1. 서 론
2. 지진에 대한 사면안정해석
3. 취약도 곡선
3.1 Monte Carlo Simulation
4. 인공신경망 이론
5. 예제해석
5.1 예제1: 2층 지반의 사면안정해석
5.2 예제2: 제방의 사면안정해석
6. 결 론
1. 서 론
최근 한반도 주변 국가들의 지진피해가 증가하고 있고 전 세계적으로 많은 인명 및 재산 피해가 발생하고 있다. 국내의 경우 큰 규모의 지진이 자주 발생하지 않는 중 약진 지역이고 실제 지진에 대한 피해 사례가 부족하지만 기상청 통계자료에 따르면 1978년 지진계측을 시작한 이래로 규모 2.0이상의 지진은 1978년부터 1998년까지 연평균 19.2회 발생하였으나 1998년부터 2015년까지 평균 47.8회로 지진 발생빈도가 증가하였으며 이에 따라 내진에 대한 중요성이 점차 대두되고 있다.
일반적으로 구조물의 지진에 대한 취약도 곡선은 지진하중을 확률변수로 취급하여 지진하중효과가 내진저항력을 초과하는 확률을 계산함으로써 손상정도를 평가하는데 사면과 같은 지반구조물은 지반정수의 불확실성이 크게 기여하므로 이를 고려한 신뢰성 해석을 실시해야 한다.
지반의 불확실성은 공간적인 변동성, 측정오차, 모델의 불확실성 등 다양한 원인들에 의하여 발생하며 이를 확률론적으로 고려하는 방법론들이 여러 연구자들에 의하여 개발되었다(Phoon and Kulhawy, 1999; Low, 2003, 2014; Cho, 2007, 2010; Ahmed and Soubra, 2012). 지반 정수의 변동성을 나타내기 위해 변동계수(Coefficient Of Variation, COV)를 많이 사용하는데 변동계수는 무차원의 계수로 다음과 같이 정의된다.
(1)
여기서,
=표준편차
=평균이다.
변동계수는 흙에 대한 통계적 자료로부터 Table 1과 같이 지반정수의 변동성을 나타내는 가이드라인이 제시되었다(Schneider and Schneider, 2013).
지반구조물의 확률론적 지진 취약도 평가에 대하여 Kim and Nicholas(2013)는 RMS(Root Mean Square)를 이용해 지반 응답에 따른 변위해석을 실시하여 사면의 지진 취약도를 평가하였다. Wu(2014)와 Yiannis et al. (2008)은 지반의 불확실성에 대하여 한계평형해석(유사정적해석)에 기반을 두고 지반구조물의 지진에 대한 파괴확률을 계산하였으며 각각 FORM(First-Order Reliability Method)과 Monte Carlo Simulation(MCS)을 이용하여 취약도를 평가하였다.
이러한 지반의 불확실성을 고려한 확률론적 해석은 해석시간이 오래 소요되므로 실무에서 적용하기 어려운 면이 있다. 이 점을 보완하기 위하여 사면의 신뢰성 해석에서 응답면기법이 적용되었다(e.g., Li et al., 2011, 2013, 2015; Jiang et al., 2014). 그러나 보통의 응답면기법은 변수의 모든 영역에 대하여 응답면을 생성하거나, 변수의 수가 많고 랜덤변수의 변동성이 큰 경우 많은 계산량이 필요하므로 인공신경망(Artificial Neural Networks, ANN)이론을 이용한 응답면 기법을 적용하여 사면의 지반 정수의 변화에 따른 신뢰도 분석을 실시하였다(Cho, 2009).
본 연구에서는 지진에 대한 사면의 취약도 곡선을 작성하기 위하여 지반정수의 불확실성을 고려한 확률론적 해석을 실시하였다. 확률론적 해석 시 MCS 기법을 사용하였으며 보다 효율적인 확률론적 해석을 시행하기 위하여 인공신경망을 이용한 응답면기법을 사용하여 MCS 결과와 비교하였다.
2. 지진에 대한 사면안정해석
지진에 대한 사면안정해석은 지진하중을 정적으로 고려하는 유사정적해석(또는 등가정적해석), Newmark의 강체블록(Newmark’s sliding block)을 이용한 변위해석, 유한요소법과 유한차분법을 이용한 동적해석으로 나눌 수 있다.
유사정적해석은 동적하중인 지진하중을 정적하중인 관성력으로 고려하기 때문에 그 사용성이 간편하여 일반적으로 널리 사용되고 있으며 여기서 사용하는 평균가속도는 경험식을 이용하거나 활동단면에 대하여 일차원 응답 해석으로 구한다. Newmark(1965)는 경사면 위에 놓인 강체블록의 움직임과 지진하중으로 인하여 발생하는 사면의 영구변위와의 유사성을 이용하여 변위해석법을 제안하였다. 지반의 진동가속도가 항복가속도를 초과하면 활동토사가 움직이면서 활동토사의 진동속도와 지반의 진동속도가 같아질 때까지 영구변형이 발생한다. 따라서 사면의 영구변위는 지반의 진동가속도와 항복가속도의 차이를 중적분하여 구할 수 있다. 동적해석은 실제 지진파를 고려한 시간이력해석을 수행하기 때문에 그에 따른 동적 응력 및 변위를 구할 수 있지만 해석 시간이 오래 걸리기 때문에 많은 해석 수행을 필요로 하는 확률론적 해석을 시행하기에는 적절하지 않다.
본 연구에서는 실제 실무에서 많이 사용하는 유사정적해석을 이용해 확률론적 해석을 수행하여 사면의 지진취약도 곡선을 작성하였다.
유사정적 해석의 경우 등가정적하중은 다음과 같이 계산된다(Terzaghi, 1950).
(2)
여기서,
=수평가속도,
=수평지진계수,
=중력가속도,
=중량이다.
결정론적 해석에서 최대지반가속도 PGA(Peak Ground Acceleration)는 내진설계기준연구(II)(건설교통부, 1997)에서 제시된 내진성능 1, 2등급에 해당하는 재현주기 1000년, 500년에 따라 상응하는 값이 사용된다. 이때의 최대지반가속도 PGA(g)를 유사정적해석에서 사용할 경우 순간적인 동적하중인 PGA(g)를 평균 수평지진계수
값으로 보정해주는 보정값을 선정하여야 한다. 이는 사면 내 깊이에 따른 최대지반가속도의 변화, 순간적으로 동적하중이 작용하는 점 등을 고려하여 경험적으로 산정하여야 하며 국가별 설계기준에 따라 다르다(Yun et al., 2009). 국내의 경우 내진 설계에 대한 기준이 미비하고 지진에 대한 경험적 데이터가 부족하여 이에 대한 명확한 기준은 없으며 보정값은 관례적으로 0.5~1.0 값을 사용하고 있다.
많은 연구자들의 연구에도 불구하고 수직 지진파가 지반구조물의 안정성에 중요한 영향을 미치는지에 대해서는 여전히 논란이 있어 추가적인 연구가 요구된다. Gazetas et al.(2009), Sarma and Scoren(2009)는 사면의 슬라이딩 변형에서 수직 가속도 요소가 무의미하고 무시되어야 한다고 주장한다. 이와 반대로 다른 연구자들은(Ling et al., 1997; Jacques, 2006; Zhang et al., 2013, 2015, Sun et al., 2011, Zhao et al., 2016) 수직 지진력이 중요한 역할을 한다고 주장하고 있다. Eurocode 8(2004) 기준에 따르면 수직방향 지진계수
는 수평방향 지진계수
의 0.33에서 0.5배를 적용하며 본 논문에서는 수평방향 지진계수
의 0.5배를 적용하여 해석을 실시하였다.
3. 취약도 곡선
취약도 곡선(Fragility Curve)이란 구조물이 받는 외력에 대하여 손상 상태에 도달하여 파괴되거나 하중효과가 저항력을 초과하는 확률을 나타내는 것으로 임의 외력에 대하여 확률적으로 구조물의 취약성을 나타낸 곡선이다. 취약도 곡선은 1980년대 초 원자력 발전소의 확률론적 지진 안전성 분석을 위하여 개발되었으며(Kennedy and Ravindra, 1984) 지진공학 분야를 기반으로 홍수, 제방의 침투 등 여러 토목공학적 문제에서 취약도 곡선이 사용되고 있다. 취약도 곡선을 이용하여 특정 조건에 대하여 구조물의 손상정도를 확률적으로 예측하고 경제성 평가와 함께 피해액을 산출 할 수 있다.
지진 취약도 곡선은 지진하중에 대하여 구조물의 취약도를 평가한 곡선으로 일반적으로 지진파의 불확실성을 고려하여 확률론적인 취약도 곡선을 작성한다. 이때의 지진파 데이터는 실제 해당 지역이나 인접지역에서 계측된 지진데이터를 기반으로 다양한 지진데이터를 이용한다. 하지만 국내의 경우 계측된 지진데이터의 수가 부족하여 이를 고려하기 어렵고 사면이나 흙제방과 같이 지반 정수가 포함된 지반 구조물의 경우 지반 정수의 불확실성이 크게 작용하므로 이를 고려하여 확률론적 해석을 할 필요가 있다. 따라서 본 연구에서는 지반 정수의 불확실성을 고려하여 수평지진계수
를 기준으로 취약도 곡선을 작성하였다.
지진 취약도 곡선 작성법은 분석 방법에 따라 다양한 방법이 있으나 MCS기반의 신뢰성 해석을 가장 널리 사용한다. MCS 기반의 신뢰성 해석은 신뢰성을 얻기 위하여 충분히 많은 해석이 필요하여 해석에 있어서 시간과 비용소모가 큰 문제의 경우 적용이 어렵지만 충분한 해석이 가능한 경우 보다 정확한 결과 값을 얻을 수 있다. 따라서 이에 대한 문제를 효과적으로 접근하기 위하여 본 연구에서는 인공신경망 기반의 응답면 기법(Response Surface Method, RSM)을 이용하여 취약도 곡선을 작성하고 그 결과를 MCS로 작성된 취약도 곡선과 비교하여 그 적용성을 검토하였다.
3.1 Monte Carlo Simulation
신뢰성해석 문제는 종종 기본 랜덤변수들로 이루어진 벡터
로 정식화 된다. 랜덤변수들에 의해 한계상태를 나타내는 한계상태함수
가 정의되며 한계상태는 설계변수의 공간에서 안전과 파괴의 경계(즉,
)를 정의한다. 이때 파괴확률은 다음과 같이 표현되는 다차원 적분식으로 정의된다.

(3)
여기서,
는 기본 랜덤변수
의 결합확률밀도함수(joint probability density function)이며, 파괴영역에 대하여 적분을 수행한다. 결합확률밀도함수는 여러 연속확률변수들의 결합분포함수를 정의하는 확률밀도함수로 결합확률밀도함수를 이용하면 적분을 활용하여 확률변수들에 대한 여러 가지 문제를 계산할 수 있다. 대부분의 실제 문제의 경우, 한계상태함수를 나타내는 기본 랜덤변수들의 결합확률밀도함수를 정의하고 물리적 거동을 나타내는 복잡한 적분영역에 대하여
차 다중적분을 수행하는 것은 거의 불가능하다.
사면안정해석에서 한계상태함수는 다음과 같이 정의할 수 있다.
(4)
여기서,
는 안전율이다.
MCS는 식 (3)을 계산하기 위하여 확률변수들의 확률분포 특성이 반영된 난수를 발생하여 표본집단을 생성한 후, 한계상태식을 계산하고 이 과정을 충분한 수만큼 반복하여 파괴확률을 추정하는 방법이다. MCS에서 샘플링은 Random 샘플링 기법이나 Latin hypercube 샘플링 기법에 의해 수행된다. Random 샘플링은 표본들이 모집단 전체의 경향을 정확하게 나타낼 수 있도록 주어진 확률분포로부터 무작위로 추출하는 방법이다. Random 샘플링 기법은 샘플링 횟수가 충분히 많을 경우에는 그 적용성이 쉽게 적용할 수 있는 장점이 있지만 해석을 실시하는데 많은 시간과 비용이 소요되는 경우에는 그 적용성이 문제가 있다.
Latin hypercube 샘플링 기법은 누적확률분포를 동등한 확률간격으로 나누고 각 간격에서 확률변수를 무작위로 추출하는 샘플링 기법이다(Xu et al., 2005). 따라서 보다 적은 수의 샘플링으로 확률분포의 넓은 영역을 망라할 수 있는 효율적인 샘플링 기법이다(Cho and Byeon, 2007). 본 연구에서는 MCS 실행 시 해석횟수를 줄이기 위하여 Latin hypercube 샘플링 기법을 적용하였다.
4. 인공신경망 이론
취약도 곡선을 작성하기 위하여 MCS 기법을 시행할 시 낮은 확률을 계산할수록 시간과 비용소모가 상당히 증가한다. 이 때 불확실성이 내재된 지반공학 분야에서 인공신경망을 이용한 근사치법은 이 문제점을 효과적으로 지원할 수 있다.
인공신경망은 생물학의 신경망에서 얻은 통계학적 학습 알고리즘으로서 최근 지반공학 여러 분야에서 이용되고 있다. 인공신경망과 MCS를 결합할 경우 보다 짧은 시간이 소요되므로 계산의 효과를 높일 수 있는 장점이 있지만 초기에 훈련 데이터에 따라 출력되는 데이터 값의 결과가 달라지기 때문에 적합한 범위의 훈련 데이터를 산출하는 것이 중요하다.
인공신경망 모델의 구조는 Fig. 1과 같이 데이터를 입력하는 입력층(input layer), 데이터로부터 산출되는 출력층(output layer), 입력층과 출력층 사이의 관계를 구성하는 은닉층(hidden layer)으로 구성되어 있다. 다양한 인공신경망 모델 중에 역전파 알고리즘(backpropagation algorithm)은 최소평균제곱 알고리즘(least mean square algorithm)의 비선형 확장으로서 미분의 연쇄법칙(chain- rule)을 여러 번 반복적으로 적용하여 확률의 근사치와 관련짓는 방법이다(Pandey et al., 1995). 작은 학습율이 사용되는 경우에 아주 안정적인 최속 강하법에 속하지만 수렴속도가 나빠지는 단점을 가지고 있다. 이러한 단점을 줄이고 성능을 높이기 위하여 모멘트 항의 추가, 가변적인 학습율의 적용이 이루어졌다(Cho and Byeon, 2007).
본 연구에서는 한계상태함수를 근사화하기 위해 역전파 알고리즘을 이용하여 인공신경망을 구축하여 응답면을 생성하였다. 평균
와 표준편차
를 갖는 랜덤변수들로 표현되는 한계상태함수를 인공신경망을 이용하여 근사화하는 경우 모델을 훈련하기 위해 데이터는 보통
영역에서 랜덤변수의 확률분포를 고려하여 랜덤하게 샘플링하거나 등분포(uniform distribution)로 가정하여 랜덤하게 샘플링한다. 본 연구에서는 평균값을 중심으로
의 영역에서 확률분포를 등분포로 가정하여 변수들을 랜덤하게 샘플링하였다. Fig. 2는 지진 취약도 곡선을 작성하기 위한 확률론적 해석의 수행과정을 나타낸다.
5. 예제해석
5.1 예제1: 2층 지반의 사면안정해석
제안된 해석기법을 적용하기 위하여 예제해석을 수행하였다. 본 예제에서는 Fig. 3과 같은 2층지반의 사면의 안정해석을 수행하였으며 해석프로그램은 상업용 사면안정해석 프로그램인 SVSlope Ver. 1.0(SoilVision, 2013)을 사용하였다. 흙의 점착력
와 내부마찰각
를 서로 독립인 확률변수로 고려하였으며 흙의 단위중량의 변동성은 다른 변수들에 비해 작아 해석결과에 큰 영향을 미치지 않으므로 결정론적으로 고려하였다. 사면안정해석은 Bishop의 간편법을 이용하였다. 사면의 임계파괴면은 지반정수의 변동에 따라 변할 수 있으므로 MCS 시행 중 파괴면을 고정하지 않고 해석을 실시하였다.
Table 2는 사용된 지반정수와 변동계수를 나타내며 입력물성은 확률론적으로 평균
와 표준편차
로 정의되는 정규분포(normal distribution)를 따른다고 가정하였으며 0보다 작은 값이 샘플링되지 않도록 절단정규분포(truncated normal distribution)를 적용하였다. 정적하중에 대하여 랜덤변수의 평균값으로 결정론적 해석을 실시한 결과 안전율은 1.464로 계산되었으며 파괴면은 Fig. 4와 같다.
확률론적 해석에 앞서 지반정수에 대하여 민감도분석을 실시하였다. 민감도 분석은 지반정수가 사면안정에 얼마나 영향을 미치는지 알 수 있는 방법으로 나머지 값은 평균값으로 고정하고 특정 지반정수를
로 변동하여 시행하였으며 분석결과는 Fig. 5와 같다. 민감도 분석결과 아래층 지반의 지반정수가 안전율에 큰 영향을 미쳤고 위층 지반의 지반정수도 작지만 안전율의 변화가 나타났으므로 정확한 해석을 위하여 두 지층 모두의 지반정수를 랜덤변수로 설정하여 확률론적 해석을 실시하였다.
Fig. 6(a)는 MCS에 대하여 안전율을 확률밀도함수로 나타낸 결과이고 정규분포의 형태로 나타났다. 이를 누적확률분포로 변환한 결과가 Fig. 6(b)이다. 이를 이용하여 한계상태에 따른 파괴확률을 계산할 수 있으며 Fig. 6(c)는 MCS의 시행횟수에 따른 파괴확률로 50,000번 해석을 시행 하였을 시 파괴확률이 수렴함을 알 수 있다.
인공신경망을 이용하여 응답면을 생성하기 위해 Matlab (MathWorks, 2014)의 Neural network toolbox를 사용하였다. 인공신경망 모델의 훈련 및 검증을 위하여 각 수평지진계수 별로 랜덤변수의
의 범위에서 등분포로 가정하여 샘플링한 값에 대하여 안전율을 구하였다. 훈련데이터 산출에 있어서 지진계수 별 같은 횟수로 랜덤변수를 산출하면 유사난수(pseudorandom number)를 발생하는 해석 프로그램의 경우 같은 강도정수 값으로 해석을 실시하는 경우가 있으므로 응답면 생성시 충분히 조밀한 데이터를 얻을 수 없는 경우가 있다. 따라서 본 연구에서는 지반 가속도 0부터 0.5까지 샘플링 횟수를 점차 증가시키며 해석을 실시하였으며 해석한 지진계수와 샘플링 횟수는 Table 3과 같다.
인공신경망 모델을 구성하기 위하여 입력층과 출력층 그리고 은닉층의 수를 결정하여야 한다. 그러나 효과적인 훈련과 정확한 예측을 위한 은닉층의 수를 결정하는 방법에 대한 결론은 존재하지 않으므로 은닉층의 수를 바꿔가면서 반복적인 시행착오를 통해 입력층, 은닉층, 출력층의 순서대로 5-5-1구조로 결정하였다. 인공신경망을 이용하여 응답면을 생성한 결과 Fig. 7(a)와 같이 훈련결과가 나타났고 확률분포 내의 임의로 해석한 50개의 안전율로 응답면을 검증한 결과 Fig. 7(b)와 같이 높은 상관계수가 나왔으며 이에 따라 적절히 응답면이 생성되었음을 알 수 있다.
MCS와 인공신경망 기반의 응답면을 이용하여 작성한 취약도 곡선을 비교해 본 결과 Fig. 8과 같다. Fig. 8(a)은 훈련데이터 생성 시 지진계수 별 샘플링 횟수를 20회로 고정하여 응답면을 생성한 결과이고 Fig. 8(b)는 Table 3과 같이 샘플링 횟수의 변화를 주어 응답면을 생성한 결과이다. MCS로 작성한 취약도 곡선과 비교하였을 때 샘플링 횟수를 변화를 주어 해석을 실시하였을 경우 더 정확한 취약도 곡선이 생성되었다. 해석 시간은 MCS를 사용한 경우 지진계수 하나에 대한 파괴확률을 계산하는데 15시간 이상이 소요되었으나(해석 컴퓨터 CPU Intel Xeon 2.40GHz, RAM 32GB 기준) 인공신경망 기반의 응답면을 이용하였을 경우 취약도 곡선 작성 시까지 30분 내외로 적은 해석시간이 소요된 것에 비하여 유사한 취약도 곡선을 얻을 수 있었다.
동일한 사면을 대상으로 변동계수의 범위가 취약도 곡선에 미치는 영향을 알아보기 위하여 Table 1에서 연구된 지반정수의 변동계수 범위에서 해석을 실시하였으며 변동계수는 평균값을 중심으로 Fig. 9(a)와 Fig. 9(b) 같이 내부마찰각과 점착력을 독립적으로 변화를 주었다. 해석 결과 내부마찰각과 점착력 둘 다 변동계수가 커질수록 취약도 곡선의 기울기가 완만해짐을 알 수 있었고 이로 인하여 변동계수가 큰 경우 취약도 곡선의 파괴확률을 기준 값과 비교하였을 때 낮은 지진계수에서는 파괴확률이 크지만 지진계수가 증가할수록 파괴확률이 기준 값보다 작아지는 결과가 나타났다.
5.2 예제2: 제방의 사면안정해석
본 예제에서는 실제 제방의 사면안정을 실시하여 그 적용성을 검토하기 위하여 Fig. 10과 같은 낙동강 유역의 ○○제의 사면에 대한 해석을 수행하였다. 지반조사에 의한 제방사면의 물성치는 Table 4와 같다. Fig. 11은 랜덤변수의 평균값으로 해석한 정적하중에 대한 결정론적 해석결과를 나타낸 것으로 파괴면은 SP층에서만 형성되었고 안전율은 1.678로 계산되었다. 민감도 분석결과는 Fig. 12와 같고 SP층이 안정해석 결과에 크게 영향을 미쳤으며 본 예제에서는 상부의 두 개층인 SP층과 SM층의 내부마찰각과 점착력을 서로 독립인 랜덤변수로 고려하였다. 지반정수는 대수정규분포로 가정하였으며 변동계수는 예제 1과 같은 값을 사용하였다. 제방 제외지측 수위에 의한 침투해석을 실시하기 위하여 한계평형법 기반의 상업용 해석프로그램인 Slide V6.0(RocScience, 2016)을 이용하였으며 제방 SP층에 사용한 함수특성곡선은 실내시험값을 이용하였고 투수계수함수는 실험한 함수특성곡선을 이용하여 van Genuchten(1980)이 제안한 식으로 추정하였다. 함수특성곡선과 투수계수함수는 Fig. 13과 같고 그 이외의 층은 포화상태로 Table 4에 나타낸 투수계수 값을 사용하였다.
본 예제의 경우 예제 1의 사면보다 결정론적 해석의 안전율이 크게 계산되므로 MCS 수행에서 파괴확률의 신뢰성 증대를 위하여 시뮬레이션 횟수를 100,000회로 증가하여 시뮬레이션을 수행하였으며 수행결과는 Fig. 14와 같다.
인공신경망에 의한 응답면 생성시 훈련데이터 산출에서 Slide의 경우 수평 및 수직 지진계수를 확률변수로 고려할 수 있다. 따라서 보다 효율적으로 해석을 실시하기 위해 지진계수를 확률변수로 포함하여 해석을 실시하였다. 수평지진계수의 평균 및 표준편차를 0.25, 수직지진계수의 경우 수평지진계수의 0.5배를 적용한 0.125값으로
범위에서 등분포로 가정하였으며 해석 시 수평지진계수와 수직지진계수가 일정한 간격으로 데이터가 생성되도록 수평지진계수와 수직지진계수와의 상관계수(Correlation Coefficient)를 1로 설정하였다. 점착력과 내부마찰각의 경우 예제 1과 같이 랜덤변수는 평균값을 중심으로
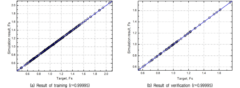
의 범위에서 등분포로 샘플링 하였으며 지진계수를 포함한 총 200개의 훈련데이터를 생성하였다. 훈련된 인공신경망 모델은 시행착오를 통해 은닉층의 수가 10개인 5-10-1 구조로 생성되었으며 Fig. 15(a)는 훈련된 학습결과를 나타내고 있다. Fig. 15(b)는 확률분포 내의 임의로 해석한 40개의 자료로 검증한 결과를 나타내고 있다. 학습 및 검증결과에 따라 응답면이 적절하게 생성되었음을 알 수 있다.
훈련된 모델을 통하여 취약도 곡선을 작성하였다. MCS로 해석한 취약도 곡선과 비교한 결과는 Fig. 16과 같다. 제안된 방법으로 작성한 취약도 곡선과 기존의 MCS로 작성한 취약도 곡선이 유사함을 알 수 있다.
제방의 제외지측 수위가 제내지측 사면의 취약도 곡선에 미치는 영향을 반영하기 위해 제방 수위별 취약도 곡선을 작성하였다. 제내지측의 제방 하부 높이가 22.32이므로 제방의 수위로 인한 침투효과가 제방사면에 영향을 미치는 수위인 23m부터 제방고인 27.41m까지 2m 간격으로 수위 변화를 주어 해석을 실시하였다. 해석결과 취약도 곡선은 Fig. 17과 같으며 제방의 계획홍수위(25.4m) 이상의 수위인 27m에서 파괴확률이 급격히 증가하였으며 따라서 지진 취약도 곡선에 있어서 제방의 수위 증가에 의하여 제내지측의 사면 파괴에 상당한 영향이 있음을 알 수 있다.
6. 결 론
본 연구에서는 사용성이 넓은 유사정적해석을 기반으로 지반정수의 불확실성을 고려한 사면의 확률론적 지진 취약도 곡선의 작성 절차를 제시하였다. 지반정수의 변동성을 고려하기 위하여 Monte Carlo Simulation을 수행 하였으며 Monte Carlo Simulation의 샘플링은 계산 효율을 높이기 위하여 Latin hypercube 샘플링 기법을 사용하였다. 또한 취약도 곡선 작성에 있어서 효율성을 극대화하기 위하여 인공신경망을 이용한 응답면을 생성하여 사용하였다.
인공신경망 기법의 적용성을 검토하기 위하여 MCS로 작성한 취약도 곡선과 비교하였고 지반정수의 불확실성이 취약도 곡선에 어떠한 영향을 미치는지 알아보기 위하여 변동계수를 변화시켜 취약도 곡선을 비교하였다. 적용 모델을 확대하여 제방의 수위가 포함된 제방사면에서 작성한 취약도 곡선과 인공신경망을 이용한 취약도 곡선을 비교하여 적용성을 평가한 결과 다음과 같은 결과를 얻을 수 있었다.
(1)인공신경망기반의 응답면 기법을 사용하여 취약도 곡선을 작성한 결과를 MCS와 비교하였을 때 상당한 시간이 단축되었고 이에 비하여 유사한 결과를 얻을 수 있으므로 보다 효과적으로 취약도 곡선을 작성할 수 있다.
(2)인공신경망 훈련데이터 생성 시 해석프로그램에 따라 지진계수를 확률변수로 고려할 수 없는 경우 지진계수 별 해석횟수의 변화를 주어 인공신경망의 훈련데이터를 생성하면 보다 정확한 취약도 곡선을 얻을 수 있고 확률변수로 고려할 수 있는 경우에는 지진계수를 확률변수로 고려하여 훈련데이터를 생성하면 보다 효율적으로 취약도 곡선을 얻을 수 있다.
(3)제방사면에서 수위에 따른 취약도 곡선의 경우 제방의 수위가 계획홍수위 이상일 때 파괴확률이 상당히 커지는 결과가 나타났고 따라서 제방의 취약도 곡선 작성에 있어 제외부측 수위도 고려해야 하며 지진계수가 증가할수록 큰 폭으로 파괴확률이 증가하였다.










=0.06)









=0.06)


