1. 서 론
2. 이론적 배경
2.1 누설 탄성 표면파
2.2 콘덴서 마이크로폰
2.3 유연성
3. 실험 구성
3.1 모형 공동 조성
3.2 음파 측정 체계
3.3 타격 시스템의 설정
4. 실험 결과 및 분석
4.1 공동 중심과 타격 지점 간의 거리에 따른 신호 변화
4.2 상부 판의 두께 및 해머 팁 재질에 따른 신호 변화
5. 요약 및 결론
1. 서 론
최근 들어 도심 지역의 인구 집중과 지상 교통망의 포화로 인해 지하 공간의 개발이 활발히 이루어지고 있으며, 이에 따라 다양한 형태의 지하구조물 건설이 증가하고 있다(Kim, 2019). 이러한 지하공간 개발 과정에서는 공사 중 흙의 유실이 발생할 수 있으며, 이로 인해 인근 기존 구조물 주변의 지반이 느슨해지고 상대밀도가 감소할 가능성이 있다. 또한 지하 터널 시공 중 막장 인근에서 국부적인 붕괴가 발생할 경우에도 주변 지반의 밀도가 저하되어 인근 구조물의 안정성에 영향을 미칠 수 있다. 더불어, 도심지 지하에 매설된 상·하수도관이 노후화로 인해 파손되면 관 내부로 주변 토사가 유입되거나, 관에서 누출된 물이 흙을 세굴시켜 공동(cavity)이 형성될 수 있다(Jaganathan et al., 2010). 구조물 배면에 발생한 공동은 구조물의 건전도를 지속적으로 저하시키는 요인으로 작용하며, 장기간 방치될 경우 벽체의 균열 및 붕괴로 이어져 심각한 피해를 초래할 수 있다(Hong et al., 2015; Fernandes and Pais, 2017).
구조물 배면에 형성된 공동은 외부에서 직접 확인하기 어렵기 때문에, 구조물에 손상을 주지 않으면서 넓은 범위를 신속하게 조사할 수 있는 비파괴 탐사기법의 활용이 유리할 수 있다. 최근에는 공동 탐지를 위해 적외선 열화상(infrared thermography, IRT)과 지하투과레이더(ground penetrating radar, GPR)와 같은 비파괴 탐사기법이 주로 활용되고 있다(Hong and Lee, 2018; Kang et al., 2023; Kang et al., 2025a; Kang et al., 2025b). IRT 탐사법은 공기층과 토층 간 비열 차이로 인해 공동이 존재하는 구역에서 정상 구역에 비해 온도 변화가 급격하게 나타나는 특성을 이용하여 공동을 검측할 수 있다(Cho et al., 2016). 그러나 IRT 탐사법은 외기 온도, 일사 조건, 표면 상태 등 외부 환경 요인에 민감하게 반응하므로, 측정 결과의 일관성과 신뢰성을 확보하는 데 한계가 있다(Büyüköztürk, 1998). 한편, GPR 탐사법은 조밀한 상부토와 느슨한 하부토의 경계에서 반사되는 신호 위상을 기반으로 상대밀도 저하 영역을 판별할 수 있는 기법이다(Kang et al., 2022a). 그러나 구조물 배면부에 공동 검측을 위한 GPR 탐사를 적용할 경우, 구조물 내부 철근으로부터 발생하는 강한 반사파로 인해 지반 또는 공동으로부터의 주요 신호가 왜곡되거나 차폐될 우려가 있다(Yang et al., 2020).
구조물 배면 공동 검측에 활용될 수 있는 또 다른 비파괴 탐사 기법으로는 표면파 탐사법이 있다(Song et al., 2016). Al Wardany et al.(2007)은 지반 접촉식 수신기를 이용한 표면파 분석을 통해 콘크리트 슬래브의 건전도 및 다층 구조를 평가하였으며, 그 결과 철근의 규격 및 간격이 표면파 탐사 결과에 미치는 영향은 제한적이라고 보고하였다. 그러나 지반 접촉식 수신기를 사용할 경우 대상 지반과의 접촉 품질에 따라 측정 신호가 변동될 수 있어, 정확도 저하의 가능성이 존재한다(Hu et al., 2018). 이러한 한계를 보완하기 위해 비접촉식 수신기인 마이크로폰을 활용한 공동 검측 기법이 제안되었다(Kang et al., 2021; Kang et al., 2022b). 특히 Kang et al.(2024)은 배면 지반이 건조하거나 포화된 상태 모두에서 마이크로폰 기반 탐사가 유효함을 확인하였으며, 그러나 기존의 마이크로폰 기반 탐사 연구들은 주로 구조물 직하부에 밀착된 공동을 대상으로 수행되어, 구조물과 일정한 이격 거리를 두고 형성된 공동, 즉 상대적으로 깊은 공동에 대한 음파 기반 탐사의 검측 가능성은 충분히 검토되지 않았다. 특히 공동의 깊이는 공동의 위험도와 직결되므로 공동 깊이에 따른 연구가 필수적이다.
본 연구에서는 판 구조물과 모형 공동을 이용하여 벽체 배면에 형성된 공동을 모사하고, 공동 중심–타격 지점간의 거리과 해머 팁 재질, 판의 두께를 조절한 다양한 타격 시스템에서 음파 측정을 통한 깊은 공동의 검측 가능성을 조사하였다. 또한 타격 시스템의 각 인자들이 공동 깊이에 따른 공동 검측 가능성에 미치는 영향을 평가하였다. 본 논문은 마이크로폰 기반 공동 검측 기법의 이론적 배경을 제시한 후, 측정체계, 실험 구성, 실험 결과 및 분석, 그리고 결론의 순으로 구성된다.
2. 이론적 배경
2.1 누설 탄성 표면파
해머로 구조물을 타격하면, 구조물 표면을 따라 탄성파가 전파된다. 이때 탄성파에 의해 발생한 구조물 표면 입자의 진동은 Fig. 1과 같이 인접한 공기 입자로 전달되어 음파를 발생시킨다. 이러한 방식으로 구조물의 진동이 주변 공기 입자에 전달되어 생성되는 음파를 누설 탄성 표면파(leaky surface acoustic wave)라 한다(Zhu and Popovics, 2005; Ryden et al., 2006). 누설 탄성 표면파의 공기 입자 속도는 구조물 표면의 입자속도와 비례하는 것으로 알려져 있다(Zhu, 2008). Kang et al.(2021)과 Kang et al.(2025c)는 마이크로폰을 구조물 표면에 충분히 가깝게 설치하여 누설 탄성 표면파를 측정하였으며, 동일한 충격 조건에서 관찰된 음파 신호 변화를 분석하여 포장층 및 록볼트 등 구조물 주변의 건전도 저하 구간을 검측하였다.
해머 타격시 구조물 표면에서의 탄성파 이외에도, 구조물을 거치지 않고 공기를 거쳐 충격 지점으로부터 마이크로폰으로 곧파로 전파되는 직접파(direct acoustic wave) 또한 발생한다. 이 음파는 구조물에 대한 정보를 포함하지 않으므로, 집음기를 활용하여 직접 전달파의 전파를 최소화하여 구조물 건전도 평가의 정확도를 향상시킬 수 있다(Larson et al., 2007).
2.2 콘덴서 마이크로폰
마이크로폰은 다이나믹 마이크로폰(Dynamic microphone), 리본 마이크로폰(Ribbon microphone), 콘덴서 마이크로폰(Condenser microphone)등과 같은 다양한 종류가 존재한다(King, 2016). 다이나믹 마이크로폰과 리본 마이크로폰의 경우, 상대적으로 감도가 낮고 주파수에 따른 응답 특성이 균일하지 않아 정밀한 음향 계측에는 적합하지 않을 수 있다. 반면, 콘덴서 마이크로폰은 Table 1과 같이 상대적으로 넓은 주파수 범위 (최대 약 25 kHz) 까지 균일한 주파수 응답 특성을 보이며, 외부 전자기파로 인한 잡음이 적고 출력 신호의 정확도가 높다는 장점이 있다(Ballou, 2013; Bies et al., 2017; Zhu, 2008). 이러한 특성으로 인해 누설 탄성 표면파 측정에 적합하다고 판단되어 본 연구에 적용하였다.
Table 1.
Comparison of microphone types
콘덴서 마이크로폰의 측정부(electret condenser)는 Fig. 2와 같이 고정된 백 플레이트(back plate)와 얇은 막 형태의 진동판(electret diaphragm)으로 구성되어 있다. 음파의 음압에 의해 진동판이 진동하면, 백 플레이트와의 간격이 변하고 이로 인해 측정부의 정전용량(capacitance)이 변화한다. 이러한 정전용량의 변화는 마이크 내부 회로(microphone circuit)를 통해 전기적 신호로 변환된다(Zhu and Popovics, 2005; Ryden et al., 2006). 마이크로폰의 출력 값은 일반적으로 전압[V] 단위로 표시되며, 마이크로폰 감도 S를 이용하여 식 (1)과 같이 마이크로폰 출력 값 M(t) 으로부터 음압 p(t) [Pa]로 변환할 수 있다:
마이크로폰의 감도는 기기의 고유한 값이며, 표준 음파의 입력에 대응하는 마이크로폰 신호의 출력 값이다. 여기서, 표준 음파란 1kHz의 주파수와 1Pa의 압력을 가진 음파를 의미한다(Ballou, 2013). 식 (1)로부터 계산된 음압을 이용하여, 식 (2)와 같이 공기의 입자속도(u(t))를 계산할 수 있다:
여기서, Z0는 공기의 음향 임피던스를 의미한다(Z0 = 400 N×s/m3).
2.3 유연성
벽체 구조물은 단자유도계(single degree of freedom system)로 표현될 수 있다(Davis et al., 1974; Nazarian and Reddy, 1996). 단자 유도계의 거동은 운동성이라는 주파수 응답 곡선을 활용하여 분석할 수 있다. 운동성은 주파수 영역에 대하여 구조물에 가해진 하중에 대한 구조물 입자속도로 정의된다(Ottosen et al., 2004). 운동성 스펙트럼을 산정하기 위해서는 먼저 시간 영역에서의 구조물 입자속도(u(t); Fig. 3(a)), 하중(f(t); Fig. 3(b)) 신호를 고속 푸리에 변환(FFT)을 통해 주파수 영역에서의 신호(U(f), F(f))들로 변환하여야 한다(Fig. 3(c) 및 Fig. 3(d)). 이후, U(f), F(f)간의 비율을 주파수에 따라 나타낸 곡선을 운동성 스펙트럼이라고 하며, 다음 식 (3)과 같이 정의된다.
모빌리티 스펙트럼의 산정 과정은 Fig. 3에 나타내었다.
산정된 운동성 스펙트럼의 낮은 주파수 대역에 해당하는 초기 기울기(Fig. 3(e))는 유연성(flexibility)으로 정의되며, 이는 구조물의 동적 강성(dynamic stiffness)의 역수에 해당한다. 유연성은 구조물에 가해진 단위 하중이 가해졌을 때의 처짐(displacement)과 같다고 알려져 있다(ASTM C1740, 2016).
3. 실험 구성
3.1 모형 공동 조성
본 연구에서는 다양한 깊이의 벽체 배면 공동을 모사하고, 타격 시스템에 따른 신호 변화를 분석하기 위해 실내 모형실험을 수행하였다. 이를 위해 Fig. 4와 같이 모형 공동과 벽체를 포함한 토조를 조성하였다. 토조는 Fig. 4(a)와 같이 두께 1cm의 투명 아크릴판으로 제작하였으며, 외형 크기는 가로 50cm, 세로 50cm, 높이 30cm이다. 모형 공동은 흙에 비해 상대적으로 강도가 낮으면서도 실험 중 규격을 유지할 수 있도록, 두께 0.5cm의 스티로폼을 사용하여 속이 빈 박스 형태로 제작하였다. 모형 공동의 크기는 Fig. 4(b) 및 4(c)에 나타낸 바와 같이 가로 20cm, 세로 20cm, 높이 15cm이며, 설정된 조건에 따라 다양한 깊이에 배치하였다.
토조 내부에서 모형 공동을 제외한 공간은 비중 2.65, 내부마찰각 36°의 건조 모래로 채워 지반을 모사하였다. 다짐은 전체 28cm 두께의 모래층을 4cm씩 구분하여 수행하였으며, 각 층마다 무게 24.5N, 직경 50mm의 해머를 50cm 높이에서 50회 낙하시켜 다짐을 실시하였다. 한편 공동이 포함된 층에서는 모형 공동의 변형을 방지하기 위해 공동이 위치한 단면을 제외한 주변 지반만을 다졌으며, 이 경우 해머를 25cm 높이에서 100회 낙하시켜 다짐하였다.
흙 표면를 평탄화시킨 이후, 흙의 상부에는 아크릴 판으로 덮어 벽체 구조물을 모사하였다. 상부 아크릴 판의 경우 해머 충격이 토조 외곽에서 반사되어 되돌아오는 경계효과를 최소화하기 위하여 Fig. 4(a) 및 4(c)와 같이 네 방향 모두 4cm의 간격을 두어, 최종 크기를 가로 45cm, 세로 45cm로 제작하였다. 상부 판은 두께 0.5cm, 1cm, 2cm의 세 종류로 제작하여, 벽체 두께를 조절해가며 신호 변화 양상을 비교하고자 하였다. 모형 공동의 중심은 상부 판의 중심과 일치하도록 배치하였다. Fig. 4(b)에 나타낸 바와 같이, 공동 깊이(cavity depth, z), 즉 상부 판으로부터 모형 공동까지의 거리는 z = 0cm, 2.5cm, 5cm, 7.5cm, 10cm, 12.5cm의 여섯 가지 조건으로 설정하였다. 각 깊이 조건에 대하여 서로 다른 해머 타격 시스템을 적용하여 음향 측정 실험을 수행하였다.
3.2 음파 측정 체계
조성된 토조에 대하여 Fig. 5와 같이 임팩트 해머(PCB Piezotronics, 086D05)를 이용하여 상부 판 표면을 타격함으로써 음파를 발생시켰다. 해머는 내부에 로드 셀(load cell)이 내장되어 있어 타격 시 판에 가해지는 하중 신호를 측정할 수 있다. 해머의 헤드 직경은 2.5cm, 전체 길이는 11cm, 무게는 1.1kg이다. 타격 에너지의 편차를 최소화하기 위하여, 해머 손잡이의 중앙부를 회전축으로 설정하고 약 45° 각도에서 자유 낙하시키는 방식으로 타격을 수행하였다.
타격에 의해 발생한 음파 신호는 콘덴서 마이크로폰(PCB Piezotronics, 378B02)을 이용하여 측정하였다. 직접파(direct wave)의 영향을 줄이기 위하여 마이크로폰 하단에는 두께 10mm, 외경 4.5cm의 고무 재질 집음기 (waveguide)를 부착하였다(Larson et al., 2007). 마이크로폰과 상부 판 사이의 거리는 2cm로 유지하였다. 해머와 마이크로폰에서 계측된 신호는 필터(Krohn-Hite, 3944)를 통과시켜 5kHz 이상의 고주파 성분을 제거한 후, 오실로스코프(Keysight, DOSX-3014A)를 통해 수신된 신호를 표시하였다. 이후 아날로그 신호를 디지털 신호로 변환하여 컴퓨터에 저장하였다.
3.3 타격 시스템의 설정
3.3.1 공동 중심과 타격 지점 간의 거리
본 연구에서는 음파 신호 측정에 영향을 미칠 수 있는 주요 인자로 공동 중심과 타격 지점 간의 거리 및 해머 팁의 재질을 선정하였으며, 이 두 요소를 변화시킨 다양한 실험 조건에서의 측정 신호 변화를 비교하였다. 먼저, 공동 중심과 타격 지점 간의 거리 조절에 따른 변화 양상이 뚜렷하게 나타나도록, 가장 얇은 두께인 0.5cm 아크릴 판을 상부 판으로 적용하였으며, 해머 팁은 고무 재질을 사용하였다(ASTM C1740, 2016). 마이크로폰의 측정 지점은 Fig. 6에 나타낸 바와 같이 상부 판의 중심부에 고정하였다. 첫 번째 해머 타격 지점은 마이크로폰과 집음기의 직경을 고려하여, 측정 지점으로부터 5cm 떨어진 위치(L = 5cm)에 설정하였으며, 이후 2cm 간격으로 다섯 개의 추가 지점을 설정하여 총 여섯 개 위치를 타격하였다. 따라서 상부 판의 중심부(측정 지점)로부터 5cm, 7cm, 9cm, 11cm, 13cm, 15cm 떨어진 위치를 타격 지점으로 설정하였다. 즉, 공동 구역 내부의 타격 지점은 L = 5, 7, 9cm이며, 정상 구역에 포함된 타격 지점은 L = 11, 13, 15cm이다. 또한, 공동 깊이 z = 0cm, 2.5cm, 5cm, 7.5cm, 10cm, 12.5cm의 여섯 가지 조건에 대해, 각 깊이별 여섯 개 타격 지점에서 음파 신호를 측정하였다. 이를 통해 타격 지점과 공동 중심 간 거리(L = 5–15cm; 6 가지) 및 공동 깊이(z = 0–12.5cm; 6 가지) 조합에 따른 총 36개(6 × 6)의 타격 시스템별 음파 신호를 확보하였다.
3.3.2 상부 판의 두께 및 해머 팁의 재질
해머 타격으로 발생하는 주파수 스펙트럼은 접촉하는 두 물체, 즉 벽체와 해머 팁의 강성(stiffness)에 의해 영향을 받는다(Davis, 2003). 일반적으로 사용되는 해머 팁의 재질은 고무, 플라스틱, 알루미늄 등으로 알려져 있다(Mali and Singru, 2018). ASTM C1740(2016)에서는 콘크리트 구조물의 타격 시험 시 고무 재질의 해머 팁 사용을 권장하고 있다. 본 연구에서는 해머 팁 재질에 따른 공동 깊이별 음파 특성의 변화를 비교하기 위해, 고무 및 플라스틱 재질의 해머 팁을 각각 사용하여 동일한 실험을 반복하였다. 실험은 공동 중심과 타격 지점 간의 거리를 5cm(L = 5cm)로 고정한 상태에서 수행하였으며, 공동 깊이 z = 0cm, 2.5cm, 5cm, 7.5cm, 10cm, 12.5cm의 여섯 가지 조건에 대해 음파 신호를 측정하였다. 또한, 두께가 각각 1cm와 2cm인 상부 판을 대상으로 동일한 절차를 적용하여, 상부 판 두께 변화에 따른 영향도 비교하였다. 즉, 해머 팁 재질(고무, 플라스틱; 2 가지), 공동 깊이(z = 0–12.5cm; 6 가지), 상부 판 두께(1cm, 2cm; 2 가지)를 달리한 총 24개(2 × 6 × 2)의 타격 시스템별 음파 신호를 확보하였다.
4. 실험 결과 및 분석
4.1 공동 중심과 타격 지점 간의 거리에 따른 신호 변화
본 연구에서는 해머 타격으로 측정된 하중 신호(load signal in Fig. 7)의 초기 도달 시간을 마이크로폰 출력 신호의 시계열에 대한 기준점(0ms)으로 설정하고, 모든 측정 신호의 도달 시간을 이에 맞추어 정렬하였다. 측정된 음파 신호의 예시로, 공동 중심과 타격 지점 간의 거리(L = 5–15cm) 및 공동 깊이 조합에 따른 총 36개의 타격 조건 중, 공동 깊이 z = 0cm에 해당하는 음파 신호들을 Fig. 7(a)에 제시하였다. Fig. 7(a)에 따르면, 해머 타격 직후 큰 진폭의 음파가 발생하였으며, 약 5ms까지 진폭이 점차 감소한 뒤 약 20ms까지 신호가 지속되었다. 모든 음파 신호에 대해 FFT를 적용하였으며, 예시로써 Fig. 7(a)에 제시된 신호의 주파수 스펙트럼 결과를 Fig. 7(b)에 나타내었다. 하중 신호와 음파신호들에 대한 FFT 결과를 이용하여 식 (3)을 이용하여 운동성 스펙트럼을 산정하였으며, 그로부터 유연성을 계산하여 Fig. 8에 나타내었다.
Fig. 8에 따르면, 모든 L 조건에서 공동 깊이(z)가 증가할수록 유연성이 점차 감소하는 경향을 보였다. 배면에 공동이 존재하는 구조물에 타격이 가해질 경우, 공동 가장자리 부위가 힌지(hinge) 역할을 하며, 이로 인해 공동 상부의 판이 굽힘 진동(flexural vibration) 거동을 나타낼 수 있다(Tong et al., 2006; Kang et al., 2021; Kang et al., 2022b). 이러한 굽힘 진동이 발생하면 낮은 음의 속이 빈(hollow) 소리가 동반되며, 그 결과 낮은 주파수 대역의 성분이 강해진다(Sansalone and Streett, 1997; Mori et al., 2002; Zhu and Popovics, 2007). 동일한 하중 조건에서 저주파 성분이 강해질수록 식 (3)에 따라 운동성 스펙트럼의 저주파 대역 값이 커지고, 스펙트럼의 초기 기울기 또한 증가하여 유연성이 크게 산정된다. 즉, 큰 유연성은 공동 발생과 같은 구조물의 건전도 저하를 의미한다(Kang et al., 2025c). 즉, Fig. 8과 같이 공동 깊이 (z)가 증가할수록 유연성이 점차 감소하는 경향은 굽힘 진동 거동이 약해짐에 의한 것으로 판단되었다.
또한 유연성은 Fig. 8과 같이 모든 공동 깊이 조건에서 공동 구역 내부의 타격 지점(L = 5, 7, 9cm)에서 정상 구역(L = 11, 13, 15cm)에 비해 더 크게 나타났다. 특히 공동 중심에 가장 근접한 L = 5cm 지점에서 최대 유연성이 관찰되었다. 이는 하중 작용점으로부터 힌지까지의 거리가 길어질수록 단위 하중에 대한 처짐이 커지고, 그에 따라 굽힘 진동 거동의 저주파 성분이 더욱 강화되기 때문인 것으로 고려된다(Tong et al., 2006; Sajid et al., 2022). 따라서, 본 연구에서 L = 5cm 지점이 공동 중심에 가까워 힌지까지의 거리가 상대적으로 길었기 때문에 유연성이 가장 크게 나타난 것으로 판단된다.
4.2 상부 판의 두께 및 해머 팁 재질에 따른 신호 변화
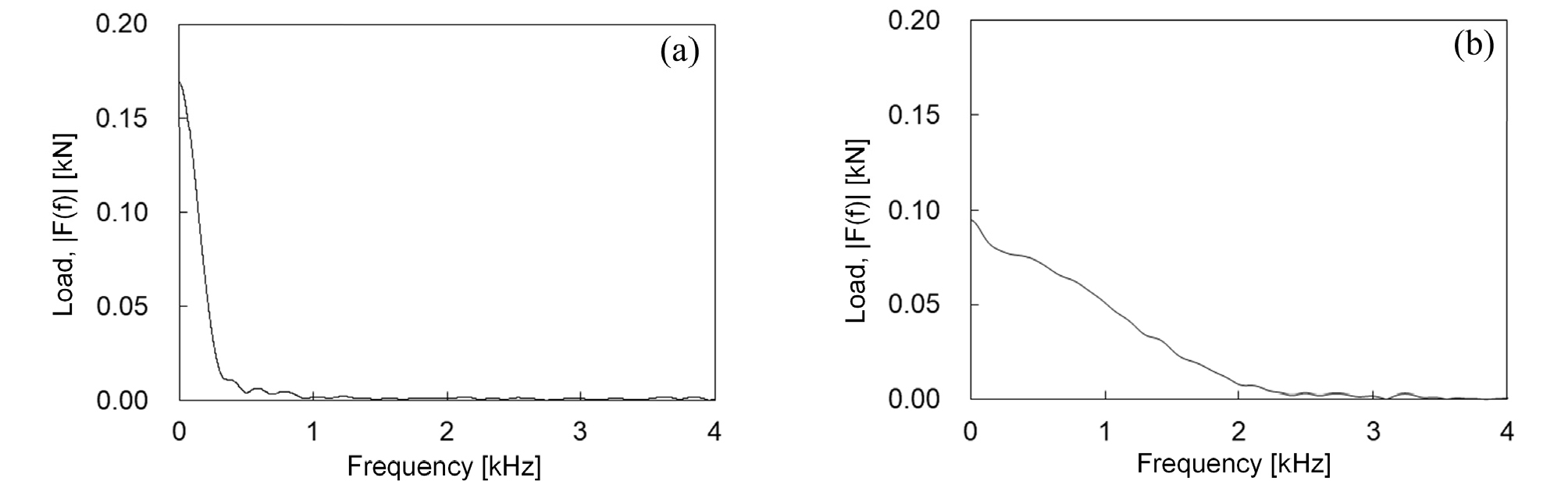
상부 판 두께, 해머 팁 재질, 그리고 공동 깊이를 달리한 총 24개의 타격 시스템별 음파 신호를 분석하였다. 예시로, 상부 판 두께가 1cm인 경우 고무 및 플라스틱 재질의 해머 팁으로 타격한 음파 신호를 Fig. 9(a) 및 Fig. 9(b)에 나타내었으며, 이들의 FFT 결과를 Fig. 9(c) 및 Fig. 9(d)에 제시하였다. Fig. 9(a) 및 Fig. 9(b)에 따르면, 고무 재질 해머 팁으로 측정한 하중 신호는 약 0–9ms 구간에서 유지된 반면, 플라스틱 재질 해머 팁의 경우 약 0–1.5ms 범위에서만 나타나 상대적으로 짧은 지속시간을 보였다. 이는 고무 재질 해머 팁의 강성이 플라스틱보다 낮아 구조물과의 접촉 시간이 길어지기 때문이며, 결과적으로 더 낮은 주파수 대역의 신호가 구조물에 전달되는 것으로 해석된다(Sajid et al., 2022). Fig. 10(a) 및 Fig. 10(b)는 각각 Fig. 9(c) 및 Fig. 9(d)에 제시된 재질별 하중 신호의 FFT 결과를 확대한 것이다. 확대된 스펙트럼에서도 고무 재질 해머 팁의 경우 플라스틱에 비해 저주파수 대역의 성분이 더욱 두드러지게 나타나는 것을 확인할 수 있다.
두께가 1, 2cm인 두 상부 판에서 측정된 모든 음파 신호를 이용해 유연성을 계산한 결과를 각각 Fig. 11(a) 및 Fig. 11(b)에 나타내었다. Fig. 11(a) 및 Fig. 11(b)에 따르면, 상부 판 두께가 1cm인 경우 두 재질의 해머 팁 모두에서 유연성이 약 15mm/GN 이상으로 나타난 반면, 두께 2cm의 판에서는 약 5mm/GN 미만의 값을 보였다. 이는 상부 판의 두께 증가로 인한 굽힘 진동 거동의 약화에 기인한 것으로 판단된다. 그러나 판 두께가 증가하더라도 공동 깊이 z가 증가함에 따라 유연성이 감소하는 경향은 여전히 명확하게 관찰되었다. 이러한 결과는 유연성을 활용한 음파 기반 탐사 기법이 상부 판의 두께 변화에도 불구하고 적용 가능함을 의미한다.
음파 기반 탐사에서 유연성은 공동의 존재 여부를 판단하는 기준이 되므로, 유연성 값이 크게 나타나는 구역은 공동 의심 구역으로 간주될 수 있다. 따라서 공동 깊이에 따라 유연성이 크게 유지되는 범위가 넓을수록, 즉 큰 유연성이 더 깊은 영역까지 나타날수록, 음파 기반 탐사의 가탐 깊이가 깊다고 해석할 수 있다. 해머 팁 재질에 따른 공동 가탐 깊이를 비교하기 위하여, z = 0cm에서의 유연성 값을 기준으로 전체 깊이에서의 유연성 값을 정규화하였으며, 두께가 1, 2cm인 상부 판에 대한 각각의 결과를 Fig. 11(c) 및 Fig. 11(d)에 제시하였다. Fig. 11(c) 및 Fig. 11(d)에 따르면, 상부 판 두께가 1cm인 경우 플라스틱 팁으로 타격한 결과 z = 0–5cm 구간에서 정규화된 유연성이 완만히 감소하다가 z = 5cm 이후 급격히 감소하였다. 반면, 고무 팁의 경우 전체적인 경향은 유사하나 z = 7.5cm에서 플라스틱 팁보다 큰 정규화된 유연성 값을 보였다. 두께 2cm 상부 판의 경우, 플라스틱 팁은 z = 0–7.5cm 구간까지 정규화된 유연성이 완만히 감소하다가 이후 급격히 감소한 반면, 고무 팁은 z = 10cm까지 완만히 감소한 뒤 급격히 감소하였다. 즉, 두께가 서로 다른 상부 판 모두에서 고무 팁의 정규화된 유연성은 플라스틱 팁에 비해 큰 값이 상대적으로 더 깊은 공동 깊이까지 유지되었다. 이는 고무 팁을 사용할 경우 공동 검측이 가능한 가탐 깊이가 더 깊다는 것을 의미한다. 이러한 현상은 고무 재질 해머 팁이 플라스틱에 비해 낮은 주파수 대역의 성분이 집중된 진동을 발생시키기 때문이며, 결과적으로 유연성 계산에 더 적합하고, 깊은 공동 검측에도 유리한 특성을 보이는 것으로 판단된다(Sajid et al., 2022; Zhu and Popovics, 2007).
5. 요약 및 결론
본 연구에서는 공동 중심과 타격 지점 간의 거리, 해머 팁 재질, 그리고 상부 판의 두께와 같은 타격 시스템 변수들이 마이크로폰 기반 음파 탐사에서 공동 깊이에 따른 검측 가능성에 미치는 영향을 평가하기 위하여 모형 실험을 수행하였다. 상부 판으로부터의 거리를 조절하며 토조 내에 모형 공동을 매설하여 서로 다른 깊이의 공동을 모사하였고, 상부 판의 두께 및 해머 팁 재질을 변화시켜 음파 신호를 측정하였다. 측정된 음파 및 하중 신호를 이용해 유연성을 산정하였으며, 타격 시스템 변수에 따른 유연성 변화를 비교 분석하였다. 본 연구를 통해 얻은 주요 결론은 다음과 같다.
(1) 타격 지점이 공동 중심에 근접할수록, 힌지 역할을 하는 공동 경계로부터 하중 작용점까지의 거리가 길어져 단위 하중에 대한 처짐이 증가하였다. 이에 따라 굽힘 진동 거동의 저주파 성분이 강화되어 유연성이 상대적으로 크게 나타났다.
(2) 서로 다른 두께의 상부 판에서도 공동 깊이가 증가함에 따라 유연성이 감소하는 경향이 일관되게 확인되었다. 이는 유연성을 활용한 음파 기반 탐사 기법이 다양한 두께의 벽체구조물에 적용 가능함을 의미한다.
(3) 고무 재질 해머 팁은 플라스틱 팁에 비해 큰 유연성 값이 더 깊은 공동 깊이까지 유지되었으며, 이를 통해 고무 팁이 상대적으로 더 깊은 가탐 깊이를 확보할 수 있음을 확인하였다. 이는 고무 팁이 플라스틱보다 낮은 주파수 대역의 진동 성분을 집중적으로 발생시켜 깊은 공동 검측에 유리하기 때문으로 판단된다.
(4) 유연성 기반 음파 탐사 기법은 얕은 공동뿐만 아니라 벽체로부터 이격된 깊은 공동의 검출에도 효과적으로 활용될 수 있는 것으로 판단되며, 마이크로폰을 이용한 음파 탐사는 벽체 배면의 깊은 공동 검측에 유용한 도구가 될 수 있음을 보여준다.
(5) 본 연구에서는 다양한 두께의 아크릴 판을 활용한 실내 모형실험을 통해 마이크로폰의 깊은 공동 검측 가능성을 평가하였다. 다만 본 결과를 실제 콘크리트 벽체에 적용하기 위해서는 아크릴과 콘크리트 간 재질 특성 차이에 따른 신호 변화에 대한 분석과, 보다 두꺼운 벽체 조건에 대한 추가 검증이 요구된다. 이러한 사항들은 후속 연구를 통해 보다 심도 있게 다룰 예정이다.













