시킬 수 있다(Mouris et al., 2023; Soulsby, 1997). 기 수행된 흙의 침강속도(settling velocity, ws)에 대한 대부분의 이론적/실험적 연구는 입자의 침강을 지배하는 기본 메커니즘을 이해하기 위해 단일 입자(single particle)를 대상으로 연구가 진행되어 왔다. 단일 입자의 종말 침강속도(terminal velocity)는 입자에 작용하는 중력(weight), 부력(buoyancy), 그리고 항력(drag force) 간의 평형 상태로 정의된다. 이 항력의 크기는 유동장의 특성을 나타내는 입자 레이놀즈 수(Reynolds number, Re)와 관련된 항력 계수(drag coefficient, CD)에 의해 결정된다(Choo et al., 2020). 이러한 고전적인 접근 방식은 스토크스 법칙(Stokes' Law) 등을 포함하여 가장 단순한 이상적 조건에서의 ws 예측값을 제공할 수 있다(Choo et al., 2018). 하지만 지반 공학적 응용에서 다루는 현탁액은 필연적으로 높은 부유사 농도(suspended sediment concentration, SSC)를 가지며, 이는 기존 단일 입자 이론의 근본적인 한계로 작용할 수 있다. 입자가 밀집하게 분포할 경우, 인접한 입자들이 서로의 침강에 영향을 미치는 유체역학적 간섭이 발생하고, 이로 인해 평균 침강속도가 감소하는 간섭 침강(hindered settling) 현상이 발생하기 때문이다(Guo et al., 2012). 따라서 현탁액의 그룹 또는 벌크 침강 속도를 예측하기 위해서는 Richardson-Zaki 식(Richardson and Zaki, 1954)과 같이 총 체적 농도를 변수로 포함하는 경험적 수정 모델이 필요하다(Kramer et al., 2019).
Richardson and Zaki(1954)가 제안한 식을 포함한 여러 간섭 침강 모델이 SSC의 영향을 성공적으로 보정했음에도 불구하고, 여전히 기존 대부분의 모델은 다양한 입도 분포를 갖는 실제 흙의 복합적인 침강 거동을 반영하지 못한다는 한계점을 가진다(Dorrell et al., 2018). 하천이나 연안 환경의 퇴적물은 단일 크기가 아닌 다양한 입경이 혼재된 혼합물(mixture of varying-sized particles)로 존재하며(Ahammad et al., 2021), 이러한 조건에서는 SSC 외에 입도분포 자체가 퇴적 과정에서 침강속도를 결정하는 중요한 변수로 작용하게 된다(Matoušek et al., 2017; Wilcock and Southard, 1989). 입자의 크기는 수중 무게를 결정하는 직접적인 인자이므로, 흙의 특성을 대표할 수 있는 입경의 선택은 매우 중요하다. 그러나 다양한 입도분포를 가진 흙의 경우, 질량 기준의 평균입경(D50)은 실제 입자 크기의 다양성을 고려하지 못하므로 적절한 대표 입경으로 기능하기 어렵다. 일부 기존 연구에서는 입도분포의 효과를 인지하여 수정된 모델들이 제안되었으나, 대부분은 미세입자의 영향에 대해 정성적으로 기술하거나, 지나치게 복잡한 매개변수를 포함하고 있어 실무적인 적용성이 매우 낮다(Li and Botto, 2024; Toorman, 1996). 특히 입도분포가 넓은 시료에서 미세입자의 거동은 전체 침강 특성을 결정짓는 주요 요소임에도 불구하고, 이에 대한 실험적 연구는 매우 제한적인 실정이다(Berres et al., 2005).
따라서 본 연구에서는 기존의 평균입경만으로는 설명하기 어려운 불균일한(non-uniform) 퇴적물의 침강거동을 분석하고, 다양한 입도 분포를 갖는 시료의 침강속도를 비교적 간단하고 명확한 수식으로 제안하고자 한다. 입도분포와 미세입자가 침강속도에 미치는 영향들을 분석하고자 다양한 입도분포를 가진 시료를 조성하였고, 이를 균등계수(Cu)로 측정하였다. 또한 기존의 평균입경 대신 유효입경 개념을 도입해 미세입자 효과를 정량화하고자 하였으며, 계산 과정이 다소 복잡한 유효입경과 Cu 값과의 상관관계를 개발하여 침강속도 예측에 대한 적용 과정을 단순화하고자 하였다. 최종적으로 본 연구는 입도분포의 효과를 고려한 효율적이며 간단한 예측 방식을 제시함으로써, 비균일 퇴적물을 다루는 지반공학적 설계 및 해석의 정확도를 제고하고자 한다.
2. 이론적 배경
2.1 침강속도(ws, settling velocity)
2.1.1 단일입자의 침강속도(single-particle ws)
정체된 유체 속에서 낙하하는 입자가 최종적인 등속(terminal velocity)에 도달했을 때의 속도를 침강속도(ws, settling velocity)라고 하며, 이 상태에서 입자에 작용하는 유효중력(수중 무게, W')과 유체의 저항력인 항력(drag force, FD)은 힘의 평형을 이루게 된다:
식 (1)은 아래와 같이 표현되며:
여기서, ρs와 ρw는 각각 입자 및 유체의 밀도(kg/m3), g는 중력가속도(9.8 m/s2), CD는 항력계수, V는 입자의 부피(m3), 그리고 AP는 입자의 투영면적(m2)을 의미한다. 식 (2)의 V와 AP는 각각 및 으로 정의되며, 여기서 Dn은 공칭직경(m)을 의미한다. 이 평형 방정식을 재배열하면, 다음 식 (3)과 같이 침강속도(ws)를 예측하기 위한 일반식을 도출할 수 있다:
식 (3)은 흙의 ws가 대표입경의 크기(Dn)와 CD에 의해 결정됨을 나타내며, CD는 입자 주위의 유동장의 특성을 나타내는 레이놀즈 수(Re)의 함수로 정의된다:
여기서, υ는 유체의 동점성계수(m2/s)를 의미한다. Re는 관성력과 점성력의 비로 정의되며, 따라서 침강속도(ws)의 함수이다(식 (4)). 이는 Fig. 1과 같이 CD와 Re 간의 관계를 통해, 주어진 Re에서 CD를 결정하고, 식 (3)을 통해 ws를 계산하기 위해서는 ws에 대한 초기값 가정 후, 반복계산 과정이 필요함을 의미한다. 다시 말하면, 식 (3)의 좌변과 우변은 모두 미지의 변수인 ws의 함수이며, 따라서 실제 ws를 찾기 위해서는 반복계산 과정이 필수이다. 대부분의 초기 이론적/실험적 연구는 ws 계산의 필수인 CD-Re 관계(식 (4))를 규명하고(Fig. 1), 이를 통해 단일 입자의 침강속도 예측 또는 침강 매커니즘을 규명하는데 중점을 두었다.
실제 흙 또는 자연 퇴적물의 입자는 다양한 형태를 가지고 있으며, 입자의 형상은 단일 입자 침강속도에 큰 영향을 미친다(Kramer et al., 2021). 이는 동일한 질량과 부피를 가진 입자여도 구형에서 벗어난 불규칙한 형상을 가질수록 유체의 저항이 증가하여 동일한 Re 조건에서도 구형 입자보다 평균 항력계수 값이 더 크기 때문이다(Bagheri and Bonadonna, 2016). 따라서 자연 퇴적물의 침강 속도를 정확하게 해석하기 위해서는 입자 형상에 대한 고려가 필수적이므로, 이를 정량화하기 위한 방법이 병행되어야 한다. 이를 위해 다양한 형상지표가 개발되어왔으나, 현재까지 Corey et al.(1949)가 제안한 CSF(Corey shape factor)가 침강속도 해석에서 가장 널리 쓰인다(Wu and Wang, 2006). CSF는 입자의 장축(a), 중간축(b), 단축(c)의 기하학적 비율로 다음과 같이 정의된다(Fig. 2):
CSF 값은 0과 1사이의 범위를 가지며, 1에 가까울수록 구형에 가까워짐을 의미하고, 0에 가까울수록 입자는 길쭉하거나 편평한 형태를 나타낸다.
Komar and Reimers(1978)는 다양한 범위의 CSF를 가진 단일 입자의 실험 데이터를 바탕으로 CD-Re 관계를 나타낸 그래프를 제시하였다(Fig. 1). 이는 층류–전이–난류 영역의 넓은 범위를 포괄하며, 입자 형상 효과까지 반영하고 있어 본 연구에서 침강속도 예측식을 검증하는 기준 자료로 활용하였다.
2.1.2 그룹 침강속도(Group ws)
단일 입자의 침강은 입자와 액체 간의 상호 작용에 의해 침강 특성이 결정되지만, 여러 입자들의 동시에 침강하는 경우, 입자-유체 간의 상호 작용 외에, 입자-입자 간의 상호작용 역시 침강 특성을 결정짓게 된다(Li and van Zyl, 2023). 따라서 흙 입자의 체적농도(volumetric concentration)는 침강속도를 결정하는 핵심 인자이며, 체적농도가 증가함에 따라 자유 침강에서 입자 간 상호작용이 지배적인 그룹 침강(group settling) 영역으로 전이된다(Lowe, 1982). 여러 입자들로 이뤄진 그룹의 침강속도(group settling velocity, wh)는 다음과 같은 Richardson and Zaki(1954)의 경험식으로 표현된다:
여기서, ws는 단일 입자 침강속도이며, c = Cm/ρs으로, c는 고체 부피 농도, Cm은 질량 농도(kg/m3), ρs는 입자의 밀도(kg/m3)를 의미한다. n 값은 레이놀즈 수에 따라 변화하며, 구형입자에 대해 2.4에서 4.8사이의 값을 갖는 것으로 보고 되었다(Kramer et al., 2019).
앞서 서술한 바와 같이, 식 (6)은 부유물의 농도의 영향을 성공적으로 보정하지만, 여전히 퇴적물을 균일 입자(mono-sized)로 가정하고 질량 기준 중앙 입경(또는 평균입경, D50)을 전체 현탁액의 대표 입경으로 사용하는 한계가 있다. 실제 현장 퇴적물은 입자 크기의 다양성을 특징으로 하는 비균일 입자(graded)이며, 두 개의 서로 다른 시료가 동일한 D50과 농도를 갖더라도 입도분포 특성(예: 균등계수)에 따라 침강 거동에 뚜렷한 차이를 보인다(Dorrell et al., 2018). 따라서 다양한 사이즈의 입자들로 구성된 흙의 침강 거동을 대표할 수 있는 새로운 대표 입경의 결정은 매우 중요하며, 본 연구는 입도분포의 영향을 제어하고 기존의 간섭 침강모델의 예측 능력을 비균일 퇴적물에 확장하기 위해 유효입경을 새로운 대표입경으로 소개하고자 한다.
2.2 비표면적 기반 유효입경(Deff)
동일한 평균입경을 가진 시료라도 미세입자의 비율이 증가함에 따라, 입자 전체의 평균 비표면적(specific surface area)이 증가하게 되며(Santamarina et al., 2002), 이는 유체와의 마찰 저항을 증가시켜 침강속도를 저하시킨다(Lv et al., 2021). 따라서 비표면적은 항력과 중력 간의 상대적인 크기를 설명하는 핵심 매개변수의 역할을 할 수 있다(Castellanos, 2005). 본 연구는 Trani and Indraratna(2010)의 연구를 참고하여 비표면적을 기준으로 작은 입자의 비율이 더 크게 가중되는 유효입경(Deff)개념을 도입한다. 여기서 새롭게 정의된 유효입경(Deff)은 전통적인 토질역학에서 입도분포곡선의 누적 통과율 10%에 해당하는 입자 직경인 유효입경(D10)과는 구별되는 개념이다. 본 연구에서 Deff는 실제 현탁액이 나타내는 침강속도와 동일한 값을 나타내는 가상의 균일(uniform) 현탁액의 입자 직경을 의미하며, D50 대신 Deff를 사용하여 입도분포의 영향을 정량적으로 제어함으로써, 다양한 입도 특성을 가진 흙에 대해서 일관성 있는 침강 속도 예측 모델 수립이 가능할 것으로 기대된다. Deff는 다음 식 (7)과 (8)을 통해 계산할 수 있으며, 그 계산 과정 예를 Table 1과 같이 첨부하였다.
Table 1.
Example showing calculation of effective particle diameter
여기서, psa,i는 비표면적 기준 입도분포(PSDsa)에서 i번째 구간의 질량 발생 확률, pm,i는 질량 기준 입도분포(PSDm)에서 i번째 구간의 질량 발생 확률, Dave,i는 질량 기준 입도분포에서 인접한 두 직경의 기하평균, D*ave,i는 비표면적 기준 입도분포에서 인접한 두 직경의 기하평균, 그리고 Deff는 비표면적 기준 입도분포에 기반하여 계산된 유효입경이다.
3. 실험 구성
본 연구는 사질토의 입도분포(PSD, particle size distribution)가 침강속도에 미치는 영향을 정량적으로 규명하기 위해 평균입경과 부유사 농도를 통제하는 실험 계획을 수립하였다. 따라서 다양한 PSD를 갖으나 유사한 평균입경을 갖는 시료를 조성하고, 이를 동일한 부유사 농도 조건 하에서 침강실험 하였다.
3.1 시료 특성 및 조성
본 연구에서는 모래 크기 입자의 침강속도를 분석하기 위해 입자 형상이 서로 다른 silica sand와 glass beads 2개의 재료를 사용하였다. 시료의 침강 속도에 영향을 미치는 주요 인자인 형상계수(Corey shape factor, CSF)는 현미경(DMC2900, Leica, Germany) 사진과 Image J 프로그램을 이용하여 측정하였다(Fig. 2). 각 시료별 210개 이상의 입자에 대한 분석을 바탕으로 CSF를 산정하였으며, 그 결과 silica sand = 0.67과 glass beads = 1.00으로 산정되었다. 모든 시료는 실험 전 침강속도에 영향을 줄 수 있는 입자 표면에 붙어있는 세립토를 제거하기 위해 #200번째 체를 이용하여 반복 세척 후 건조하였다. 평균입경 변화에 따른 침강속도 변화 효과를 제어하고 입도 분포에 따른 침강 거동을 분석하기 위해, #20번째 체와 #30번째 체 사이 잔류분을 기준으로 평균입경(D50) 약 0.7 mm 비교적 균일한 시료를 조성하였다. 이 평균입경을 기반으로 입도분포 효과를 보기 위해 균등계수(Cu) 값이 1.19에서 4.35까지 다양한 혼합토를 조성하였다(Fig. 3). 흙 입자의 체적농도가 침강속도에 영향을 미치므로, 단위 부피 당 5 kg의 농도로 고정하여 침강 실험을 수행하였다.
3.2 실험 방법
본 연구에서는 침강 속도 측정을 위해 지름 14 cm, 높이 50 cm의 아크릴 침강 수조(settling column)를 제작하였으며, 유효 침강 높이는 42 cm로 설정하였다. 본 연구는 입자의 농도 조건에 따라 두가지 측정 방식을 사용하였다. 먼저, 농도가 낮은 조건에서는 카메라를 사용해 비디오를 촬영한 후, Image J를 통해 개별 입자의 침강 궤적을 직접 추적하여 침강 속도를 측정하였다. 하지만 입자 농도가 증가함에 따라 입자 간 중첩 및 현탁액의 탁도가 증가하여, 카메라 기반 영상 분석을 통해 개별 입자의 침강 궤도를 추적하는 데 한계가 발생한다(Himpel et al., 2012). 따라서 입자 농도가 높은 조건 하에서는 누적 질량을 측정하여 침강속도를 산정하고자 하였다. 로드셀을 수조 상단에 설치하고, 수조 내부 하단에 와이어로 연결된 철망 판으로 시료를 수집하여 무게 변화를 시간에 따라 측정하는 간접적인 방식을 적용하였다(Fig. 4). 로드셀에 파워 서플라이을 통해 5V의 전압을 인가하고, 데이터 로거와 컴퓨터를 연결하여 0.036초 간격으로 데이터를 수집하였다. 최종적으로 측정된 데이터를 활용하여 진행 시간-누적 질량 그래프로 나타내었고, 시작점(누적질량=1%)과 종료점(누적질량=99%)을 기준으로 하여 침강 완료 시간을 산정하고 침강속도를 계산하였다(Fig. 4 참조).
4. 실험 결과 및 분석
4.1 단일 입자 침강속도
식 (6)과 같이 그룹 침강속도는 단일입자(single particle) 침강속도의 함수이며, 또한 Fig. 1은 단일 입자에 대한 실험을 바탕으로 제시된 관계이므로, 본 연구에서 제시된 실험 장비 및 측정 방식의 신뢰성을 검증하기 위해 단일입자의 침강 속도를 우선 측정하였다. 단일입자는 질량이 매우 작아 질량 기반 측정이 어렵기 때문에, 비디오 분석(optical tracking)을 사용하여 각 입자의 낙하 궤적을 추적하고 이를 기반으로 침강속도를 산정하였다. 실험은 다양한 입경(3.300–0.212 mm)을 갖는 silica sand와 glass beads을 대상으로 수행되었다.
Fig. 5는 입자 크기에 따른 단일 입자의 침강속도 변화를 나타내며, 입자 크기가 증가함에 따라 침강속도가 상승하는 경향이 명확하게 관찰되었다. 이는 식 (3)과 같이 단일 입자의 침강속도가 입자 크기에 절대적으로 영향을 받음을 의미한다. 또한 Fig. 5는 동일한 입자 크기에 대해서도 입자 형상에 따라 침강속도에 차이가 발생함을 나타낸다. CSF = 0.67인 silica sand는 CSF = 1.00인 glass beads 보다 동일 입경 기준, 더 작은 침강속도를 나타냈으며, 이는 silica sand가 더 큰 항력계수를 갖음을 의미한다(식 (3)).
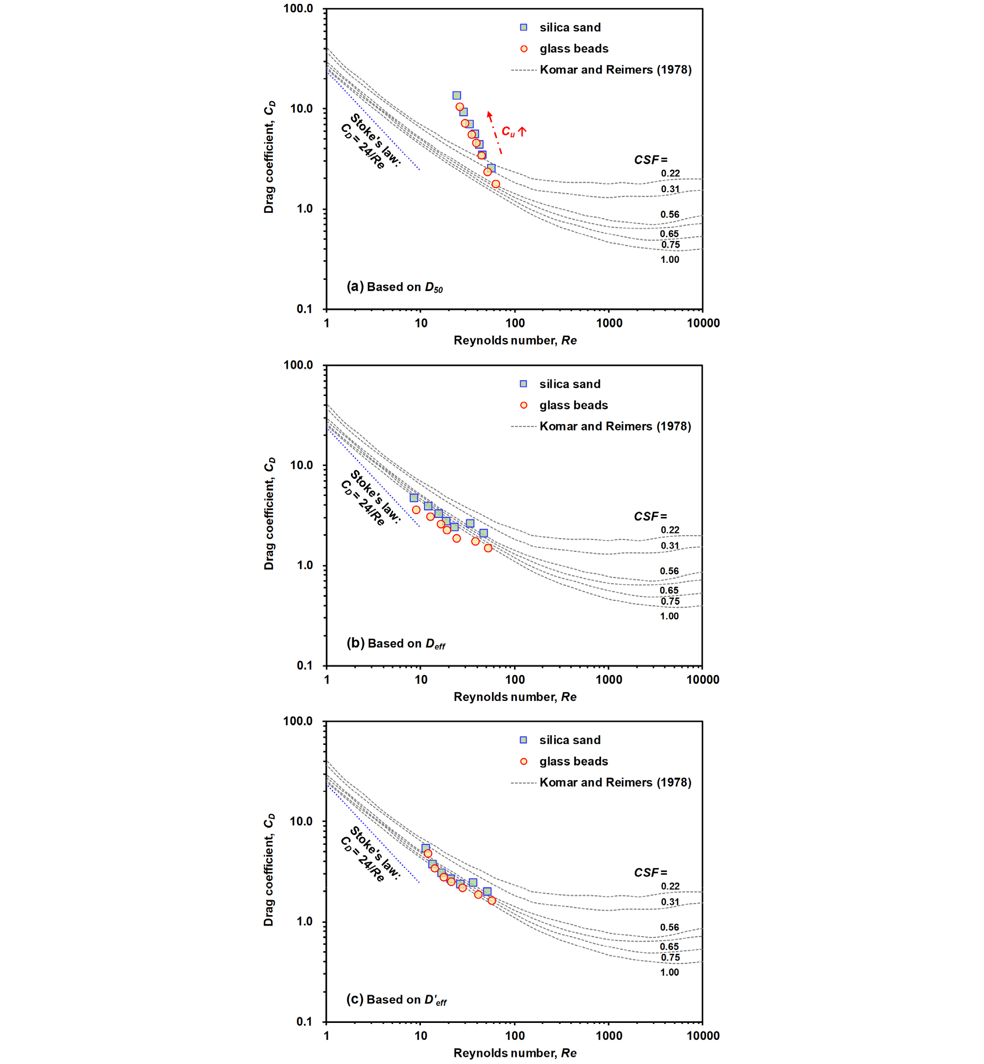
Fig. 5에 도시된 각 단일 입자의 침강속도와 입경을 이용하여, 레이놀즈 수(Re)와 항력 계수(CD)를 계산하고(식 (3)과 식 (4)), 이를 Fig. 1에 도시하였다. 본 연구 결과를 기존의 CD와 Re 간의 관계 가이드라인(Komar and Reimers, 1978)과 함께 비교한 결과, Fig. 1에서 확인되듯이 두 시료 모두 가이드라인과 매우 높은 일치도를 보였다. 따라서 Komar and Reimers(1978)가 제안한 CD-Re 관계 가이드라인은 본 연구에서도 유효한 것으로 판단되며, 또한 본 연구에 적용된 침강속도 예측방법과 측정된 데이터가 신뢰할 수 있음을 확인하였다. 또한, Fig. 1은 CSF가 작은 silica sand가 동일 Re 기준 CSF가 큰 glass beads에 비해 CD값이 크게 나타남을 보여주며, 이는 자연 입자가 갖는 불규칙한 형상으로 인해 항력이 증가한다는 기존 연구와 부합한다(Daghooghi and Borazjani, 2018).
4.2 그룹 침강속도
단일 입자 침강 실험을 기반으로, 입도분포를 다양하게 조성하여 침강속도를 측정한 결과를 Fig. 6에 나타내었다. 앞서 서술한 바와 같이, Fig. 6은 흙 입자의 체적농도가 5 kg/m3 기준의 침강속도를 나타낸다. 실험 결과, 동일한 평균입경(D50 ~ 0.7 mm)을 유지한 조건에서 균등계수(Cu)가 증가할수록 침강속도가 감소하는 경향이 뚜렷하게 관찰되었다. 이는 침강 속도가 단순한 평균입경에 의해서만 결정되는 것이 아니라, 입도분포 특성에 크게 영향을 받음을 의미한다. 단일 입자 실험 결과와 마찬가지로, 불규칙한 형상을 가진 silica sand는 전반적으로 구형에 가까운 glass beads보다 느린 침강속도로 측정되었으며, Cu가 작아질수록 두 시료 간의 속도 차이가 명확하다.
Fig. 6의 결과를 바탕으로 CD와 Re 값을 계산하고, 이들의 관계를 Fig. 7(a)에 도시하였다. 동일한 평균입경(D50)을 갖는 시료임에도 불구하고, 입도 분포에 따라 명확한 CD–Re 값의 차이를 보이며, 특히 Cu가 증가함에 따라 기존 CD–Re 관계 가이드라인(Komar and Reimers, 1978)에서 본 연구 결과가 크게 벗어남을 확인할 수 있다. 이런 결과의 원인을 파악하기 위해, 균등계수가 1.19와 4.35인 silica sand에 대한 시간에 따른 누적 질량 변화를 Fig. 8에 나타내었다. 입도 분포가 매우 균일한 시료(Cu = 1.19)의 경우, 침강이 진행되는 동안 누적 질량 그래프의 기울기가 비교적 일정하게 유지되는 선형적인 경향을 나타냈으며, 따라서 침강도 비교적 단시간 내에 완료되었다. 반면 입도분포가 넓은 시료(Cu = 4.35)는 균일한 시료와 비교해 보았을 때, 뚜렷한 비선형적 거동을 보인다. 이는 초기에는 입경이 크고 무거운 조립 입자가 빠르게 침강하므로 로드셀에 비교적 짧은 시간 동안 많은 질량이 누적되어 그래프의 기울기가 급한 반면, 후반으로 갈수록 입경이 작은 입자가 상대적으로 느린 속도로 천천히 침강하므로 기울기가 완만해지는 경향을 보이기 때문이다. 이러한 결과는 넓은 입도분포를 갖는 흙의 침강 거동이 단일 입자의 침강 특성과는 구별되는 집단적 상호작용의 영향을 받음을 나타낸다. 침강속도를 이용한 대표적인 기존 시험방법으로는 비중계(hydrometer) 시험이 있으며, 이는 스토크스 법칙(Stokes’ law)에 근거하여 단일 구형입자를 전제로 입도 분포를 해석한다. 하지만 비중계 시험은 주로 세립토를 대상으로 하며, 입도 분포가 넓은 조립 입자 시료에서 발생하는 입자 간 상호작용은 충분히 반영되기 어렵다. 본 연구에서는 조립 입자를 대상으로 침강 과정에서의 누적 질량 변화를 직접 계측함으로서, 조립 입자간의 상호작용을 반영하여 침강속도를 측정하였다. 결과적으로, 이러한 차이는 동일한 평균입경(D50)을 유지한 상태에서 입도분포가 넓어질수록(또는 미립자가 많아질수록), 측정 데이터가 기존 가이드라인에서 벗어나 좌상향하는 경향으로 나타난다. 이는 기존 해석에 사용되던 D50으로는 넓은 입도분포를 갖는 비균일 시료를 설명할 수 없으며, 넓은 입도분포를 갖는 시료를 대표할 수 있는 새로운 입경이 필요함을 의미한다.
Fig. 6의 Cu가 가장 작은 비교적 균일한 입경을 갖는 시료에서 측정된 silica sand와 glass beads의 침강속도는 각각 질량 농도(Cm)가 5 kg/m3 일 때, wh = 7.85 cm/s 및 wh = 8.72 cm/s로 나타났으며, 이는 동일한 입자 크기의 단일 입자 침강속도(ws = 9.52 cm/s 및 11.04 cm/s)에 비해 작은 값이다. 이러한 침강속도의 감소는 입자 간 상호작용으로 인해 발생하는 방해 침강(hindered settling)에 의한 것으로 판단되며, 이로 인해 Fig. 7(a)의 Cu가 가장 작은 시료의 CD–Re 관계가 주어진 CSF 기준 Komar and Reimers(1978)의 가이드라인에서 다소 벗어남을 확인할 수 있다. 따라서 이는 농도 효과에 대한 보정이 필요함을 의미한다.
다양한 고체 부피 농도(c = Cm/ρs, 여기서 Cm은 질량농도(kg/m3), ρs는 입자의 밀도(kg/m3)) 조건 하에서 측정된 그룹 침강속도(wh)를 단일 입자 침강속도로 정규화한 후, c에 따라 Fig. 9에 나타내었다. 농도가 높아짐에 따라 침강속도는 감소하며, 감소 폭이 점차 수렴하는 경향을 보였다. 따라서 Fig. 9에 나타난 결과를 통해 농도 효과를 정량적으로 반영할 수 있으며, 다시 말하면 본 연구에서 선택된 질량 농도(Cm = 5 kg/m3) 기준 침강속도(wh)를 단일 입자 기준 침강속도(ws) 또는 다른 다양한 농도 하의 침강속도로 환산이 가능하다. 또한 이러한 환산 과정을 통해 단일 입자 조건에서 침강속도를 제시한 Komar and Reimers(1978)의 결과와 직접적인 비교가 가능하다.
4.3 입도분포 영향 분석 및 Deff 기반 예측
앞서 4.2절에서 관찰된 바와 같이, 입도 분포가 넓은 시료일수록 전체적인 침강속도가 지연되고 침강 완료(t99 in Fig. 8)에 도달하는 시간이 현저하게 길어지는 현상이 나타났다. 이는 입도 분포가 넓은 시료의 경우, 비슷한 입경의 입자들로 구성된 균일한 시료의 침강 거동과는 다르게 복합적인 입자 및 유체 또는 입자들 간의 상호작용이 침강 거동에 영향을 미치기 때문이다. 이러한 침강 지연 메커니즘은 크게 두 가지로 설명 가능하다. 1) Kaitna et al.(2016)에 따르면, 넓은 입도분포와 높은 미세 입자 함량은 흙 입자 침강 시 더 큰 과잉 간극수압을 발생시키고, 또한 발생된 과잉 간극수압을 장기간 유지하는 역할을 한다. 증가된 과잉 간극수압은 유효 응력을 감소시키며, 입자 무게의 상당 부분이 유체로 전달되도록 한다. 즉, 입자가 바닥으로 가라앉으려는 힘이 상쇄되어 침강 방해(hindered settling) 현상이 심화된다. 2) Li and Botto(2024)에 따르면, 다분산 현탁액에서 상대적으로 큰 입자들이 침강하며 주변 유체를 아래로 끌어내릴 때, 국부적인 상승류(upward flow)가 발생하여 작은 입자들의 하강을 방해한다. 이로 인해 미세 입자의 침강 속도는 중력 방향과 반대되는 힘의 영향을 받아 현저히 늦어지거나 정체된다.
이처럼 미세입자가 포함된 넓은 입도분포 시료에서는 입자와 입자, 입자와 유체 간의상호 작용에 의한 복합적인 요인이 침강속도에 큰 영향을 미치지만, 기존의 D50은 미세 입자의 높은 비표면적과 그에 따른 수리학적 영향을 충분히 반영하지 못하는 한계가 있다. 이러한 한계를 극복하고자 본 연구에서는 비표면적을 기준으로 미세 입자의 가중치를 높인 유효입경(Deff, 식 (7)) 개념을 도입하였으며, 이를 적용한 결과를 Fig. 7(b)에 나타내었다. 그 결과, 기존 D50 기반으로 산정한 침강속도의 경우, 기존 경험적 가이드라인과 비교하여 측정한 평균 절대 백분율 오차(mean absolute percentage error, MAPE)는 silica sand와 glass beads 각각 150.26%와 131.36%으로 매우 높은 오차율을 보였다. 하지만 Deff 기반으로 산정한 MAPE는 각각 22.75%와 21.76%로 오차가 현저히 감소하였다. 이는 새롭게 도입한 유효입경이 입도분포의 폭과 미세 입자의 수리학적 효과를 정량적으로 적절히 통합하고 있음을 의미하며, 또는 기존의 D50 대신 Deff가 평균입경이 넓은 시료의 침강거동을 대변할 수 있는 대표 입경으로 활용이 가능함을 의미한다.
본 연구에서 새로 도입한 유효입경은 유효성이 높음에도 불구하고, 이를 계산하는 과정은 입도 분포 데이터에 대한 복잡한 연산 과정이 요구된다(Table 1 참조). 따라서 본 연구에서는 마지막으로 이러한 계산 과정을 단순화하고 실무적 편의성을 높이기 위해, Deff과 Cu 간의 상관관계를 다음과 같이 도출하였다(Fig. 10).
위 관계식은 다양한 Cu를 가진 입도 분포 데이터를 무작위로 생성한 후 각 Deff 값을 계산하여 산정한 경험식이다. 식 (9)를 사용하면 복잡한 입도분포 분석 없이도 기초적인 지반 물성치인 Cu와 D50만으로도 Deff을 손쉽게 추정할 수 있다. 식 (9)를 적용하여 새로 계산한 유효입경을 통한 침강속도 예측 결과는 Fig. 7(c)에서 확인할 수 있다. MAPE를 통해 그 적합도를 살펴보았을 때, 각각 19.59%, 15.71%로 높은 예측 정확도를 보였다. 이는 식 (9)가 복잡한 Deff 계산을 간소화하면서도 충분한 정확성을 확보함을 의미한다.
5. 결 론
본 연구는 입도분포가 넓은 비균일 사질토의 복합적인 침강 거동을 규명하고, 기존의 질량 기준 평균입경(D50) 기반 해석 모델이 갖는 한계를 극복하기 위해 유효 입경(Deff) 개념을 도입한 새로운 침강 속도 예측 체계를 제안하였다. 실험을 통해 동일한 D50을 가진 시료라 할지라도 균등계수(Cu)가 증가함에 따라 침강속도가 현저히 지연되는 현상을 확인하였으며, 이는 미세 입자의 존재로 인한 과잉 간극수압의 증가와 조립 입자의 침강에 의해 유발되는 국부적인 상승류가 미세 입자의 하강을 저해하기 때문인 것으로 분석되었습니다. 정량적 분석 결과, 기존의 D50을 대표 입경으로 사용한 예측 방식은 비균일 시료에서 130% 이상의 높은 평균 절대 백분율 오차(MAPE)를 보였으나, 비표면적 가중치를 반영한 유효 입경(Deff)을 적용할 경우 오차율이 약 22% 수준으로 급격히 감소하여 예측의 신뢰성이 획기적으로 향상됨을 확인하였다. 또한 실무적 활용성을 높이기 위해 복잡한 입도 분석 과정 없이 기초 물성치인 Cu와 D50만으로 Deff를 직접 산정할 수 있는 경험적 상관관계를 도출하였으며, 이를 통해 비균일 퇴적물의 침강 속도를 반복 계산 없이도 정확하게 예측할 수 있는 방법을 제안하였다.












