1. 서 론
2. PHC말뚝-흙 접촉면
2.1 PHC말뚝과 접촉면
2.2 교란상태개념(Disturbed State Concept, DSC)과 접촉면
3. PHC말뚝-흙 접촉면 동적 전단시험
3.1 동적 전단시험 조건
3.2 시험 결과
4. 결 론
1. 서 론
말뚝(pile)은 연약한 지반에 설치된 구조물을 지지하기 위하여 지중에 관입시키는 매개체로서 제작하는 재료에 따라 강관말뚝, PHC말뚝, 현장타설말뚝 등으로 구분할 수 있다. 이 중 PHC말뚝은 설계기준강도 80MPa 이상의 고강도 콘크리트를 사용하여 제작하므로 압축력과 휨모멘트에 대한 저항성이 우수하고 강관 대비 경제성에서 유리하며 공장에서 생산되므로 소요품질의 확보 및 관리가 용이한 장점이 있다. 또한, 제작 시 재료의 대부분을 국내에서 조달할 수 있어 수입대체 효과가 있으며 제작 공정이 다양하고 인력 투입이 많아 고용효과 증진 및 레미콘, 강봉제작 등 타 산업으로의 파급효과가 유발되는 등 국가경쟁력 차원에서 장점이 크다. PHC말뚝의 콘크리트 조직은 오토클레이브 양생에 따라 골재와 시멘트 페이스트와의 결합이 극히 강하게 형성되므로 설계 지지력이 크고 항타 내구성 및 휨내력이 크다(Park et al., 2008). 또한 조직이 매우 치밀하고 불투수층에 가까워 염해 저항성, 내화학성, 동결융해 저항성, 탄산화 저항성 등이 우수한 재료적 특징이 있다(Park et al., 2015).
이와 같은 PHC말뚝의 장점으로 인하여 국내 토목공사 및 건축공사에서 PHC말뚝을 가장 많이 사용하고 있다(Yoo et al., 2002; Park et al., 2008; Shin and Lim, 2018). 말뚝기초는 연직압축하중을 지지하는 구조에 따라 구분할 수 있고, 주면마찰력 성분 또는 선단지지력 성분 중 어느 한쪽이 지배적으로 발현될 경우에는 마찰지지말뚝 또는 선단지지말뚝으로 구분하며(Kim et al., 2013). 이들 성분이 각각 상당한 정도로 발현되어 연직압축하중을 지지하는 경우에는 혼합(마찰+선단)지지말뚝으로 구분할 수 있다. 대부분의 말뚝기초에서 연직압축하중의 대부분은 주면마찰력에 의해 지지되며 사용하중 범위에서는 이러한 경향은 더욱 우세하게 나타난다(Tomlinson, 1994). 따라서 말뚝기초의 지지구조 상 주면마찰력이 연직압축하중의 대부분을 부담하게 된다(Choi et al., 2019).
그러나 PHC말뚝의 설계 시 지지력에 영향을 미치는 주면마찰력은 단순히 간편식 또는 N값 등을 이용한 추정치에 의한 설계가 대부분 이루어지고 있으며 지반 또는 말뚝의 재료 조건별로 제한적인 연구가 진행된 바 있다. Kim et al.(1995)은 연약지반에 시공된 단독말뚝에 발생하는 주면마찰력을 하중전달함수에 의하여 산정하는 해석적 방법을 제안하고 압밀도 증가에 따라 주면마찰력이 비례하여 커짐을 실측값과 비교하여 확인하였다. 또한 암반에 근입된 현장타설말뚝의 단위주면마찰력을 원지반 상태 및 구속압을 고려하여 산정할 수 있는 방법도 제안되었다(Sagong and Paik, 2004). Lee and Kim(2008)은 대심도 연약지반에 근입된 PHC말뚝의 하중전이특성에 대한 실험적 연구를 통하여 점성토의 단위주면마찰력 산정 시 철도설계기준이 실측치와 가장 유사한 결과를 나타냄을 확인하였다. Choi et al.(2005)은 오토클레이브 양생 시 콘크리트 표면 거칠기를 관찰하였는데 기건양생조건 대비 오토클레이브 양생 시 표면 거칠기가 증가함을 실험적으로 확인하였다. 단, 재료 표면의 거칠기는 접촉면 전단거동특성에 영향을 미치는 요소이나 증가한 거칠기 값이 약 0.5μm로 미소하여 접촉면의 전체적인 거동특성에 미치는 영향이 제한적일 것으로 판단된다. Jeong and Lee(2003)는 연약지반에 시공된 하향력을 받는 말뚝에 대하여 말뚝-지반 접촉면의 슬립(slip)의 유무에 따라 하향력의 발생 크기를 수치해석적으로 검토하였다. 수치해석 결과 슬립이 없을 경우 하향력이 슬립이 있는 경우에 비해 과대하게 산정되었으며 말뚝두부 하중의 증가에 따라 하향력이 감소하는 것을 확인하였다. Rojas et al.(1999)은 연약지반에 근입된 단말뚝의 흙-말뚝 접촉면 모델을 스프링, 대시폿 및 슬라이딩 요소를 이용하여 제안하였다. 모델의 입력변수는 삼축 크립시험과 직접전단시험을 통하여 획득하며 제안된 모델을 이용하여 말뚝의 하중-변형 거동과 말뚝 본체의 전단응력 분포를 구할 수 있으나 적용할 수 있는 지반 조건이 제한적이고 입력변수 산정을 위한 복잡한 시험이 요구된다는 한계점을 가진다. You et al.(2019)는 지반의 상대밀도와 세립분 함유율에 따른 말뚝의 인발거동 특성을 유한요소해석을 통하여 고찰하였다. 말뚝과 지반의 접촉면에서의 전단거동 모사를 위하여 경계요소와 경계면 강도감소계수를 도입하였고 수치해석 결과와 기존의 실험적 연구결과와 비교하였다. 그 결과 수치해석과 실험적 연구결과가 잘 일치함을 확인하였으나, 특정 수치해석 프로그램에서 적용되는 경계요소를 사용한 경우에 해당하는 결과이며 구속압 등 다양한 조건에 대한 검증은 부족하다는 제한사항이 있다.
이와 같이 PHC말뚝에 대한 현재까지의 연구는 주로 선단지지력의 산정 방법이나 허용지지력의 개선 방법에 초점을 두고 관련 연구가 진행되었고, PHC말뚝의 동적거동과 관련해서는 주로 말뚝과 지반의 동적 거동특성에 관한 연구가 수행되었다. 국내에서는 유민택 등(2017)이 궤도지지말뚝의 지진시 거동 특성을 3차원 수치해석에 의해 파악하였고, 해외에서는 PHC말뚝-지반의 동적 상호작용에 관한 유사정적 진동시험을 통한 연구(Huang et al., 2018), 반복하중 재하 시 PHC말뚝-지반 상호작용에 의한 말뚝 수평변위 계산(Luo et al., 2019) 등 지진시 PHC말뚝 자체의 거동에 대한 연구가 주로 진행되었다. Tran et al.(2021)은 모래층에서 지진하중을 받는 말뚝의 흙-말뚝 접촉면 강도 파라메터를 3차원 수치해석을 이용하여 산정하였다. 접촉면 강도 파라메터는 말뚝의 지지층 근입장 증가에 비례하여 증가하였고 말뚝 직경의 4배 이상 근입 시 최대치를 나타냄을 확인하였다. 반면에 PHC말뚝-지반 접촉면의 동적 거동특성에 대한 연구는 제한적이며, 특히 지반의 pH값 등 환경적 조건을 고려한 동적 전단거동의 특성을 파악하고자 하는 연구 역시 제한적인 실정이다. 최근 Gonzalez et al.(2020)은 PHC말뚝-지반 접촉면의 동적 거동을 모사하기 위하여 경계요소법과 유한요소법을 결합한 등가선형모델을 제안하였다. 말뚝은 유한요소법에 의하여 모델링하고 주변 지반은 경계요소법에 의하여 모델링하며 그 접촉면을 스프링과 대시폿을 이용하여 모사한다. 그러나 동적하중에 의한 말뚝 접촉면의 강도저하를 모사하는 단계에는 이르지 못하였으며 수치해석 모델에 의존하므로 시험 결과에 의한 충분한 검증이 필요하다는 한계점을 가진다.
2. PHC말뚝-흙 접촉면
2.1 PHC말뚝과 접촉면
PHC말뚝은 콘크리트로 제작되어 강관말뚝 대비 상대적으로 표면이 거친 특성을 가지므로 PHC말뚝-지반 접촉면에서의 거동이 복잡하며 말뚝 지지력에 좀 더 큰 영향을 미친다. 그러나 현재 PHC말뚝 설계 시 주면마찰력은 SPT N값, 점착력 등에 의해 경험적, 획일적 방법으로만 추정하여 적용하고 있다. 따라서 PHC말뚝의 주면마찰력에 대한 정확한 분석이나 해석기법이 없으며, 대부분 선단지지력에 의존하는 말뚝기초가 설계되고 있다. Fig. 1은 PHC말뚝의 외형 및 내부구조를 보여주고 있다.
말뚝의 주면마찰력은 말뚝의 길이가 길어질수록 지지력에 더 큰 영향을 미치며, 마찰말뚝의 경우 지지력을 전담하게 되므로 말뚝의 전체 지지력에서 차지하는 중요도가 높다. 주면마찰력은 주위 지반과 직접 접촉하고 있는 말뚝의 주면부에서 지반과의 접촉면(interface)을 형성하므로 주면마찰력의 발현에는 PHC말뚝-지반 접촉면의 전단저항이 중요한 영향 요소이다.
주면마찰력 산정과 관련하여 현재 지반의 pH농도 등 환경적 요인은 고려하지 않고 있다. PHC말뚝이 시공되는 지점의 지형학적 특징에 따라 pH 농도가 변하게 되는데, 예를 들어 바닷가에서는 지하수 및 토양이 염기성을 띠고, 광산 근처에서는 강한 산성을 띨 수 있다. 기존연구(Kwak et al., 2017)에 따르면 접촉면에서의 동적 전단 거동특성은 환경적 요인(pH조건, 토질)에 많은 영향을 받으며 응력-변형률 특성 역시 달라짐을 확인할 수 있다. 본 연구에서 규명하고자 하는 접촉면의 동적 전단거동은 지진과 같은 동적하중이 반복 재하될 경우 PHC말뚝-지반 접촉면에서의 거동이며 특히, 점성토 지반에 관입된 PHC말뚝을 대상으로 한다. 사질토 지반의 환경적 요소(pH농도)를 고려한 접촉면 동적 전단특성은 제한적으로나마 규명된 바 있으나(Kwak et al., 2017) 점성토와 PHC말뚝이 형성하는 접촉면의 동적 전단거동에 대하여 환경적 요소를 고려하여 규명한 사례가 전무하므로 이를 본 연구에서 수행하고자 하고, 접촉면의 거동특성이 복잡하므로 실내시험을 수행하여 규명하는 것이 합리적이다.
그러므로 본 연구를 통하여 지반환경적 요소를 고려하여 PHC말뚝-지반(점성토) 접촉면의 동적 거동 특성을 적절하게 모사할 수 있는 모델을 도입하고, 실내시험을 활용하여 이를 검증하며 추후 동적하중을 받는 PHC말뚝의 접촉면 전단특성을 편리하고 신속하게 판단할 수 있는 합리적인 평가인자의 도출이 필요하다.
2.2 교란상태개념(Disturbed State Concept, DSC)과 접촉면
접촉면은 이질 재료 사이에 형성되므로 그 거동이 매우 복잡하며 지반 역시 불균질, 비등방 재료로서 동적 전단하중 재하 시 비탄성적이고 비선형적인 동적 응답거동을 보인다. 따라서 접촉면 전단거동을 일반적인 이론으로 파악하기에는 한계가 있고 이를 모사하기 위해서는 적절한 모델(구성방정식)을 선택, 활용하여 실내시험을 통하여 그 거동을 파악하는 것이 보다 효과적이다. 본 연구에서는 접촉면의 동적 전단거동에 대한 기존 연구(Kwak et al., 2017)에서 활용된 바 있는 교란상태개념(Disturbed State Concept, DSC)을 도입하여 동적하중 재하에 따른 접촉면의 열화(degradation) 특성을 분석하였다.
교란상태개념은 정규압밀상태와 대비하여 과압밀점토의 연화거동을 분석하기 위하여 개발된 이론으로(Desai, 1974) 어떤 재료는 외력에 의하여 손상되지 않은 초기상태(Relatively Intact, RI)와 손상된 상태(Fully Adjusted, FA)로 구분할 수 있다. 교란상태개념에 의하면 초기상태에 외력이 가해질 경우 재료 내부에서는 점차 손상된 상태로 구성된 부분이 증가하여 Fig. 2와 같이 재료 전체가 초기상태에서 손상된 상태로 연속적으로 변화하게 된다. 이 때 변화 과정을 정량적으로 정의하는 관계식을 교란도함수(disturbance function)로 정의할 수 있다.
재료에 가해지는 하중의 형태가 정적하중인지 동적하중인지에 따라 교란도함수의 도출 과정이 다르다. 하중이 재하될 경우 모든 재료는 응력 증가에 따른 변형률이 발생하는데 이러한 응력-변형률 관계는 하중의 종류에 따라 달라지며 각 경우 초기상태 대비 손상된 상태의 차이를 교란도함수를 이용하여 교란도(disturbance, D) 값으로 정량적으로 산출할 수 있다. Fig. 3에서는 하중 종류에 따른 응력-변형률 곡선의 대표적인 형태와 교란도의 산출 개념을 설명하였다. 초기상태에서는 손상된 영역이 전혀 존재하지 않으므로 교란도 값은 이론상 0이 되며 완전히 손상된 상태에서는 1로 정의하는데, 실제 재료의 거동은 완전 손상상태에 도달하기 이전에 이미 항복상태 또는 한계상태에 도달하므로 1에 가까운 값이 된다.

Fig. 3
Stress-strain behavior for the estimation of disturbance, D (Park et al., 2000; Kwak et al., 2017)
Fig. 3(a)와 같이 정적하중의 경우 하중 증가에 따라 변형률이 증가하는데 초기상태의 경우 응력 증가 없이 변형률이 일정하게 발생하는 상태에 도달하는 반면 실제 재료 내부에서는 항복 이후 손상된 영역이 급격히 증가하면서 하중 감소 및 변형률 증가가 발생하게 된다. 이 때 동일 변형률에서의 초기상태와 실제 재하상태의 응력 차이를 교란도로 정의한다.
Fig. 3(b)는 재료에 반복 전단하중이 재하될 경우 전단응력-변형률 관계를 도시한 것이다. 최초 하중 재하시를 초기상태로 보고 하중의 반복 재하에 따라 재료 내부에 손상된 영역이 증가하면서 최대 전단응력값이 감소하는 경향이 나타나게 된다. 이를 일반식으로 표현하면 다음 식과 같다.
여기서 τi, τc, 그리고 τa는 각각 초기상태(RI), 손상된 상태(FA), 그리고 임의 횟수의 반복하중 재하 상태 시 전단응력 값을 나타낸다. 한편, 반복재하 시 재료에 발생하는 소성변형의 누적값을 전단소성변형률 상각궤도(deviatoric plastic strain trajectory, ξD)라고 정의하고, 반복재하 시 이를 이용하여 교란도함수를 도출할 수 있다. 전단소성변형률 상각궤도의 산정 방법은 기존 연구를 참고할 수 있고(Kwak et al., 2013), 산정된 교란도 함수의 예는 다음 Fig. 4와 같다.
Fig. 4는 반복 전단응력-변형률 곡선으로부터 식 (1)과 전단소성변형률 상각궤도를 이용하여 직접 산출한 교란도함수 곡선이다. 곡선의 형태는 자연로그(e) 함수의 형태를 띠고 있으므로 적절한 매개변수를 도입하여 곡선을 다음 식 (2)와 같이 수학적으로 표현할 수 있다.
식 (2)에서 Du는 한계 교란도이고, A, Z는 재료의 고유한 특성을 나타내는 교란도 함수 파라메터이다. 곡선의 형태는 A, Z 파라메터에 의하여 수학적으로 결정할 수 있으므로(Kwak et al., 2013) 각 재료의 특성을 반영하는 A, Z 파라메터의 대표값을 결정한다면 실내시험을 거치지 않더라도 교란도 함수곡선을 신속, 편리하게 결정할 수 있다. 본 연구에서는 화학적 영향을 고려하여 점토지반에 관입된 PHC말뚝의 접촉면에서의 동적 전단거동특성을 파악하기 위하여 콘크리트-점토 접촉면에 대한 A, Z 파라메터를 실험적으로 결정하였다.
3. PHC말뚝-흙 접촉면 동적 전단시험
3.1 동적 전단시험 조건
본 연구에서는 PHC말뚝과 점토지반 사이에 형성되는 접촉면의 화학적 영향을 고려한 동적 전단거동특성을 파악하기 위하여 반복 단순전단시험을 수행하였다. 시험 수행을 위하여 다기능 접촉면 전단시험기(Multi-purpose Interface Apparatus, M-PIA)를 이용하였다. 본 기기는 변형률 제어(strain-controlled) 방식의 전단시험기로서 각 2mm 두께를 가진 총 5개의 전단링(shear ring)으로 접촉면의 변형을 측정할 수 있다. 특히 본 기기는 전단링을 외부 몰드로 밀폐할 수 있어 배수조건을 부여한 전단시험이 가능하며 온도조절장치를 시료상자와 재하기구에 내장하여 온도변화에 의한 영향도 고려할 수 있는 특징이 있다. 기기의 형상은 Fig. 5와 같으며 전단시험기에 대한 상세한 내용은 다음 Table 1에 기술하였고, 기존 연구결과(Kwak et al., 2016)를 참조할 수 있다.
Table 1.
Specifications of the modified M-PIA (Modified after Kwak et al., 2016)
점토시료는 카올리나이트(Kaolinite)를 물과 1:1 중량으로 믹서기에서 섞은 후 산성, 중성, 염기성 용액에 수침시킨 후 물을 제거하여 제작하였으며, 직경은 100mm, 높이는 80mm 이다. 시료의 크기와 관련하여, 본 시험은 동적 단순전단시험으로서 수평방향의 변위를 가하는 변형률제어 시험이므로 시료의 폭이 높이보다 작은 것이 전단응력-변형 거동을 파악하기 유리하며 시험기 제작 당시 예비시험을 수행하여 전단링의 직경이 100mm 일 때 전단력이 미치는 영향거리를 파악하여 최종 높이 80mm로 결정하였다. 점토시료의 기본적 물성은 다음 Table 2와 같다. 본 연구에서는 단기 수침에 따른 접촉면의 영향을 우선적으로 검토하기 위하여 수침 기간은 1개월로 설정하였다. 점토시료 상부에 압축강도 24MPa의 포틀랜트 시멘트로 두께 20mm의 원형시료를 제작하여 거치하였다. 본 연구에서 수행된 접촉면 단순전단시험의 주요 변수는 콘크리트-점토 사이에서 형성되는 재료적 차이와 접촉면의 특성이므로 PHC말뚝 재료의 압축강도와 다소 차이가 있음에도 불구하고 접촉면 거동의 큰 차이는 없을 것으로 판단되며 본 연구에서는 PHC말뚝과 점토의 이질재료 사이에 형성되는 접촉면을 구현하기 위한 재료로서 가장 일반적으로 사용되는 압축강도 24MPa의 포틀랜트 시멘트를 사용하였다.
Table 2.
Physical properties of clay
| Element | Specific gravity | Liquid limit (%) | Plastic limit (%) | Plasticity index | % Passing of #200 Seive |
| Kaolinite | 2.61 | 57.5 | 30.0 | 27.5 | 95.2 |
시멘트 시료 역시 점토시료와 동일하게 산성, 중성, 염기성 용액에 1개월간 수침시킨 후 물을 제거하여 제작하였다.
동적 하중은 최대 전단변형률 1.5%를 0.5Hz로 반복 적용하였다. 일반적으로 응력-변형률 거동은 재하하는 전단변형률의 크기에 따라 변화하는데, Fig. 6과 같이 전단변형률이 커질수록 전단응력-변형률 곡선의 기울기가 줄어드는 경향을 보인다(Pestana et al., 2000). 예비시험 결과 재하하는 최대 전단변형률의 크기가 5% 이상일 경우 5회 미만의 반복재하에서 시료가 조기에 파괴되었고, 1.5% 이하일 경우 시료가 파괴되지 않거나 파괴에 이르는 반복재하 횟수가 과다하게 증가하였다. 따라서 본 연구에서는 3%의 최대 전단변형률을 재하하였다.
또한 기존연구(Shibuya et al., 1995; Araei et al., 2009)에 따르면 지진의 탁월주파수는 0.1∼15Hz 이내이고 ASTM D3999(1996)에서 정현하중 재하의 경우 추천하는 0.5Hz를 고려하여 0.5Hz의 반복전단변형률을 재하하였다.
전단변형률 재하 시 상재압은 0.2MPa과 0.4MPa일 경우로 나누어 시험을 수행하여 상재압 증가에 따른 전단변형거동 특성의 차이를 확인하고자 하였다. 시험 조건을 정리하면 Table 3과 같다.
Table 3.
Test schedule
| Case | Normal stress (MPa) | pH value | Remarks |
| 1 | 0.2 | 4.01 | |
| 2 | 0.2 | 7.00 | |
| 3 | 0.2 | 10.01 | |
| 4 | 0.4 | 4.01 | |
| 5 | 0.4 | 7.00 | |
| 6 | 0.4 | 10.01 |
3.2 시험 결과
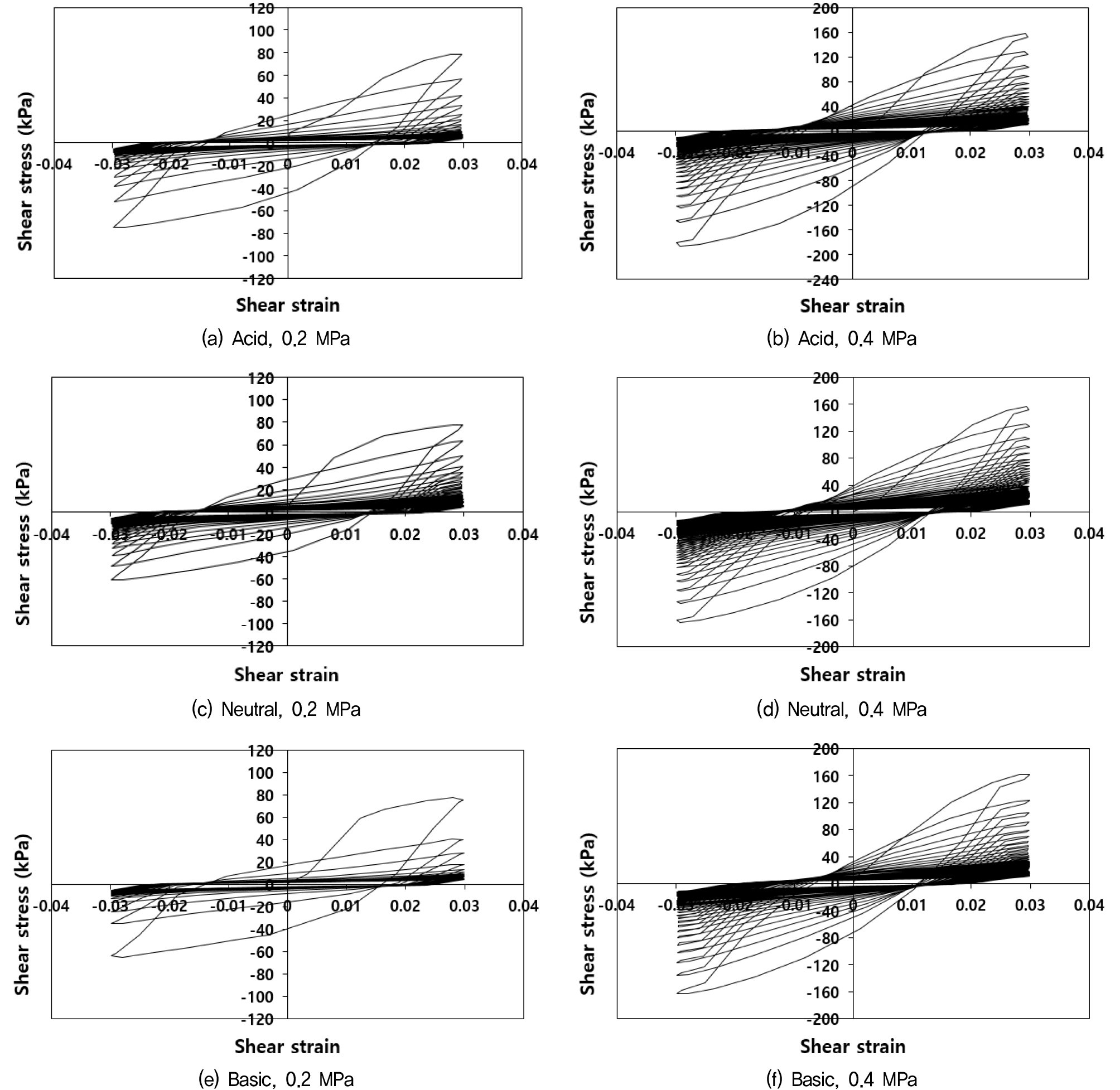
화학적 영향을 고려하여 상재압에 따른 콘크리트-점토 접촉면에 대한 반복 단순전단시험을 수행한 결과 Fig. 7과 같이 전단응력-전단변형률 곡선을 도출하였다.
상재압 0.2MPa 재하결과, 최초 재하 이후 2번째 재하에서 최대전단응력의 감소량이 가장 크게 나타났으며, 염기성 용액 수침 시료에서 최대 47.9% 감소하였다. 산성 용액 수침 시료와 중성 용액 수침의 경우 각각 최대 28.2%, 18.9% 감소한 결과를 나타내었다(Fig. 8). 따라서 염기성 용액 수침 시 재하 초기에 가장 큰 최대전단응력의 감소를 보였으며 이는 반복하중 재하 시 염기성 환경에서 초기에 급속한 전단저항력의 열화가 발생하는 것을 의미한다. 반면 중성의 경우 최대전단응력 감소 비율이 염기성 대비 약 39.5%에 불과하여 상대적으로 반복하중에 의한 전단저항력 열화현상이 작게 발현되는 특징을 보인다.
상재압 0.4MPa 재하결과, 상재압 0.2MPa 재하 시와 동일하게 최초 재하 이후 2번째 재하에서 최대전단응력의 감소량이 가장 크게 나타났으며, 염기성 용액 수침 시료에서 최대 23.6% 감소하였다. 산성 용액 수침 시료와 중성 용액 수침의 경우 각각 최대 18.8%, 16.6% 감소한 결과를 나타내었다(Fig. 9). 따라서 상재압 0.2MPa 재하 시와 동일하게 염기성 용액 수침 시 재하 초기에 가장 큰 최대전단응력의 감소를 보였으며, 산성과 중성의 경우 최대전단응력 감소 비율이 염기성 대비 각각 약 79.7%, 70.3%로서 상대적으로 반복하중에 의한 전단저항력 열화현상이 적게 발현되는 특징을 보인다. 즉 상재압 증가에도 불구하고 일관적으로 염기성, 산성, 중성 용액 수침 순으로 최대전단응력 감소량이 큰 경향을 나타내었다. 그러나 상재압이 증가하면 2번째 재하 시 최대전단응력의 감소율이 감소하는 경향을 보이는데, 이는 증가한 상재압에 의한 시료의 구속효과가 전단응력의 급격한 감소를 억제하는 것으로 판단된다.
재하 회수에 따른 전단응력-변형률 곡선을 도시한 결과, 최초 1회 재하시의 최대 전단응력은 상재압(0.2MPa, 0.4MPa)에 따라 달라지며, pH 조건에 따라 2회 재하시부터 파괴에 이를 때 까지 전단응력의 감소경향이 상이하게 나타났다. 이는 pH조건이 접촉면의 교란도(손상도)에 미치는 영향이 상이하기 때문이며 상이한 정도와 경향을 정량적 산출하기 위하여 시험 결과를 토대로 교란도함수를 Fig. 11과 같이 도출하였다.
연직응력과 전단응력의 응력경로를 도시하면 다음 Fig. 10과 같다. 상재압 0.2MPa 재하결과, 최대 연직응력-전단응력 포락선의 할선각도는 29.8°∼32.9°로 산정되었다. 반면 상재압 0.4MPa 재하 시에는 최대 연직응력-전단응력 포락선의 할선각도는 28.0°∼28.9°로 감소하는 경향을 나타내었다. 이는 전단응력-전단변형률 발생 경향과 유사하게 상재압 증가에 의한 구속효과로 시료 내부의 손상영역 증가가 지연 및 억제되어 포락선의 각도가 줄어드는 것으로 판단된다.
시험 결과 도출된 전단응력-변형률 곡선을 토대로 반복재하에 따른 접촉면의 손상 정도를 정량적으로 파악하기 위하여 교란도함수를 도출하였다. 교란도함수는 전단응력-전단변형률 시험 곡선으로부터 식 (1)을 이용하여 산출할 수 있으며, 산출된 교란도함수를 식 (2)의 형태로 표현하기 위하여 각 시험 조건에 따른 교란도함수 파라메터 A, Z를 산정하였다. A, Z 파라메터는 식 (2)의 양변에 연속적으로 2회 지연로그를 취하여 데이터를 선형식으로 변환하여 구할 수 있으며, 변환된 직선의 기울기가 Z 값이고 y절편에 오일러 수, e 값을 취하면 A 파라메터를 구할 수 있다(Kwak et al., 2013). 곡선으로부터 구한 교란도함수와 식 (2)로부터 구한 교란도함수의 비교 결과는 다음 Fig. 11과 같으며, 교란도함수 파라메터 A, Z는 Table 4에 제시하였다.
Table 4.
Disturbance parameters, A, Z
| Case | A | Z | Remarks |
| 1 | 3.3062 | 0.4143 | |
| 2 | 2.6783 | 0.4851 | |
| 3 | 3.9845 | 0.2897 | |
| 4 | 1.9566 | 0.4862 | |
| 5 | 1.6984 | 0.4917 | |
| 6 | 2.1913 | 0.5014 |
Fig. 11과 같이 파라메터 A, Z에 의해 산정된 교란도함수는 시험 결과와 잘 일치하고 있으며 이는 파라메터 A, Z 값을 알면 시험에 의하지 않고서도 교란도함수 곡선을 도출할 수 있음을 의미한다. 따라서 추후 충분한 횟수의 반복시험을 통해 파라메터 A, Z의 대푯값을 산정하여 활용할 수 있을 것으로 판단된다.
각 환경조건별 교란도함수를 상재압에 따라 구분하여 비교한 결과는 Fig. 12 및 Fig. 13과 같다. 상재압 0.2MPa 재하 시, 0.4MPa 재하 시에 비해 조기에 교란도가 급격히 증가하는 경향을 확인할 수 있으며 임의의 누적 소성변형률 발생 시점, 즉 전단변형률상각궤도(ξD)에서의 교란도를 정량적으로 파악할 수 있다. 예를 들어, 상재압 0.2MPa 재하 시, 전단변형률상각궤도(ξD) 0.5인 시점에서 교란도는 염기성, 산성, 중성 순으로 각 0.952, 0.907, 0.844의 값을 가지며 가장 교란도가 적은 중성 대비 염기성에서 12.8% 증가하였다. 마찬가지로 상재압 0.4MPa에서 전단변형률상각궤도(ξD) 1.0인 시점에서 교란도는 염기성, 산성, 중성 순으로 각 0.880, 0.850, 0.809의 값을 가지며 가장 교란도가 적은 중성 대비 염기성에서 8.8% 증가함을 정량적으로 파악할 수 있다. 즉 전단변형률상각궤도 값에 따라 교란도 값 및 증감량을 조건별로 도출된 교란도함수 곡선에 의하여 직접적으로 산출할 수 있음을 알 수 있다. 상재압 증가에 따라 교란도함수 곡선의 형태가 완만해지며 보다 큰 전단변형률이 누적되어야 파괴(D = 1.0)에 근접하는 경향을 보이며, 이는 앞서 살펴본 전단응력-변형률 거동과 동일하다.
4. 결 론
본 연구에서는 PHC말뚝과 점토지반 사이에 형성되는 접촉면의 화학적 영향을 고려한 동적 전단거동특성을 파악하기 위하여 반복 단순전단시험을 수행한 결과 다음과 같은 결론을 얻었다.
(1) 공통적으로 초기 재하 이후 2회 재하 시 가장 큰 최대전단응력 감소가 발생하였으며 0.2MPa의 상재압 재하 시 염기성 용액 수침조건에서 47.9%, 0.4MPa의 상재압 재하 시 23.6% 감소하였다. 따라서 상재압이 작을 경우 최대전단응력의 감소량이 보다 크게 발생하므로 반복하중에 의한 전단저항력 열화현상이 상재압이 작을 경우 보다 크게 발현되는 특징을 보인다. 이는 증가한 상재압에 의한 시료의 구속효과가 전단응력의 급격한 감소를 억제하는 것으로 판단된다.
(2) 연직응력과 전단응력의 응력경로를 산출한 결과 상재압 0.2MPa 재하결과, 최대 연직응력-전단응력 포락선의 할선각도는 29.8°∼32.9°, 상재압 0.4MPa 재하 시에는 최대 연직응력-전단응력 포락선의 할선각도는 28.0°∼28.9°로 감소하는 경향을 나타내었다. 이는 전단응력-전단변형률 발생 경향과 유사하게 상재압 증가에 의한 구속효과로 시료 내부의 손상영역 증가가 지연 및 억제되어 포락선의 각도가 줄어드는 것으로 판단된다.
(3) 반복 단순전단시험 결과를 기반으로 말뚝(콘크리트)-지반 접촉면의 손상 정도를 시험 조건별로 정량적으로 파악하기 위하여 교란도함수를 도출한 결과, 교란도함수 곡선과 파라메터 A, Z를 산정하였다. 산정된 교란도함수는 시험 결과와 잘 일치하고 있으며, 따라서 추후 충분한 횟수의 반복시험을 통해 파라메터 A, Z의 대푯값을 산정하여 접촉면 동적 전단강도의 감소 경향을 정량적으로 구할 수 있을 것으로 판단된다.
(4) 각 환경조건별 교란도함수를 상재압에 따라 구분하여 비교한 결과 상재압 0.2MPa 재하 시, 0.4MPa 재하 시에 비해 조기에 교란도가 급격히 증가하는 경향을 나타내었으며 임의의 누적 소성변형률 발생 시점, 즉 전단변형률상각궤도(ξD)에서의 교란도를 정량적으로 파악할 수 있었다. 본 연구에서 제시한 일련의 과정을 실무적으로 활용하기 위하여 현장 시료를 채취하여 접촉면 동적 전단시험을 수행하여 교란도 함수와 파라메터를 결정할 수 있고, 이를 토대로 동적하중 재하 시 말뚝-지반 접촉면의 파괴시점을 예측할 수 있으며 그 때의 최대변형률도 정량적으로 산출하여 설계 및 시공 기준으로 활용할 수 있을 것으로 판단된다.
(5) 본 연구는 거동이 매우 복잡하여 이론적 접근이 어려운 접촉면의 동적 전단거동을 실내시험을 통하여 정량적으로 평가하였으나, 제한된 횟수의 실내시험에 기반한 연구이므로 추후 보다 다양한 조건을 고려한 반복시험을 수행할 필요가 있다고 판단된다.














