1. 서 론
2. LPI산정
2.1 진동저항응력비(CRR)
2.2 진동전단응력비(CSR)
3. 응력 기반 간극수압 모델
4. 액상화 평가
4.1 대상 구간 지반정보
4.2 동적곡선 결정
4.3 입력지진파 결정
5. 해석결과 분석
5.1 대상 구간의 유효응력 해석
5.2 LPI 산정
6. 결 론
1. 서 론
2017년 11월 15일 포항지진(ML = 5.4)으로 인해 포항지역에서 국내 기상 관측 이래 최초의 액상화 현상이 관측되었다(Fig. 1). 그 후 포항지역 액상화에 대한 연구가 활발히 진행되고 있다. Baek et al.(2018)은 포항지역 액상화 위험지도를 Iwasaki et al.(1978)가 제안한 LPI (Liquefaction Potential Index)기법을 사용하여 제안하였다. LPI는 진동전단응력비(Cyclic Stress Ratio, CSR)와 진동저항응력비(Cyclic Resistance Ratio, CRR)의 비로 결정되는 각 심도별 안전율의 합을 기반으로 평가되며, 계산된 LPI 범위에 따라 대상 지반의 액상화 피해정도가 예측된다. Baek et al.(2018)의 위험지도를 바탕으로 실제 액상화 사례와 비교한 결과는 Fig. 2에 도시하였으며, 액상화에 ‘매우 위험’으로 판정된 지역에서 피해들이 또한 확인되었다. 여기서 ‘매우 위험(LPI > 15)’ 등급은 액상화로 인한 심각한 피해가 발생할 수 있음을 의미한다. 하지만 Fig. 2에 제시된 위치에서 조사된 액상화 피해는 경미한 수준으로 확인되었다. 따라서 LPI의 계산법과 액상화의 LPI의 산정은 CSR과 CRR의 비로 계산되는 안전율(CRR/CSR)에 기반을 두고 있다. CSR의 경우 지반분류에 따른 증폭계수를 적용하여 지표면에서의 최대지반가속도를 구한 후 Seed and Idriss(1971)이 제안한 Simplified Method를 이용하거나 지반응답해석 결과를 바탕으로 산정한다. CRR의 경우 주로 콘관입시헙(Cone Penetration Test, CPT), 표준관입시험(Standard Penetration Test, SPT) 결과 혹은 전단파속도(Shear-wave Velocity, Vs)와의 연관식을 통해 산정하며, 일부 자갈지역의 경우 BPT(Becker Penetration Test) 결과를 이용하기도 한다. 국내의 경우 구축된 자료양이 많은 SPT의 결과를 주로 활용하고 있다.
Iwasaki et al.(1978)는 기존지진사례로부터 액상화와 비액상화 지역을 분류하고 대상구간별 SPT의 N값을 이용하여 진동저항응력을 산정한 후 LPI를 계산하였다. 이를 바탕으로 LPI와 피해 규모의 경험적 상관성을 최초로 제시하였다. Toprak and Holzer(2003)는 USGS(U.S. Geological Survey)에서 수행된 CPT DB를 바탕으로 LPI를 산정하고 피해유형의 상관성을 분석하였다. Lee et al.(2004)은 Chi-Chi 지진으로 발생한 대만지역의 액상화 사례와 CPT 자료를 기반으로 CRR를 산정한 후 LPI를 계산하였으며 이때 얻어진 결과를 바탕으로 피해 규모를 제시 하였다. Papathanassiou(2008)도 과거 피해사례와 수집된 자료를 통해 계산된 LPI에 대한 새로운 피해강도 기준의 등급범위를 제안하였는데, 이때 CRR는 SPT 결과를 사용하였다. 위 연구자들이 제안한 액상화로 인한 피해정도는 피해사례를 기준으로 제시된 범위인 점에서 동일하지만, 적용된 CRR 계산방법 및 제안된 피해정도 범위가 다르다. 이와 같이 액상화 위험도 작성시 피해정도 기준의 설정은 여전히 어려운 문제이다(Maurer et al., 2014). 따라서 국내 액상화 위험도를 작성할 때에도 액상화 위험 지수 계산방법 및 액상화에 따른 피해정도 가이드라인이 필요한 실정이다.
본 연구에서는 액상화 의심 구간에 수행된 SPT 지반조사 결과를 바탕으로 해당지역의 다양한 액상화 평가를 수행하였다. CSR 산정시 유효응력 지반응답해석을 수행하였으며, Iwasaki et al.(1978)가 제안한 액상화로 인한 피해정도와 실제 피해수준을 비교하였다. 또한 LPI와 유효응력 지반응답해석의 간극수압비, 지진정보 등의 상관성을 분석하였다.
2. LPI산정
Iwasaki et al.(1978)가 제안한 LPI는 식 (1)과 같이 계산된다:
(1)
여기서 z는 깊이, w(z)는 액상화 발생 깊이를 고려하기 위한 가중치함수 [w(z) = 10 - 0.5z], 그리고 F(z)는 각 깊이에서의 액상화에 대한 안전율(Fs = CRR/CSR)의 함수이다. 기준 안전율이 1보다 작은 경우에는 F(z) = 1 – Fs로 정의되며 안전율이 1보다 클 경우에는 0으로 정의된다.
2.1 진동저항응력비(CRR)
다양한 연구자들이 진동저항응력비(CRR)의 산정법을 제안하였지만 본 연구에서는 SPT를 기준으로 제안된 Idriss and Boulanger(2010)의 모델을 이용하였다:
(2)
(3)
(4)
(5)
여기서 (N1)60CS는 등가 순수 사질토의 N치, (N1)60는 응력 및 관입 에너지 보정 N치, Δ(N1)60는 세립분 함유량에 따른 증가분이다. NM은 현장에서의 측정 N치, CN은 상재하중에 대한 보정, CE는 해머효율에 대한 보정, CB는 굴착공 직경에 대한 보정, CR은 롯드길이에 대한 보정, CS는 샘플러에 대한 보정이다. 이를 통해 계산되는 진동저항응력비는 M = 7.5일때의 값으로 규모에 따른 보정이 필요하다. 규모보정계수(Magnitude Scaling Factor, MSF)산정은 Idriss(1999)가 제안한 식을 사용하였으며 이는 아래와 같다:
(6)
여기서 M은 모멘트 규모이고 계산된 MSF가 1.8보다 크면 일률적으로 1.8을 적용한다. 본 연구에서는 실제 발생했던 지진을 기준으로 액상화 구간을 검토하였기에 포항지진 지역규모(ML) 5.4에 상응하는 MSF 값을 적용하였다.
2.2 진동전단응력비(CSR)
진동전단응력비(CSR)는 지반분류에 따라 계산된 지표면의 가속도에 감쇠계수를 적용하거나, 지반응답해석을 수행하여 심도별 전단응력 혹은 가속도를 산정한다. 지반분류를 기준으로 CSR을 계산한 할 경우 Seed and Idriss (1971)가 제시한Simplified Method를 적용하였으며 이는 식 (7)과 같다.
(7)
여기서 σv는 연직전응력, σv’는 연직유효응력, rd는 감쇠계수이다. amax는 지표면의 최대지반가속도이다. 감쇠계수 rd는 Golesorkhi(1989)이 제안한 경험식을 통해 계산할 수 있다.
(8)
여기서, z는 심도, M은 모멘트 규모이다. 본 연구에서 지반분류와 증폭계수는 행정안전부(MOIS, 2017)에서 제정한 기준을 적용하였으며 이는 Table 1에 정리하였다.
Table 1. Site classification (MOIS, 2017)
지반응답해석을 수행할 경우 응답해석으로 수행된 최대전단응력(τmax)을 통해 CSR을 산정하였으며 식은 아래와 같다:
(9)
심도별 최대전단응력은 주파수 영역의 등가선형 혹은 시간영역의 비선형 지반응답해석을 통해 산정할 수 있다. 이때 수행되는 해석은 전응력해석으로 지진동에 따른 간극수압의 변화는 확인할 수 없다. 본 연구에서 추가적으로 수행된 유효응력해석은 3장에 자세히 기술하였다.
3. 응력 기반 간극수압 모델
흙 속의 정수압은 유효응력에 큰 변화를 유발하지 않지만 비배수 상태에서의 반복하중이 작용하면 간극수압이 증가하고 이로 인해 흙의 유효응력은 감소한다. 반복하중 재하 시 흙의 간극수압은 분석방법에 따라 다양한 모델들이 개발되어 있으며, 등가반복횟수(Seed et al., 1975), 누적 전단변형율 / 전단응력(Dobry et al., 1985; Ivsic, 2006), 그리고 누적에너지(Green and Mitchell, 2004) 등의 모델들이 대표적으로 사용된다.
Park and Ahn(2013)은 시간영역에서 간극수압의 상승을 예측하기 위해 Ivsic(2006)이 제안한 Damage parameter (D)의 개념을 적용한 응력 기반모델을 개발하였다. Park and Ahn(2013)의 모델은 실내실험이나 문헌을 통해 얻은 CSR – N곡선을 기반으로 입력변수 α, β, Dru=1.0, CSRt 를 비교적 쉽게 얻을 수 있고 이를 이용할 경우 지반의 간극수압의 상승을 잘 예측할 수 있는 것으로 보고된 바 있다(Park et al., 2015). 또한 Park and Ahn(2013)모델은 각 시간단계별 수압증가의 모사가 가능하기에 시간영역 동적 해석 프로그램에서 사용 할 수 있으며, 이는 1차원 지반응답해석인 Deepsoil v.6(Hashash et al., 2015)에 탑재 되어있다. 제시된 간극수압모델은 Park and Ahn(2013)에 상세히 묘사되어 있다.
4. 액상화 평가
4.1 대상 구간 지반정보
포항지진 이후 2017년 11월에 기상청과 국립재난연구원에서는 액상화 의심사례 발생지역에 표준관입시험과 Suspension PS logging 혹은 downhole tests를 수행하였다. 본 연구에서는 토출물이 발견된 망천리(MCL) 및 송도동(SDD) 2곳을 선정하여 유효응력 지반응답해석을 수행하고 LPI를 계산하였다. 망천리(MCL)의 시추공 위치는 지표 토출물이 발견된 곳으로부터 10m 이격된 거리이며, 기반암인 풍화암대는 심도 17.7~20.0m에 분포한다. 송도동(SDD)은 송림그린공원으로 지표 토출물 발견 장소 인근에서 시추하였으며, 시추조사가 수행된 지표 하부 25m까지 퇴적층이 나타났다. 대상구간의 지하수위는 지표하부 0.5~0.6m 지점에 존재한다. 시추조사 결과 및 전단파속도 주상도는 Table 2와 Fig. 3에 도시하였다.
Table 2. Layer properties
4.2 동적곡선 결정
본 연구에서는 심도별 수압의 변화를 확인하기 위하여 1차원 지반응답해석 프로그램인 Deepsoil v6.0(Hashash et al., 2015)을 사용하였다. 이때 점토와 사질토의 동적곡선은 PI 지수와 깊이별 구속압 조건을 고려 할 수 있는 Darendeli(2001) 곡선을 사용하였고 자갈층과 풍화토는 흙 알갱이의 입도를 고려할 수 있는 Menq(2003) 곡선을 적용하였다. 흙의 유효응력 모사는 Park and Ahn (2013)의 모델을 사용하였다. 이때 시추조사가 수행된 곳에 진동삼축실험과 같은 실내시험이 수행하지 않았기에 지반 분류와 상대밀도를 고려하여 CSR-N곡선을 결정하였다. 본 연구에서 사용된 CSR-N곡선은 Park et al.(2011)의 국내 시료와 Boulanger and Idriss(2006)문헌에 제시된 Romero(1998)의 실트, Azzouz et al.(1989)와Andersen et al.(1988)의 점토 재료실험 결과를 활용하였으며 이는 Fig. 4에 도시하였다. 최종적으로 해석시 사용된 입력변수는 Table 3에 정리하였다.
Table 3. Parameters of the excess pore water pressure for G/P&A model
4.3 입력지진파 결정
포항지진으로 유발된 대상구간의 액상화를 수치적으로 모사하기 위해서는 계측기록이 필요하다. 진원과 가장 가까운 관측소는 PHA2이나 대상구간과 PHA2관측소가 서로 상이한 지질 구조에 위치하기에 PHA2를 기반암 운동으로 사용하기에는 다소 문제가 있다(Ahn et al., 2018). 또한 대상 구간의 기반암 위치와 이곳에 도달한 지진파의 크기도 정확하게 파악하기 어렵다. 따라서, 이와 같은 문제점을 보완하기 위하여 대상구간의 지진 환경(진원과의 이격거리, 규모, 지반 특성 등)을 고려한 강진기록을 PEER web site를 통해 수집하였다. 이때 설정된 목표 지진 환경은 포항지진으로 발생된 액상화 구간의 환경과 유사하게 설명하였으며, 이때 깊이는 4km, 규모는 5.4, 기반암 평균 전단파속도는 VS30=500m/s, 이격거리(Rrup)은 10~20km으로 설정하였다. 수집된 강진기록 13개와 PHA2에 기록된 포항지진(ML=5.4, 2017.11.15)을 해석에 적용하였으며, 적용된 지진파는 Table 4에 정리하였고 지진파의 응답스펙트럼은 Fig. 5에 도시하였다.
Table 4. Information of input motions
5. 해석결과 분석
5.1 대상 구간의 유효응력 해석
본 연구에서는 우선 간극수압의 증가를 모사하기 위해 유효응력해석을 수행하였으며 이를 통해 계산된 깊이별 결과는 Fig. 6에 도시하였다. 간극수압비(P.W.P ratio)가 1인 경우 액상화가 발생하였다 볼 수 있으며, 사용된 14개의 입력 지진파 중 2개의 지진파(No. 2, No. 3)에서 MCL과 SDD 모두 간극수압비가 1로 계산되었다. 수치모의상 액상화는 매우 얕은 심도에서 발생한 것으로 나타났으며 이는 MOIS(2018 Feb 7)의 GPR 탐사로 파악된 액상화 발생 구간의 결과와 유사하다. No. 2와 No. 3 지진파의 경우 Arias 계수는 0.7m/sec이고, PGA는 0.25g 이상이다. 이와 같이 액상화를 발생시킨 두 지진의 PGA는 0.25g 이상으로 액상화와 PGA가 밀접한 관계가 있는 것으로 보여 진다. 하지만 No. 12와 No. 14 지진파도 PGA가 0.25g이상임에도 불구하고 간극수압은 1이하로 계산되었다. No. 12와 No. 14지진파를 액상화가 모사된 지진(No. 2, No. 3)과 비교한 결과, Arias 계수에 차이를 보인 것으로 나타났다.
Fig. 7에는 PGA가 같고 Arias 계수가 다른 No. 2와 No. 14지진파로 수행된 MCL구간의 부지응답 유효응력해석 결과를 시간에 따른 가속도 이력, S-Transform(ref)를 이용한 시간대별 주파수 특성, 등가하중 반복횟 수(equivalent number of uniform stress cyclic, N)를 도시하였다. 이때 등가하중 반복횟수(N)은 Liu et al.(2001)가 제시한 액상화 평가 시 사용할 수 있는 모델을 이용했으며 지진과 같은 불규칙한 반복 응력운동을 정현하중의 등가 수로 나타낸 것이다.
MCL의 응답해석 결과, No. 2 지진파를 적용할 경우 심도 6m부터(Fig. 7b, e) 5초 이후 단주기 성분의 진동이 증가하다 지표면에서 크게 감소하는 것으로 나타난 반면 No. 14의 응답해석결과는 지표면에서 단주기성분의 진동이 지표면에서도 유지되는 것을 확인할 수 있다. 이에 대한 원인을 분석하기 위해 시간에 따른 간극수압비의 변화를 Fig. 9에 도시하였다. No. 2와 No. 14지진파를 적용한 결과, 심도 4m부터 간극수압비는 2초 이후부터 증가하는 것으로 나타났다. 이때 No. 2 지표면의 경우 간극수압비가 1이 된 시점부터 진동이 급격히 감소함을 확인할 수 있다(Fig. 8a). 하지만 No. 14의 지진파가 적용된 해석결과에서는 이와 같은 현상은 발견되지 않았으며, 주요 진동이후에 단주기 진동의 증폭이 간극수압 증가에 추가적인 영향을 미치지 않는 것으로 나타났다.
유효응력 지반응답해석결과, Arias 계수가 큰 지진은 포항지역의 얕은 심도에서 액상화를 유발시킬 수 있는 것으로 확인되었고, 이는 MOIS(2018)의 보고와 일치한다. 포항지진으로 PHA2 관측소에 계측된 기록(No. 14)으로는 액상화 현상의 수치적 모사가 되지 않은 반면 동일한 PGA이지만 Arias 계수가 더 큰 Coalinga지진(No. 2)에서는 액상화가 발생하는 것으로 나타났다. 따라서, 본 검토 구간에 전달된 기반암 운동은 최대가속도 및/혹은 진동 주기, Arias 계수, 등가하중 반복수 등이 PHA2 계측기록보다 컸을 것으로 추정된다.
5.2 LPI 산정
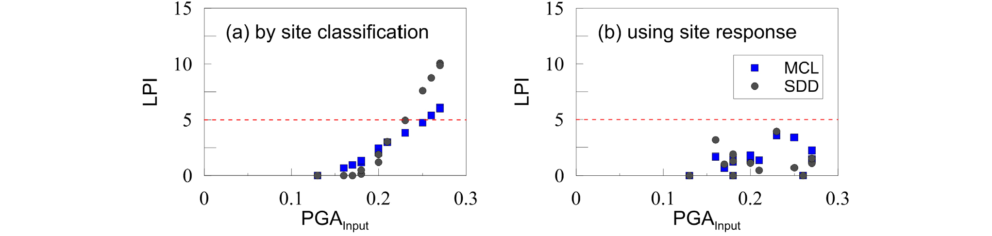
LPI산정은 두가지 방법(지반분류 기준, 응답해석 적용)을 통해 도출하였다. 우선 지반분류가 적용된 방법은 앞서 선정된 14개의 지진파의 PGA값을 기반암 가속도로 가정하고 2.2절에서 설명된 바와 같이 지반분류별 증폭계수를 기반암가속도에 적용시켜 지표면의 가속도를 구하고 감쇠계수를 적용하여 깊이별 진동전단응력비를 산정하였다. 이때 증폭계수는 MOIS(2017)에서 제정한 기준을 준용하였다. 응답해석은 각 지진파의 1차원 지반응답해석을 통해 산정된 깊이별 가속도를 적용하여 진동전단응력비를 계산하였다. Table 5는 각 방법별 LPI와 앞서 산정된 유효응력해석으로 계산된 상부지층의 간극수압비를 정리하였다. 두가지 방법의 비교 결과, 지반분류에 따라 계산된 LPI는 응답해석을 이용할 경우보다 대부분 크게 산정되었는데 이는 액상화 가능 구간에서 CSR이 단순히 증폭계수와 감쇠계수만을 이용하여 계산될 경우 응답해석을 통해 산정된 값보다 크기 때문이다(Fig. 9).
Table 5. Results of response analyses
Fig. 10은 분석 방법별 LPI 계산 결과를 입력지진파의 PGA와 유효응력 해석결과의 간극수압비로 비교하였다. 포항지역의 경우 MOIS(2018)에서 피해가 경미한 수준으로 보고되었는데 이는 Iwasaki et al.(1978)가 제시한 LPI 기준에서 ‘경미한 수준(0 < LPI ≤ 5)’에 해당한다. 입력지진파의 PGA가 0.25g 이상에서 지반분류에 따른 LPI는 5이상으로 계산된 반면 응답해석 이용시 입력지진의 크기와 상관없이 모두 5이하로 계산되었다. 따라서 실제 발생했던 피해규모로 견주어 볼 때 응답해석을 이용한 평가가 지반분류에 따른 평가보다 신뢰할 수 있는 것으로 확인되었다.
Fig. 11과 Fig. 12는 등가 반복 수(N)과 Arias 계수(I)에 대하여 응답해석으로 계산된 LPI와 유효응력으로 계산된 간극수압비의 상관성을 각각 도시하였다. 간극수압비는 N혹은 I가 커질수록 비례증가관계를 확인할 수 있는 반면, LPI는 N 혹은 I와 뚜렷한 상관성을 보이지 않는다. 이는 실제 간극수압의 증가가 불규칙적으로 반복되는 진동의 크기와 횟수에 밀접한관계가 있으나 LPI 계산 시에는 이를 고려하지 못하기 때문이다.
6. 결 론
본 연구에서는 액상화 발생구간의 지반정보와 참고문헌으로 얻어진 지반의 동적특성을 반영하여 대상구간의 유효응력해석을 수행하였으며 이때 다양한 지진 시나리오를 적용하였다. 추가적으로 LPI를 계산하고 이를 유효응력 해설결과와 비교하였다. 본 연구를 통해 얻어진 결과는 다음과 같다.
(1) 포항지역 대상구간의 지반정보를 활용하여 유효응력해석을 수행한 결과, 입력지진의 최대 가속도가 크고 Arias계수가 높을 때 상부지층에서 액상화 현상이 발생할 것으로 나타났다. 실제 MOIS에서 수행된 GPR탐사결과에 따르면 상부지층에서 액상화 피해가 발생하였고, 이는 No. 2와 No. 3의 지진파를 적용한 유효응력해석 결과와 같다. 따라서 유효응력해석을 통해 액상화 현상 예측이 가능할 것으로 나타났다.
(2) 포항의 일부지역에서 액상화 현상이 발생하였으며 피해수준은 경미한 것으로 보고되었다. Iwasaki가 제시한 액상화로 인한 피해정도를 고려할 경우, 포항지역은 LPI는 5이하로 계산되어야 하는데 지반분류를 기준으로한 평가법은 이보다 큰 값이 계산될 수 있는 것으로 나타났다. 반면, 응답해석 적용시 LPI는 입력지진의 크기에 상관없이 5이하로 계산되어 실제 피해정도와 상응하는 결과가 도출되었다.
(3) 지반분류에 따른 증폭계수와 깊이감쇠계수를 이용하여 LPI를 산정할 경우 응답해석을 이용할 경우보다 LPI를 과대예측할 수 있는 것으로 나타났다. 따라서, LPI를 통한 대상구간의 액상화로 인한 피해정도를 결정할 경우 분석방법에 따른 기준이 필요할 것으로 판단된다. 또한, 기존 LPI 산정 시 가속도 혹은 전단응력 크기의 최댓값만이 기준이 되기에 액상화 평가에 한계가 있다. 따라서 불규칙적으로 반복되는 진동의 특성을 고려한 수 있는 LPI 산정 방법 개발이 필요할 것으로 사료된다.
(4) 본 연구는 대상구간에 수집된 정보를 바탕으로 설정된 기반암 운동 생성의 한계점을 내포하고 있어, 포항지진으로 유발된 액상화 현상의 규명에 제한적인 결과를 도출하였다. 따라서, 포항지역의 액상화 현상을 면밀하게 규명하기 위해서는 추가적인 지반조사 및 정보가 필요할 것으로 사료된다.














