1. 서 론
2. SCW(Soil Cement Wall) 흙막이 벽체 공법
2.1 SCW 흙막이 벽체 설계방법
2.2 MFS 흙막이 벽체 공법
3. 실내모형실험
3.1 개요
3.2 실험 방법
3.3 분석결과
4. 수치해석을 이용한 MFS 공법의 거동특성 분석
4.1 개요
4.2 해석조건
4.3 수치해석 결과
5. MFS 흙막이 벽체의 설계방법
5.1 MFS 흙막이 벽체 설계 방법
5.2 MFS 흙막이 벽체 개선 효과 분석
6. 결론 및 제언
1. 서 론
흙막이 구조물은 지반 굴착으로 발생하는 토압 및 수압을 견디는 임시 구조물로서 강성벽체인 지하연속벽 및 CIP(Cast in Placed Pile) 공법과 연성벽체인 H-pile+토류벽, Sheet Pile, SCW(Soil Cement Wall) 공법이 있다. 최근 도심지에서의 지반 굴착공사는 제한된 공간에서 대규모로 이루어지는 경우가 많고, 인접된 구조물의 안전성을 확보할 수 있도록 흙막이 구조물은 강성이 더욱 크고 안정성이 극대화될 수 있도록 요구되고 있다(Lee and Park, 2022). 이러한 이유로 CIP 벽체의 강성을 강화하는 연구가 활발하게 이루어지고 있으나, SCW 공법과 같은 연성벽체에 대한 연구는 미흡한 실정이다. SCW 흙막이 공법은 시멘트 또는 고화재와 원지반의 토사를 교반하여 주열식 벽체를 형성하는 공법으로 벽체의 일축압축강도가 작고, 주열식 벽체의 직경보다 토압을 지지하는 유효단면이 작아 굴착깊이가 크지 않은 경우나 자립식 흙막이 벽체로서만 활용되는 등 적용이 제한되는 특성이 있다. 최근 SCW 공법은 별도의 차수공법을 병행하지 않아도 연속벽 형태로 흙막이 벽체를 조성할 수 있도록 개선하였으나 설계기법이나 개선된 SCW 공법의 기능향상 효과 연구는 미비한 실정이다. 이에 본 연구에서는 주열식 벽체가 가지는 단점과 지하연속벽의 장점을 모두 고려한 평면 연속형 SCW 공법(Multi-axis Flat Continuous Soil Cement Earth Retaining Wall, 이하 MFS공법)에 대한 적용성을 확인하고 일반적인 SCW 공법과 비교해 기능향상 효과를 확인하였다.
일반적으로 SCW 흙막이 벽체에 작용하는 축력은 사선아치 단면에 등분포하중으로 작용하고 벽체의 전단강도는 일축압축강도의 1/2~1/3로 설계하는 것이 일반적이며(Ministry of Land, Infrastructure and Transport, 2018), SCW 벽체에 작용하는 아칭응력은 설계의 중요한 요소 중 하나로 고려된다. Handy(1985)는 옹벽의 변위는 뒤채움 흙 입자들의 이동을 초래하면서 아칭이 발달한다고 설명하면서 지반아칭 효과를 고려한 토압을 제시하고, Hong et al.(2014)은 모형실험으로 지반아칭 메커니즘을 규명하고 이완영역의 형상을 정의하였다.
일반적으로 개량된 흙막이 구조물의 거동특성 확인과 설계기법의 개발을 위해서 축소모형실험이 이용되고 있다. Yoo et al.(2005), Lee et al.(2022)은 흙막이 벽체의 효율적 설계를 위해 축소모형실험을 수행하였고, Yoo et al.(2005)은 벽체 변위와 지반거동을 정성, 정량적 분석으로 수행한 바 있다.
이에 본 연구에서는 MFS 공법의 기능향상 효과를 분석하고, 흙막이 벽체 설계기법에 필요한 아칭응력을 확인하기 위해 축소모형실험과 수치해석을 수행하였다. 축소모형실험에서는 SCW 공법과 MFS 공법을 대상으로 흙막이 벽체의 최대 수평지지하중을 비교하였고, 수치해석으로는 축소모형실험의 검증 및 흙막이 벽체에 작용하는 아칭응력의 분포를 확인하였다. 아울러 모형실험 및 수치해석 결과를 종합하여 MFS 공법의 기능향상 효과와 설계기법을 제시하였다.
2. SCW(Soil Cement Wall) 흙막이 벽체 공법
2.1 SCW 흙막이 벽체 설계방법
Fig. 1(a)과 같이 SCW 흙막이 벽체 설계는 벽체에 사선아치 형태로 등분포하중이 작용하며, Fig. 1(b)와 같이 벽체 내부에 형성되는 아칭단면을 고려해 축력과 전단력이 계산된다. Terzaghi(1936; 1943)는 지반아칭현상은 흙의 파괴영역에서 주변지역으로의 하중전달이라고 정의하였고, SCW 흙막이 벽체에서는 작용하는 측압으로 인해 벽체 내부로 하중전달이 일어나는 아칭응력을 고려해서 설계한다. 즉 Fig. 1(b)와 (c)와 같이 축력과 전단력에 대해 SCW 벽체의 유효단면적을 고려해 설계하고 있다. Table 1과 같이 SCW 흙막이 벽체의 설계에 있어 중요한 요인 중 하나는 벽체에 작용하는 아칭응력의 작용 높이(f)라고 할 수 있다.
Table 1.
Soil cement wall design method
2.2 MFS 흙막이 벽체 공법
MFS 공법은 다축의 오거장치에 확장장치가 설치되어 시멘트 및 원지반이 교반되는 동시에 확장되어 종래의 원주형 구근에서 평면형의 교반체로 벽체를 형성할 수 있도록 개선된 공법이다(Fig. 2(a)). 이로 인해 종래의 굴착 케이싱의 직경에 따라 수평간격이 결정되었던 H-pile의 설치간격을 자유롭게 조정할 수 있고, 확장 폭의 조절에 따라 벽체의 두께를 관리할 수 있다는 특징을 가지고 있다.
MFS 흙막이 벽체는 천공 직경(D)이 550, 600, 650 및 700mm 조건 모두에서 확장장치를 활용하여 평면 연속형의 흙막이 벽체 두께(t)를 천공 직경과 동일하게 조성할 수 있다는 장점을 가지고 있으며(Fig. 2(b)), 흙막이 벽체 조성시 커터식과 회전보링 두 가지의 방법을 동시에 적용함으로써 빠르게 연속벽을 형성하여 시공성, 경제성 및 안정성 향상 등의 장점이 있다.
시공적인 측면에서는 단면을 직사각형으로 균일화해 중첩(Over-Lap) 시공이 가능하고, 경제적인 측면으로는 H-pile의 설치간격 조절로 인한 H-pile 감소 및 연속벽체 조성에 따라 차수공법이 불필요해 경제성을 확보가 기대된다. 또한 평면 연속형 벽체를 조성함으로써 벽체 전단면 활용으로 종래에 비해 유효단면적이 증가되어 아칭응력의 작용 폭이 확장됨으로써 부재력 강성 증가 효과가 기대되는 공법이다.
3. 실내모형실험
3.1 개요
기존 SCW 공법을 개선한 MFS 공법이 흙막이 벽체로서의 기능향상 효과 및 적용성을 검증하기 위하여 실내 축소모형실험을 수행하였다. 실내모형실험으로 흙막이 구조물로서의 활용성 및 기능향상 효과를 확인하기 위해 토압 지지효과를 확인하고 기존 주열식 SCW 흙막이 벽체와의 비교·분석을 통해 MFS 공법의 정량적인 성능개선 효과를 확인하였다.
실내모형실험에서는 MFS 벽체 조건에 따라 나타나는 거동특성의 결과를 이용해 기능 및 성능 개선효과를 확인하고자 하였다. 따라서 흙막이 벽체 조건을 제외하고 모형지반 조성조건 및 모형실험의 크기 조건 등은 모두 고정함으로써 흙막이 벽체 이외에 다른 영향은 발생하지 않도록 실험조건을 설정하였다.
3.2 실험 방법
실내모형실험은 모형지반을 조성하고 배면지반에 재하판을 설치하여 2mm/min의 재하속도로 변형률제어 실험을 수행하였으며, 하중계를 이용하여 재하하중을 측정하였다. 또한 모형벽체 전면에는 다이얼게이지를 설치하여 수평변위를 측정하였다. 실내모형실험이 수행된 모형지반의 전경 및 모식도는 Fig. 3과 같다.
모형지반 사용된 모래는 물리적 특성 시험을 분석한 결과 200번체 통과량이 3% 이하인 통일분류법에 따라 SP로 분류되었으며, 역학적 시험 결과 최적함수비 17.2%, 최대건조밀도 16.8kN/m3산정되었으며, 직접전단시험 방법에 따라 수행한 결과 점착력은 4.7kPa, 내부마찰각은 34.5° 산정되었다. 모형토조 내부는 1,200mm(w) × 1,200mm(b) × 710mm(h) 크기이며 모형벽체는 높이 및 근입깊이는 710mm과 230mm이고, 벽체 두께 크기 축소율 1/8.75로 설정하여 두께를 550mm, 700mm 두 종류의 자립식 벽체로 설정하였다. 흙막이 벽체의 H-pile은 일반적으로 많이 사용되고 있는 H-pile(300mm × 300mm × 10mm × 15mm)을 대상으로 하였으며, 설치간격 900mm, 1,800mm를 축소율 1/8.75로 모형지반 벽체 근입하여 조성하였다(Fig. 3).
모형벽체는 13mm 골재를 이용하여 시멘트비 2.5%의 빈배합 조건으로 Soil Cement 압축강도 2MPa 이하의 배합강도로 조성하였다. 모형지반 조성은 모래를 이용하여 우선 기초지반을 조성한 이후 배면지반을 2개의 층으로 조성하는 방법으로 전체 3개의 층으로 나누어 다짐하여 지반을 조성하였다. 모형지반이 조성된 이후에는 유압식 하중 재하장치를 이용하여 모형지반 배면에 연직하중을 재하시켜 모형벽체에 수평하중이 작용되도록 하였다. 또한 하중이 재하하는 동안에 모형벽체의 수평변위를 측정하기 위하여 모형벽체 높이의 1H/3, 2H/3 지점에 변위계를 설치하였으며, 모형벽체에 근입된 H-Pile 보강재 1H/3 지점에도 변위계를 설치하여 벽체와 보강재에 작용하는 수평변위를 측정하였다. 완성된 모형지반은 하중재하시험 종료 후 임의의 깊이에서 채취한 블록시료를 이용하여 지반의 함수비 및 단위중량을 측정함으로써 동일한 모형지반의 조건을 검증하였다. 모형실험의 상황을 설명할 수 있는 단계별 전경은 Fig. 4와 같이 나타내었다.
모형실험은 일반적인 SCW 직경 550mm를 기준으로 설정하고 확장장치에 의해 형성되는 MFS 흙막이 벽체의 두께 700mm를 비교하여 MFS 흙막이 벽체의 거동특성 및 기능향상 효과를 확인하였다. 또한 일반적인 SCW 직경 550mm의 흙막이 벽체와 동등한 성능을 확인하기 위해 H-Pile의 설치간격(Center To Center=C.T.C)을 900mm 및 1,800mm 조건으로 설정해 전체 3회의 모형실험을 수행하였다. 실내모형실험이 수행된 조건은 Table 2와 같이 나타내었다.
Table 2.
Case of laboratory model test
3.3 분석결과
3.3.1 실내모형실험 결과분석
모형실험을 통해 확인된 하중-수평변위 곡선을 이용하여 항복하중을 흙막이 벽체의 최대지지하중으로 산정하여 Fig. 5에 나타내었다. 기존 SCW 공법(Case 1)과 MFS 공법(Case 2 및 3)에 대해 벽체 높이(1H/3, 2H/3) 2지점과 H-pile의 1H/3 지점에서의 하중-수평변위 곡선을 비교하여 나타내었다. 하중-수평변위 곡선으로 산정된 흙막이 벽체의 최대 지지하중 분석 결과는 Table 3과 같이 나타내었다.
Fig. 5(a)~(c) 및 Table 3의 결과를 살펴보면 MFS 흙막이 벽체가 일반 SCW 흙막이 벽체보다 지지하중이 증가하는 것으로 평가되었다. 동일한 H-pile의 설치간격일 때 MFS 흙막이 벽체의 지지하중은 SCW 흙막이 벽체의 지지하중보다 26.9%~29.4% 증가하는 것으로 평가되었고, H-pile의 설치간격이 축소되어 흙막이 벽체의 강성이 증가되는 조건에서는 SCW 흙막이 벽체의 지지하중보다 38.7%~41.0% 증가되는 것으로 평가되었다. 또한 MFS 흙막이 벽체의 강성이 증가됨에 따라 동일하게 벽체에 하중이 작용하는 조건에서는 벽체의 수평변위가 감소하는 효과를 보이는 것으로 확인되었다.
Table 3.
Maximum retaining load results
3.3.2 실내모형실험 신뢰성분석
실내모형실험 결과를 검증하기 위하여 모형실험의 조건을 동일하게 모사하여 3차원 수치해석을 수행하였다. 실내모형실험 결과와 수치해석으로 확인된 실험조건별 하중-수평변위 곡선은 Fig. 6과 같다. Fig. 6에 의하면 동일한 지점에서의 모형실험과 수치해석에 의한 하중-변위 곡선은 비교적 유사한 결과를 보이는 것으로 나타났으며, 모형실험과 수치해석결과를 표준오차율 계산방법으로 비교 분석한 결과 오차율은 7~10%로 평가되어 신뢰성을 확보하였다고 판단하였다.
4. 수치해석을 이용한 MFS 공법의 거동특성 분석
4.1 개요
축소모형실험으로 확인된 MFS 벽체의 수평토압 지지효과의 향상 및 수평변위 억제효과를 검증하고, 흙막이 벽체의 두께와 흙막이 벽체 내부에 근입되는 H-pile의 간격 및 크기 등의 다양한 매개변수에 대한 거동특성을 확인하기 위하여 수치해석을 수행하였다. 우선 실내모형실험이 수행된 조건과 동일하게 수치해석을 수행함으로써 수치해석의 신뢰성을 검증한 이후 실내모형실험 조선과 동일한 조건으로 SCW 공법과 MFS 공법에 대하여 수치해석을 수행함으로써 벽체 두께, H-pile의 설치 간격 및 크기 변화에 대한 MFS 공법의 수평변위 억제효과, 토압지지 향상 효과 및 아칭효과의 변화를 분석하였다.
실내모형실험과 동일한 조건의 수치해석은 실제 규모의 흙막이 벽체보다 크기가 작고 경계조건에 의한 영향 등으로 실제 거동과 상이한 결과를 보일 수 있으며 실제 흙막이 벽체에서 발생하는 굴착에 따른 응력분포 및 거동특성을 고려하기 어려운 문제가 있어 실제 규모의 흙막이 벽체 조건도 수치해석을 수행하였다. 따라서 수치해석은 우선적으로 흙막이 벽체의 두께, H-Pile의 간격, H-Pile의 크기를 매개변수로 설정해 매개변수에 대한 수평변위 억제효과, 토압지지 향상 효과 및 아칭효과의 변화를 확인하였고, 실제 굴착에 따른 응력분포와 거동특성을 종합적으로 고려하였을 때의 아칭효과의 발현을 확인하여 적정한 설계기법을 제안할 수 있도록 고려하였다.
수치해석은 범용 유한요소해석 프로그램인 MIDAS- NX 3D 프로그램을 이용하였으며 지반요소는 탄소성 모델인 Mohr-Coulomb 모델, H-piles는 beam 요소로 적용하였다. 모형지반은 평면조건인 X, Y 축으로 하는 평면으로 지정하고, 지반의 높이는 Z 방향으로 3차원 모형지반으로 모사하여 수행하였다. 수치해석의 경계조건은 좌·우측면에 롤러를 두어 연직방향의 거동이 가능하도록 제한하였고 바닥면 역시 롤러를 두어 수평방향의 거동만 가능하도록 설정하였다. 좌·우 측면과 바닥면이 접하는 경계점은 힌지를 두어 모든 방향의 거동을 제한하였다. 수치해석에 사용된 모형지반 및 격자요소망은 Fig. 7과 같다.
4.2 해석조건
MFS 흙막이 벽체의 거동특성과 일반 SCW 흙막이 벽체와 비교한 기능향상 효과를 확인함과 동시에 흙막이 벽체에서 발생되는 아칭효과 범위를 산정하기 위한 수치해석은 흙막이 벽체의 강성 이외의 지보재 영향을 배제하기 위해 자립형으로 가정하였다. 일반적인 SCW 흙막이 벽체는 천공 직경 550mm를 기본으로 설정하고, MFS 공법은 벽체 확장 장치로 형성되는 벽체 두께 600mm, 650mm 및 700mm 조건으로 가정하였다.
흙막이 벽체에 사용되는 H-pile은 300×300×10×15 및 350×350×10×16으로 가정하였고, H-pile의 설치간격을 변화시켜 흙막이 벽체의 강성변화에 따른 거동특성을 확인하였다. 해석에 적용한 점착력은 모형실험에서 사용한 재료값을 적용하였고, Soil cement wall의 강도정수는 Jun(2004)의 문헌값을 적용하였다. 수치해석 조건과 강도정수는 각각 Table 4와 Table 5에 나타내었다.
Table 4.
Numerical analysis case
Table 5.
Material properties for numerical analysis
4.3 수치해석 결과
4.3.1 Case별 하중-수평변위 분석결과
수치해석 변수분석을 통해 확인된 하중단계별 하중-수평변위를 분석하였으며, 해석결과는 Fig. 8에 나타내었다. 하중단계별 하중-수평변위를 이용하여 최대 지지하중을 산정한 결과는 Table 6에 나타내었다.
Table 6.
The numerical value analysis results
Table 6과 같이 직경 550mm인 일반 SCW 흙막이 벽체보다 MFS 벽체가 최대 지지하중이 증가되어 MFS 공법이 일반 SCW 벽체보다 수평하중에 대한 지지효과가 더 큰 것을 확인하였다. MFS 공법은 흙막이 벽체의 두께가 증가되어 수평하중에 대한 지지효과가 증가되며 일반 주열식 SCW 흙막이 벽체 대비 약 19.5%~196%의 수평토압 지지 효과가 증가하는 것으로 나타났다. 또한 MFS 흙막이 벽체에 근입되는 H-pile의 크기가 증가하면 20.4%~61.5%의 수평토압 지지 효과가 증가되는 것을 확인하였다. H-pile의 설치간격이 감소되어 연직벽체의 강성이 증가하는 경우에는 토압지지 효과가 일반 주열식 SCW 흙막이 벽체 대비 약 170%~400%까지 매우 크게 증가되는 것으로 확인되었다.
이와 같이 수치해석을 이용한 변수분석 결과 MFS 공법의 경우에는 일반 주열식 SCW 흙막이 벽체보다 수평토압 지지효과가 우수한 것으로 판단되며, 특히 연직벽체의 두께와 근입 H-Pile의 설치간격과 같은 연직벽체 강성은 토압지지 효과에 크게 영향을 주는 요인으로 확인되었다.
4.3.2 동일하중 조건의 수평변위 분석결과
수치해석으로 도출한 하중-수평변위 곡선을 이용하여 벽체 두께별 H-pile의 크기 및 설치간격 변화에 따른 SCW 흙막이 벽체에 작용하는 최대하중을 기준으로 MFS 흙막이 벽체 공법의 수평변위를 분석하였다(Table 7 참조).
Table 7.
The numerical value analysis results of case 1~20
Table 7과 같이 MFS 흙막이 벽체가 일반 주열식 SCW 흙막이 벽체와 비교하여 약 40.6%~74.4%의 수평변위 억제 효과가 있는 것으로 평가되었다. MFS 흙막이 벽체의 크기가 증가함에 따라 수평변위는 크게 감소되는 반면에 흙막이 연직벽체에 근입되는 H-Pile의 크기에는 상대적으로 크게 영향을 받지 않는 것으로 나타난다. H-pile의 크기나 설치간격은 MFS 흙막이 벽체의 약 5%~10%이내의 추가적인 수평변위 억제효과를 발휘하는 것으로 확인되었다. 따라서 흙막이 벽체의 수평변위는 특히 연직벽체 두께가 증가할수록 감소되는 것으로 평가되어 흙막이 벽체 두께가 가장 크게 영향을 주는 요인으로 판단되었다.
4.3.3 실제규모 MFS 공법의 수치해석 검증
실내모형실험 조건의 수치해석을 통해 MFS 공법의 수평토압 지지효과 및 수평변위 억제 효과는 확인하였으나 이는 실제 규모의 흙막이 벽체와 비교할 때 굴착에 따른 응력분포 및 거동특성을 고려하기 어려운 문제가 있어 실제 규모의 흙막이 벽체 조건으로 성능개선 효과를 검증하였으며 그 결과는 Table 8과 같다.
Table 8의 결과를 살펴보면 SCW 벽체에 비하여 MFS벽체의 최대 지지하중이 증가하는 것으로 나타나며, 동일한 수평변위를 기준으로 비교해 봤을 때 흙막이 벽체의 내부 H-pile의 설치간격이 증가할 수 있는 것으로 평가되었다. Case 22~25의 MFS 흙막이 벽체 두께가 550~700mm 조건에서 H-pile 300×200×9×14mm 크기로 근입된 경우 MFS 공법의 H-pile 설치간격은 SCW 벽체에 비해 64.4~75% 범위로 증가하는 것으로 분석되었다. Case 27~30 및 Case 32~35의 경우에도 H-pile의 설치간격은 SCW 흙막이 벽체에 비해 각각 50~65% 그리고 35~55%의 범위로 증가하는 것으로 분석되었다.
Table 8.
The numerical value analysis results of case 21~35
실제규모의 MFS 흙막이 벽체를 대상으로 한 수치해석에서도 흙막이 벽체의 두께 증가는 벽체의 강성 증대 효과로 수평변위 억제효과는 뚜렷하게 나타나며 H-pile의 설치간격 최적화 등의 효과도 기대가 가능할 것으로 판단된다.
4.3.4 MFS 벽체의 아칭효과 범위 산정
SCW 흙막이 벽체 설계는 사선 아칭단면에 등분포하중이 작용하는 것으로 가정하고 아칭응력의 높이를 고려하여 사용재료에 대한 축력 및 전단력에 대한 안정성을 검토한다. 이에 본 연구에서는 수치해석으로 확인된 응력분포도를 이용하여 흙막이 벽체 내부에 작용하는 아칭효과 범위를 분석하여 MFS 벽체 내부에서 형성되는 아칭응력의 분포높이를 산정하였다.
본 연구에서 MFS 벽체의 아칭응력 분포높이는 수치해석 결과를 이용한 작도법으로 작성하였다(Fig. 9 참조). MFS 벽체에서 발현되는 아칭효과 범위 모식도는 Fig. 10과 같으며, 벽체 두께와 H-pile 높이에 따른 아칭높이(FM)를 산정한 결과를 정규화하여 Fig. 11에 나타내었다.
Fig. 9의 수치해석 결과에 의하면 SCW 공법의 아칭효과 범위는 벽체 두께 이내와 H-pile의 내측 간격에서 발생하고(Fig. 9(a) 참조), MFS 흙막이 벽체의 아칭효과는 벽체 두께 이내와 Hpile 외측 경계부에서 발생하였다(Fig. 9(b) 참조). 따라서 SCW 흙막이 벽체 및 MFS 벽체의 아칭효과는 H-pile의 중앙부 및 H-pile의 경계에서 발현되는 것으로 확인되었다(Fig. 10(a), (b) 참조).
MFS 흙막이 벽체에서 발현되는 아칭응력의 높이를 H-pile의 크기 변화에 따라 분석하면 벽체 두께(T=D), H-pile 설치간격(L), 크기(H)의 변화에 따라 발현되는 아칭응력 높이(FM)를 T-H/2로 산정하여 Fig. 11에 나타내었다. Fig. 11에 의하면 벽체 두께가 커질수록 아칭높이비는 증가하고, H-pile 높이가 커질수록 아칭 높이비는 감소하는 것으로 분석되었다. 따라서 MFS 흙막이 벽체 공법의 부재 단면 설계시 벽체 두께와 H-pile의 크기 변화에 따른 아칭높이비 55%~79%의 범위를 적용하는 것이 적절할 것으로 판단된다.
5. MFS 흙막이 벽체의 설계방법
5.1 MFS 흙막이 벽체 설계 방법
본 연구에서는 MFS 흙막이 벽체의 안정해석에 사용되는 설계기법을 Table 1의 일반적인 SCW 흙막이 벽체의 설계기법을 수정·보완하여 제시하였다. 수치해석을 통해 확인된 MFS 흙막이 벽체의 아칭높이를 고려해 아칭높이, 단면 설계 방법을 제시하였다(Table 9 참조).
Table 9.
MFS design method
5.2 MFS 흙막이 벽체 개선 효과 분석
5.2.1 수평력 지지효과
축소모형실험 및 수치해석 결과 MFS 공법의 경우 토압 및 수압에 대한 수평력 지지효과가 확인됨에 따라 그 효과를 분석하였다. 일반적인 SCW 공법과 동등한 성능을 가지는 수평력지지 효과를 확인하기 위하여 SCW 흙막이 벽체의 연직벽체로 활용되는 H-pile의 간격을 변화시켜 동등한 성능을 발휘하는 조건을 확인하였다. 일반 SCW 흙막이 벽체와 평면 연속형 SCW 흙막이 벽체의 수평력 지지하중을 정규화하였다(Fig. 12(a) 참조). Fig. 12(a)는 흙막이 벽체의 H-pile 수평 간격 및 벽체 두께에 다른 정규화된 수평지지하중이 나타나 있다. 흙막이 벽체 안에 설치되는 H-pile의 수평간격이 증가되더라도 흙막이 벽체의 두께를 조절하는 경우 일반적인 SCW 흙막이 벽체의 H-Beam의 설치 간격 2.0D와 동등한 수평지지하중을 가지는 것으로 나타났다. 즉 평면 연속형 SCW 흙막이 벽체의 경우에는 일반적인 SCW 흙막이 벽체에와 비교할 때 수평하중 지지효과가 큰 것으로 기대되며 동등한 수준의 수평하중 지지력을 고려할 때 연직벽체에 설치되는 H-pile의 수평간격을 증가시켜 경제적인 공법의 구현이 가능할 것으로 판단된다.
5.2.2 수평변위 억제 효과
Fig. 12(b)에 수평변위에 대한 분석 결과가 제시되어 있다. MFS 흙막이 벽체의 H-pile의 수평 간격 및 벽체 두께에 다른 정규화 수평변위가 나타나 있다. Fig. 12(b)와 같이 흙막이 벽체 안에 설치되는 H-pile의 수평간격이 증가되더라도 흙막이 벽체의 두께를 조절하면 일반적인 SCW 흙막이 벽체의 H-pile의 설치 간격 2.0D와 동등한 수준의 수평변위가 발생되는 것으로 나타났다. 즉 평면 연속형 SCW 흙막이 벽체의 경우에는 일반적인 SCW 흙막이 벽체와 비교할 때 수평변위 억제효과가 큰 것으로 판단된다.
5.2.3 부재력 감소 효과
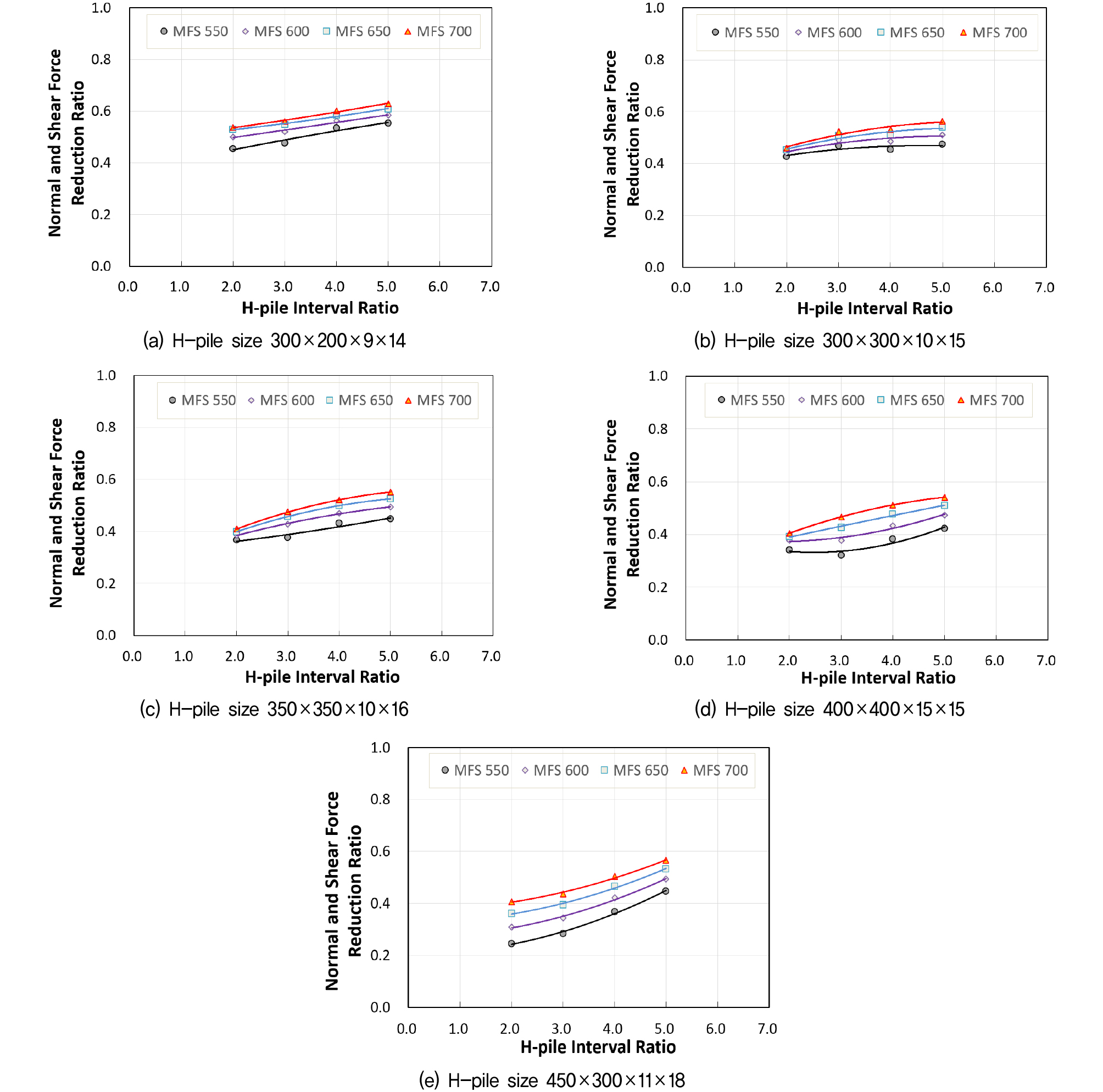
MFS 흙막이 벽체의 부재력 설계방법으로 MFS 벽체 두께가 550mm, 600mm, 650mm, 700mm, H-pile 설치간격은 2D~5D(D=450mm), H-pile의 크기는 300×200×9 ×14mm, 300×300×10×15mm, 350×350×10×16mm, 400×400×15×15mm, 450×300×11×18mm의 조건 변화에 따른 축력 및 전단력을 산정 결과를 비교 분석하였다. 축력 및 전단력 중 큰 값을 적용하여 기존 SCW 공법에서 산정한 값을 기준으로 MFS 공법의 산정값을 정규화하여 흙막이 벽체의 축력 및 전단력 저감효과를 정량적으로 분석하고자 하였으며 분석된 결과는 Fig. 13과 같이 나타내었다.
Fig. 13의 결과를 살펴보면, MFS 공법의 흙막이 벽체 두께와 H-pile 간격을 개선함으로써 벽체의 설계강도 감소효과를 확인하였다. 아울러 동일한 H-pile의 크기에서는 벽체 두께가 증가할수록 축력 및 전단력은 감소하는 것으로 분석되었으며, H-pile 설치간격이 증가할수록 축력 및 전단력은 증가하는 것으로 분석되었다. 축력 및 전단력은 벽체 두께와 H-pile의 크기에 따라 24.6%~62.9%의 저감 효과가 있는 것으로 분석되었다. 동일한 벽체 두께에서의 H-pile의 크기 변화에 따른 흙막이 벽체에 작용하는 축력 증대 효과는 있으나 다소 미미한 것으로 확인되었다. 아울러 흙막이 벽체의 최적의 강성 효과를 극대화하기 위하여 벽체두께를 고려한 적정한 H-pile의 크기를 결정하여 조합하는 것이 바람직할 것으로 판단된다.
6. 결론 및 제언
본 연구에서는 MFS 공법의 효과를 분석하고, 흙막이 벽체 설계기법에 필요한 아칭응력의 확인을 위하여 선행 연구를 종합적으로 고려해 축소모형실험과 수치해석을 수행하였다. 축소모형실험 및 수치해석을 통해 MFS 흙막이 벽체, 즉 SCW 흙막이 벽체의 개선 효과를 확인하였다.
(1) 축소모형실험 결과 H-pile의 설치간격이 동일할 때 MFS 흙막이 벽체의 지지하중은 SCW 흙막이 벽체의 지지하중보다 26.9%~29.4% 증가하였고, H-pile의 설치간격이 축소되어 흙막이 벽체 강성이 증가하면 SCW 흙막이 벽체의 지지하중보다 38.7%~41.0% 증가되는 것으로 평가되었다. 또한 MFS 흙막이 벽체의 강성이 증가됨에 따라 동일한 크기의 하중이 작용하면 벽체의 수평변위가 감소하는 것으로 확인되었다.
(2) 수치해석 결과 MFS 벽체는 직경 550mm인 일반 SCW 흙막이 벽체보다 최대 수평 지지하중이 증가되어 수평하중에 대한 지지 효과가 더 큰 것으로 분석되었다. 즉 MFS 흙막이 벽체의 두께가 550mm부터 700mm까지 증가하는 경우 수평토압은 일반 주열식 SCW 흙막이 벽체 대비 약 19.5%~196%의 지지 효과가 확인되며, 흙막이 벽체에 근입되는 H-Pile의 크기가 증가하면 수평토압은 20.5%~61.5%의 지지 효과가 증가하는 것으로 확인되었다.
(3) MFS 흙막이 벽체가 일반 주열식 SCW 흙막이 벽체에 비해 약 40.6%~74.4%의 수평변위 억제 효과가 있는 것으로 평가되었다. MFS 흙막이 벽체의 크기가 증가함에 따라 수평변위는 크게 감소되는 반면, 흙막이 연직벽체에 근입되는 H-Pile의 크기나 설치간격에는 상대적으로 크게 영향을 받지 않는 것으로 판단된다. H-Pile의 크기나 설치간격은 평면 연속형 SCW 흙막이 벽체의 조건과 비교해 약 5%~10% 이내의 추가적인 수평변위 억제효과를 발휘하는 것으로 확인되었다.
(4) 흙막이 벽체 발생하는 아칭 폭은 H-pile의 근입 부분을 제외한 내측 간격에서 발생하는 것으로 나타났고, 벽체 두께 이내로 발생하는 것으로 분석되었다. 기존 이론식을 활용하여 아칭효과 범위를 도식화하여 분석한 결과 벽체 두께 별 아칭높이는 최소 55%~79% 범위로 분석되었다. 아칭효과 범위 산정값을 활용하여 MFS 흙막이 벽체 공법의 부재력 단면 설계에서는 벽체 두께를 고려한 55%~79%를 적용하는 것이 합리적일 것이다.
(5) MFS 공법은 흙막이 벽체 두께와 H-pile 설치간격을 개선함으로써 벽체의 축력 및 전단력 감소 효과를 확인하였다. 동일한 H-pile의 크기에서는 벽체 두께가 증가할수록 축력 및 전단력은 감소하고, H-pile 설치간격이 증가할수록 축력 및 전단력은 증가하는 것으로 분석되었다. 축력 및 전단력은 벽체 두께와 H-pile의 크기에 따라 24.6%~62.9%의 저감효과가 있고, 흙막이 벽체의 최적의 강성 효과를 극대화하기 위하여 벽체 두께를 고려한 적정한 H-pile의 크기를 결정하여 조합하는 것이 바람직할 것으로 판단된다.
(6) 본 연구를 통해 MFS 공법의 효과를 정량적으로 확인하였으나 이는 축소모형실험 및 수치해석을 통해 확인된 결과를 이용한 것으로 MFS 공법의 실증 및 검증은 필요할 것으로 판단된다. 추후 실제 시공현장에서 계측을 통한 실증과정이 보완된다면 SCW 흙막이 벽체의 성능을 개선할 수 있는 효율적인 공법으로 판단된다.















