1. 서 론
2. 연구대상 지역
3. 풍화암의 지반특성 평가 방법
3.1 변형계수 평가
3.2 전단강도 정수 평가
3.3 전단파 속도 평가
3.4 밀도 검층
4. 풍화도 평가 방법
5. 시험결과 분석
5.1 풍화암 지반특성 분석
5.2 풍화도 분석
5.3 풍화암의 지반특성과 풍화도의 관계 분석
6. 결 론
1. 서 론
화강 풍화암은 토사와 암의 전이 지층으로 국내 대부분 지역에 광범위하게 분포하고 있으며, 말뚝기초의 주 지지층으로 활용되고 있다. 그러나 풍화암은 암과 토사의 중간 영역으로 지반정수 값의 범위가 매우 넓은데 반하여, 불교란 시료 채취의 어려움 때문에 실내 전단시험을 통한 지반정수 결정이 거의 불가하고, 현장 시험 또한 적절한 지반정수를 결정하기에 아직은 매우 미흡한 실정이다. 따라서 과거에는 말뚝기초 설계 시 풍화암의 저항능력을 안전측으로 평가하여 매우 조밀한 토사의 지반정수를 말뚝 지지력 평가에 이용하였다. 이후, 90년대 후반 미국을 중심으로 수행된 Intermediate Geo Material(IGM)의 하중저항능력에 대한 연구(O’Neil and Reese, 1999)를 바탕으로 2000년대 중반부터 국내 풍화암의 지지력에 대한 연구가 활발히 수행되고 있다(Lee et al., 2005; Kim et al., 2006; Ahn, 2013). 그러나 국내에서 수행된 대부분의 연구는 북미에서 제안된 IGM 설계 이론을 단순 차용하여 국내 풍화암에 적용한 것으로, 풍화암의 역학적 강도 특성을 반영하지는 못하였다. 따라서 풍화암의 합리적 지반정수 평가 그리고 이를 기반으로한 말뚝 지지력 평가 기술에 대한 연구는 매우 미흡한 실정이다. 국내의 경우 풍화암의 지반특성 평가를 위하여 일반적으로 표준관입시험을 수행하고 있으나 풍화암은 토사에 비해 매우 단단하고, 암의 조직을 유지하고 있기 때문에 표준관입시험 시 타격에 따른 동적 하중과 파 전달 메커니즘 등이 불명확하고, 강도 변화폭에 비해 관입 변화량이 작아 지반조사의 정확성 및 일관성이 낮을 수 있기 때문에, 풍화암의 특성을 평가하기에는 부적절하다.
풍화암은 하부 모암의 풍화작용으로 생성된 지층으로 응력해방 및 외력에 의한 균열 발달, 구성 광물의 변질, 화학성분의 용탈 등 모암의 물리적, 화학적 특성이 변질된 지층이다. 지표에 가까울수록 지중 응력이 감소하여 균열의 정도가 증가하고, 외부 온도의 변화, 지하수위의 변동 등 풍화를 가속화시키는 영향이 증가하므로, 풍화도는 일반적으로 심도가 얕을수록 증가한다. 풍화가 진행되면 암석 내 공극 증가, 구성광물 조성 변화 등으로 암석의 결합력이 감소한다. 이에 따라 암석의 강도, 변형 등 역학적 특성도 변화하므로, 풍화도를 정량적으로 평가하기 위한 풍화지수와 암석의 역학적 특성과의 관계에 대한 여러 연구가 진행되어 왔다(Gupta and Rao, 1998; Begonha Braga, 2002; Lee and Chang, 2003; Sun et al., 2006).
본 연구에서는 국내 화강 풍화암의 지반특성을 평가하기 위해서 경기도 고양시의 화강 풍화암 지층을 대상으로 시추조사 및 프레셔미터시험(PMT; Pressuremeter test), 공내전단시험(BST; Borehole Shear Test), Downhole test, Suspension PS 검층, 밀도검층을 수행하였고, 채취한 풍화암 코어시료에 대한 X선 형광분석을 실시하여 풍화지수를 산정하였다. 현장시험 및 X선 형광분석을 통해 평가된 지반특성과 풍화지수를 바탕으로 화강 풍화암의 심도 변화에 따른 지반특성과 풍화도의 변화를 고찰하고, 대표적인 화학적 풍화지수 VR(Vogt, 1927)과 지반특성을 비교하였다.
2. 연구대상 지역
화강 풍화암의 지반특성과 풍화도를 평가하기 위해 화강 풍화암 지층이 두껍게 분포되어 있는 부지를 연구대상 지역으로 고려하였으며, 기존에 수행된 여러 곳의 지반조사 자료를 수집, 분석한 후 고양시 덕양구 차량기지 인근의 노지를 대상 지역으로 결정하였다. 연구대상 지역의 지층정보 확인 및 현장시추공 시험을 위해 총 3공의 시추조사를 수행하였으며, 각 시추공의 이격거리는 1m이다.
THB-1 시추공에서는 대상 부지의 전반적인 지층구조 파악을 위하여 지표에서부터 연암 층까지 시추조사를 수행하였다. 최상부 매립토에서 풍화암 층 일부까지 1m 간격으로 표준관입시험을 수행하였으며, 스플릿 스푼 샘플러의 관입이 이루어지지 않는 풍화암 층에서부터 코어배럴을 이용하여 암코어를 채취하였다. 시추과정에서 획득한 다양한 정성적인 정보를 바탕으로 지반조사 전문가가 작성한 시추주상도를 이용하여 각 지층을 구분하였다. 시추조사 결과 충적층이 21.5m로 발달하였으며, 충적층 하부에 모암이 화강암인 풍화토 층이 1m, 풍화암 층이 13m 정도로 두텁게 형성되어 있었다. 풍화암 층의 회수율은 90%~100%로 대부분의 풍화암 시료를 확보할 수 있었다. 풍화암 하부의 연암 층의 경우 100%의 회수율을 보였으며, 암질지수(RQD)는 30%~ 50% 정도로 보통균열에서 매우 심한균열의 정도로 나타났다. TBH-2 시추공에서는 풍화암 코어를 확보하기 위하여 풍화토에서부터 연암까지 암코어 시료를 연속적으로 채취하였으며, TBH-3 시추공에서는 풍화암 층의 역학적 물성평가를 위하여, 프레셔미터시험(PMT), 공내전단시험(BST), 밀도검층, Downhole test, Suspension PS 검층을 수행하였다. 프레셔미터시험과 공내전단시험은 가능한 동일 심도에서 수행하였으며, 밀도검층, Downhole test, Suspension PS 검층은 풍화토, 풍화암, 연암 층에서 1m 심도 간격으로 측정하였다. 시추결과 및 각 시험 심도는 Fig. 1에 나타내었고, 채취한 풍화암 시료는 Fig. 2와 같다.
3. 풍화암의 지반특성 평가 방법
3.1 변형계수 평가
풍화암의 변형계수를 평가하기 위해서 OYO사의 Elastometer-2 장비를 사용하여 시추공 내에서 프레셔미터시험을 수행하였다. Elastometer-2 장비는 핸드 펌프를 이용한 압력 제어 방식의 프레셔미터이며, 단단한 지층에 사용 가능한 하드패커를 사용하였다. 사용한 패커의 초기 외경은 70mm 이며 최대 팽창 외경은 82mm 이다. 시험방법은 OYO 사에서 제공한 매뉴얼(OYO coporation, 2008)에 따라 선굴착 방식으로 진행하였다. 시추장비를 이용하여 시험심도까지 천공 후 항복압력까지 0.1MPa 씩 가압하였고, 이후 0.5MPa 씩 단계적으로 가압하여 장비의 가압 또는 변형 한계까지 시험을 수행하였다. 심도에 따른 변형계수의 변화를 파악하기 위하여 1.2m 심도 간격으로 총 9 회의 시험을 풍화암 층에서 수행하였다. 현장에서 측정한 압력과 변위는 OYO 사의 매뉴얼(OYO coporation, 2008)을 바탕으로 측정봉(caliper arm)의 영점보정, 가압 압력 및 패커팽창에 따른 패커 두께에 대한 보정을 거쳐 압력-변형률 곡선으로 도시하였다. Fig. 3은 시험결과의 대표적인 예로 31.6m 심도에서 수행한 프레셔미터시험 시험의 압력 – 변형률 곡선이다. 변형계수(Em)를 산정하기 위해서는 초기 정지압력(p0)과 항복압력(py)을 결정하여야 한다. 본 시험에서 사용한 선굴착 식 프레셔미터 시험의 경우 시험공을 형성하는 과정에서 원지반이 교란되므로, 압력 – 변형률 곡선에서 선형구간이 시작되는 점과 끝나는 점을 정지압력과 항복압력으로 결정하였다(Kim et al., 2000). 선형구간의 전단탄성계수(G)와 변형계수(Em)는 Gibson and Anderson (1961)이 제안한 식 (1)과 (2)에 따라 산정하였다. 식 (2)에 사용된 포아송비는 서울지역에서 수행된 지반조사 및 시험 결과를 토대로 서울시 지반조사 편람(Kim et al., 2006)에서 제시한 평균값(풍화암: 0.35, 연암: 0.27)을 적용하였다.
(1)
(2)
여기서,
: 재하 압력의 증분
: 공동변형률의 증분
: 포아송비(풍화암: 0.35, 연암: 0.27 적용)
3.2 전단강도 정수 평가
풍화암의 전단강도 정수를 평가하기 위하여 Handy Geo-technical Instruments (http://www.handygeotech.com)에서 제작한 공내전단시험기(Fig. 4)를 사용하여 시추공 내에서 직접전단 시험을 수행하였다. 공내전단시험기는 시추공 내에 전단 플레이트를 삽입하고 가압펌프로 전단 플레이트에 수직압력을 가한 후 상부에서 전단 플레이트를 인발하여 발생하는 전단응력을 측정하는 시험기로서 국내에서는 풍화대(풍화토, 풍화암)의 점착력(c)과 마찰각(
)을 평가하는데 주로 사용하고 있다. 본 연구에서는 심도에 따른 전단강도 정수의 변화를 파악하기 위하여 총 6 회의 시험을 풍화암 층에서 수행하였다. 시험기의 전단부를 시추공 내 시험 심도에 위치시킨 후 전단 플레이트에 수직압력을 50kPa, 100kPa, 150kPa, 200kPa 씩 가하였고 각각의 수직압력 하에서 전단 플레이트를 상부로 인발하여 최대 전단응력을 측정하였다. 측정된 수직압력과 전단응력에 대한 선형회귀분석을 수행하여 Mohr-Coulomb의 파괴포락선을 도출하였고 이로부터 풍화암의 점착력(c)과 마찰각(
)을 산정하였다.
또한 풍화암의 전단강도를 평가하기 위해 프레셔미터시험의 결과를 이용하였다. 이를 위해 Haberfield와 Johnston(1990)이 Mohr-Coulomb 탄소성 이론, 응력팽창이론, 공동확장이론을 바탕으로 제안한 해석적 방법을 이용하였다. 이 방법은 마찰각과 항복압력을 반복 가정하여 이론적으로 계산한 항복 이후의 압력 – 변위 곡선 중 프레셔미터시험에서 측정된 항복 이후의 압력 – 변위 곡선과 가장 작은 오차의 곡선을 도출하고 이로부터 점착력(c)과 마찰각(
)을 추정하는 방법이다. 이론적인 압력 – 변위 곡선을 산정하기 위해 식 (3)~(6)을 사용하였다.
인경우:
(3)
인 경우:
(4)
(5)
(6)
여기서,
,

,

,
,
: 공벽에 작용하는 압력(
:정지압력,
: 항복압력)
: 공벽 외부 반지름(
: 정지상태,
: 항복상태)
: 전단탄성계수
: 포아송 비
c′ : 점착력,
: 마찰각
: 팽창각,
: 잔류 마찰각
입력 변수 중 포아송비(
)는 프레셔미터시험 결과 해석 시 사용한 0.35를 사용하였고, 전단탄성계수(
)와 초기 정지압력(
)은 프레셔미터시험의 압력 – 변위 곡선의 선형구간을 이용하여 결정하였으며, 잔류 마찰각(
)은 풍화암에 대한 실내 직접전단시험 결과를 바탕으로 40°를 적용하였다. 실내 직접전단시험은 본 현장에서 회수한 심도 26.0m의 풍화토 시료와 심도 39.0m의 풍화암 코어에 대해 수행하였다. 본 시험은 잔류 마찰각의 계산을 위한 시험이므로 풍화암 코어를 인위적으로 파쇄하여 암 조직을 모두 제거한 뒤 직접 전단시험을 수행하였다.
3.3 전단파 속도 평가
풍화암의 심도에 따른 전단파 속도를 평가하기 위해서 Downhole test와 Suspension PS 검층을 수행하였다. Downhole test(Fig. 5a)는 지표에서 발진원을 해머로 타격하여 탄성파를 발생시키고, 시추공 내의 수신기에서 탄성파를 측정하는 방법으로 시추공 탄성파 탐사에서 일반적으로 사용하는 방법이다. Suspension PS 검층(Fig. 5b)은 Downhole test의 일종으로 발진원이 시추공 내에서 탄성파를 발생시키고 동일한 시추공 내에서 수신기가 탄성파를 측정하는 방법이다. Downhole test의 경우 직접적인 타격으로 지중 내에 탄성파를 발생시키지만 Suspension PS 검층의 경우 발진기의 전자해머가 공내수에 순간적으로 압력을 가하여 발생한 수압분포로 지중 내에 탄성파를 발생시키므로 반드시 공내수가 필요하다. 본 연구에서는 풍화암 층의 심도에 따른 전단파 속도를 평가하기 위해서 1m 심도 간격으로 Downhole test를 수행하였으며, 상부 충적층의 발달(21.5m 두께)로 풍화암 층에서 탄성파의 수신이 불량할 것으로 예상하여, 추가적으로Suspension PS 검층을 수행하였다.
3.4 밀도 검층
밀도검층은 시추공 내에서 방사선의 일종인 감마선을 방출하고, 지반의 밀도에 따라 감마선의 에너지가 감소하는 콤프턴 산란 현상을 이용하여 밀도를 평가하는 방법이다(Pickell and Heacock, 1960). 시추공 내에 방사성물질과 검출기가 일체화 되어있는 밀도검층 Probe를 강하시켜 방사선물질에 의해 방사된 감마선이 지층을 통과할 때 흡수, 산란된 감마선을 검출하여 지층의 밀도를 얻을 수 있다. 일반적으로 시추조사 결과, 현장 시추공 시험 및 물리탐사 결과와 비교 분석하여 암반의 파쇄정도, 풍화대 및 연약층 판정, 지층구분의 검토 등 지반구조를 추정하는데 사용하며, Downhole Test, Suspension PS 검층 등의 탄성파 탐사와 병행하여 지반의 동적특성(동포아송비, 동전단계수, 동영률 및 동체적계수)을 산출한다. 본 연구에서는 풍화암 층의 심도에 따른 밀도를 평가하기 위해서 1m 심도 간격으로 측정하였으며, 방출원으로는 콤프턴 산란 현상이 지배적인 코발트(
)을 사용하였다.
4. 풍화도 평가 방법
풍화작용은 지표근처의 모암이 파괴, 변질되어 토사화되는 과정이다. 풍화는 물리적, 화학적 작용이 복합적으로 이루어지면서 암석의 공학적 특성에 영향을 미친다. 풍화정도를 정량적으로 나타내는 풍화지수와, 그에 따른 공학적 특성 변화에 대하 연구가 최근에도 다수 진행되어왔다(Gupta and Rao, 1998; Lee and Chang, 2003; Lee and Cho, 2005; Sun, 2006). 본 연구에서는 풍화암 층의 풍화도 평가를 위해 X선 형광분석을 통한 화학적 풍화지수를 사용하였다. 화학적 풍화지수는 지반의 화학성분 조성비에 따라 풍화정도를 정량화 한 것으로 물리적 풍화지수에 비해 객관적으로 풍화특성을 평가할 수 있다고 알려져 있다(Sun, 2006). 본 연구에서는 X선 형광분석을 위해 BRUKER 사의 휴대용 XRF 분석기인 S1 TITAN을 사용하였다. 휴대용 XRF 기기는 별도의 후처리 없이 원소 함량을 알 수 있고 정밀 XRF 기기에 비하여 분석 시간이 짧아 많은 시료를 분석하기에 용이하며, 정밀 XRF의 분석결과와 비교적 잘 일치한다고 알려져 있다(Kim, 2016). 본 연구에서는 채취한 풍화암 코어시료를 대상으로 30cm 심도간격으로 XRF 분석을 수행하였으며, 1m 심도 간격 내에 측정된 값의 평균값을 1m 구간에 해당하는 풍화암의 대푯값으로 결정하였다. XRF 분석 결과를 이용하여 풍화암 층의 풍화도를 평가하기 위해 Table 1에 제시한 대표적인 화학적 풍화지수를 산정하였다.
5. 시험결과 분석
5.1 풍화암 지반특성 분석
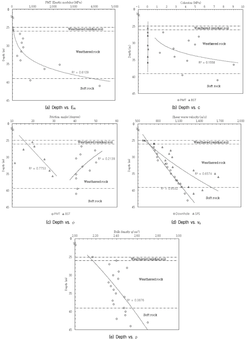
연구대상 지역의 풍화암 층의 심도에 따른 지반특성을 평가하기 위하여 풍화토 층, 풍화암 층, 연암 층을 대상으로 프레셔미터시험, 공내전단시험, 공내탄성파탐사(Downhole test, Suspension PS 검층), 공내밀도검층을 수행하였다. 각 시험을 통해 평가한 지반정수는 Fig. 6과 같이 시험 심도에 따라 도시하였고, Table 2에 결과 값을 요약하였다.
프레셔미터시험을 통해 평가한 풍화암의 변형계수(Em)는 239.5MPa~2301.9MPa의 범위로 나타났다(Table 2, Fig. 6a). 심도에 따라 전반적으로 변형계수(Em) 값이 증가하였으며, 회귀분석 결과 심도와 비교적 상관도가 우수한 것으로 확인되었다(R2 > 0.6). 상부 풍화토 층과의 경계에서 변형계수(Em) 값의 차이가 뚜렷하게 나타났으며, 이후 34m 심도까지는 큰 변화가 없었다. 연암 층과 경계부 인근인 풍화암 층 하부(35m~39m)에서는 변형계수(Em) 값이 약 3배~5배 정도 급격히 증가하는 것을 확인하였다. 이는 풍화암이 연암으로부터 풍화되어 생성 될 때, 특정 풍화정도 수준에서 풍화가 가속화되어 암반내 간극이 급격히 증가하고, 결합력이 감소하기 때문으로 판단된다. 동일한 풍화암 지층내에서 프레셔미터로 측정한 변형계수의 차이가 뚜렷하게 나타나기 때문에, 설계정수로 변형계수를 적용하는 경우 이를 고려하는 것이 필요할 것으로 판단된다.
프레셔미터시험 결과를 이용하여 Haberfield와 Johnston (1990)이 제안한 해석적 방법으로 평가한 풍화암의 점착력(c)과 마찰각(
)은 각각 1.27MPa~9MPa, 40.5°~44.3°의 범위로 나타났다(Table 2). 심도에 따라 점착력(c)은 전반적으로 증가하는 경향을 나타내었고 마찰각(
)은 감소하는 경향을 나타내었으나 뚜렷한 상관성을 보이지는 않았다(Fig. 6b, 6c). Lee와 Chang(2003)은 경기도 지역의 화강풍화암에 대해 프레셔미터시험 결과를 바탕으로 Haberfield와 Johnston(1990)의 방법을 이용하여 전단강도정수를 추정한 바 있으며, 점착력(c)과 마찰각(
)을 각각 0.5MPa~2MPa, 20°~40° 범위로 제시하였다. 본 연구결과에서 평가된 전단강도정수는 Lee와 Chang(2003)의 연구결과에 비해 다소 높게 평가되었으며 이는 원지반의 응력수준에 대한 전단강도를 추정하는 Haberfield와 Johnston(1990)의 방법을 이용하였기 때문으로 판단된다.
한편, 시추공 내에서 직접전단 시험을 수행하는 공내전단시험 결과 대부분의 점착력(c)이 0보다 작게 평가되어 분석에서 제외하였다. 마찰각(
)의 경우 심도에 따라 증가하는 경향은 나타났으나, 15.4°~29.3°의 범위로 나타났다(Fig. 6b, 6c, Table 2). 이는 풍화암의 강도정수라고 하기에는 너무 작은 값으로서 오히려 Terzaghi와 Peck(1948)이 제안한 표준관입시험 N값 0~4의 매우 느슨한 사질토와 유사한 값이다. 따라서 본 연구에서 수행한 공내전단시험의 결과는 풍화암의 전단강도를 결정하기에 부적절한 것으로 판단된다. 공내전단시험은 톱니형의 전단플레이트(shear plate)가 시추공벽의 지반에 완전히 관입하여 지반을 전단시키는 시추공내 직접전단시험으로 전단플레이트(shear plate)의 관입이 부족한 경우 지반의 마찰각을 적절히 평가할 수 없다. 풍화대에 공내전단시험기의 전단플레이트(shear plate)의 톱니높이가 낮고 장비의 최대 가압능력이 약 200kPa인 것을 고려하였을 때, 마찰각이 매우 작게 평가되는 원인은 전단플레이트(shear plate)의 관입 부족으로 추정된다. 풍화암에 충분히 관입하지 못한 채 인발되었기 때문에 풍화암을 전단시킨 것이 아니라, 풍화암과 전단플레이트(shear plate) 사이의 접촉면을 전단시키면서 그 마찰각(Interfacial friction angle)을 측정한 것으로 추정된다. 공내전단시험을 통해 풍화암의 전단강도를 평가할 때에는 세심한 주의가 필요하며, 추후, 전단플레이트(shear plate)의 형상, 가압방식, 관입능력 등에 대한 기초적인 연구를 바탕으로 공내전단시험기의 개선이 필요할 것으로 판단된다.
Downhole test와 Suspension PS 검층에 의해 측정된 전단파 속도(vs)는 729m/s~1140m/s, 735m/s~1669m/s의 범위로 각각 나타났다(Table 2). 전반적으로 Suspension PS 검층을 통해 측정한 전단파 속도(vs)가 Downhole test 결과보다 변화의 폭과 절대값이 다소 크게 나타났으며, 35m 이상의 심도에서는 결과 차이가 비교적 크게 나타났다. 이는 시추공 내에서 파를 생성하고 수신하는 Suspension PS 검층이 Downhole test보다 국부적인 영역의 지반조건에 더 민감하게 반응하기 때문인 것으로 판단된다. 또한, 두 시험모두 약 34m 심도에서 전단파 속도(vs)가 뚜렷이 증가하였는데, 이는 프레셔미터시험으로 평가한 변형계수(Em) 결과와 일치한다(Fig. 6a, 6d).
밀도검층을 통해 평가한 풍화암 층의 체적밀도(ρ)는 2.32g/cm3~2.50g/cm3의 범위로 나타나 서울시 지반조사 편람(Kim et al., 2006)에 제시된 값(2.0g/cm3~2.2g/cm3)에 비해 다소 높게 나타났으며, 풍화암층 내에서 심도에 따른 특별한 경향은 확인할 수 없었다.
5.2 풍화도 분석
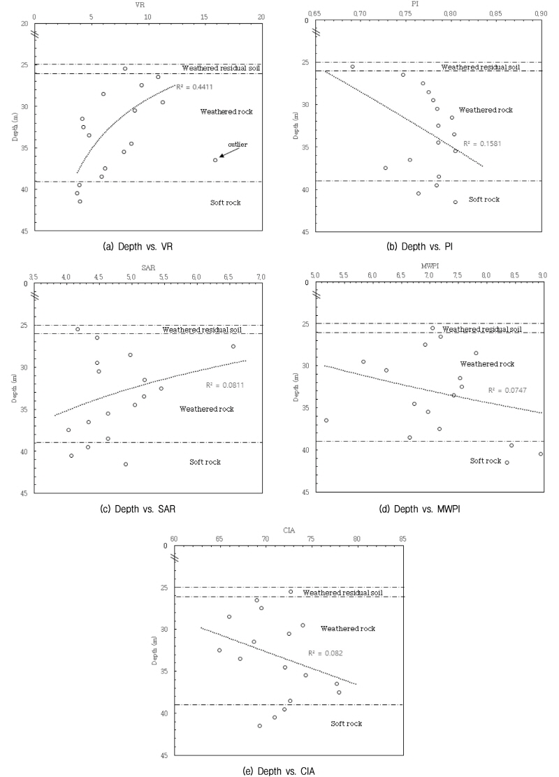
연구대상 지역의 풍화암 층의 심도에 따른 풍화도를 평가하기 위하여 풍화토 층, 풍화암 층, 연암 층을 대상으로 화학적 풍화지수를 산정하였다. 산정된 각 화학적 풍화지수는 Fig. 7과 같이 시험 심도에 따라 도시하였고, Table 3에 결과 값을 요약하였다.
Table 3. Summary of chemical weathering indices in each subsurface layer
![]() | |
1) RS: Residual Soil, WR: Weathered Rock, SR: Soft Rock | |
풍화가 진행되면 암석내의 용탈되는 원소와 축적되는 원소에 따라 화학적 조성비가 변화하게 되고 이를 통해 풍화정도를 평가할 수 있다. 풍화 진행에 따라 용탈되는 원소는 K2O, CaO, Na2O, MgO, SiO2 등이 있으며 Al2O3, Fe2O3, TiO2 등은 암석 내에 집적된다(Sun, 2006). 본 연구에서 분석한 화학적 풍화지수(Table 1 참조) 중 VR과 CIA는 Al2O3의 영향으로 풍화가 진행될수록 증가하며, PI, SAR, MWPI은 감소한다. 즉, 심도가 증가할수록 풍화도가 감소한다는 일반적 사실을 고려한다면, 심도에 따라 VR과 CIA는 감소하고, PI, SAR, MWPI는 증가한다. 연구대상 지역의 심도에 따라 산정된 각 화학적 풍화지수 값을 회귀분석한 결과 VR은 비교적 심도와의 상관도(R2≓0.44)가 우수하였고, PI는 비록 상관도는 낮지만, 심도에 따라 증가하여 일반적인 경향과 잘 일치하였다(Fig. 7a, 7b). MWPI, SAR, CIA는 심도와의 상관도(R2<0.1)가 매우 낮아 특별한 경향을 확인할 수 없었다.
5.3 풍화암의 지반특성과 풍화도의 관계 분석
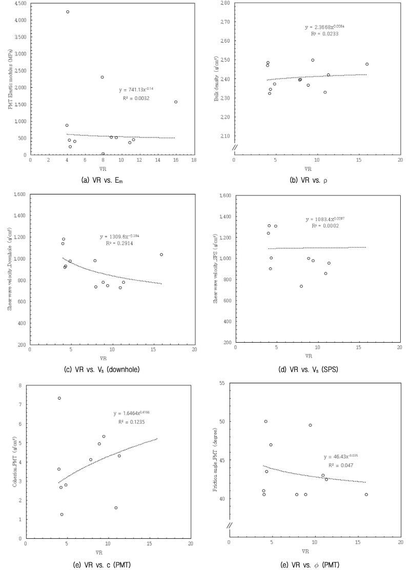
풍화도 분석 결과를 바탕으로 심도와 상관도가 비교적 우수한 VR과 풍화암 층에서 산정한 변형계수(Em), 체적밀도(ρ), 전단파 속도(vs), 점착력(c), 마찰각(
)에 대한 상관관계를 분석하였다(Fig. 8). VR은 풍화가 진행될수록 증가하는 경향을 나타내는 풍화지수로 VR이 커짐에 따라 풍화암의 역학적 특성은 변화하여야 한다. 분석을 수행한 지반특성 중 Downhole test를 통해 산정된 전단파 속도(vs)는 VR이 증가함에 따라 감소하는 일반적인 경향을 나타내었다(Fig. 8c). 변형계수(Em)와 Haberfield와 Johnston(1990)이 제안한 해석적 방법으로 추정한 마찰각(
)은 VR이 증가함에 따라 감소하는 경향을 나타내었으나, 상관도가 매우 낮아 특별한 경향이 나타나지 않은 것으로 판단된다. 제한된 결과를 바탕으로 분석하였지만, Downhole test를 통해 산정된 전단파 속도(vs)를 추정하는 방법으로 VR을 이용할 수 있는 가능성을 확인하였으며, 향후 전단파 속도(vs)와 VR에 대한 데이터가 축적된다면, VR 값을 통해 전단파 속도(vs)를 개략적으로 평가할 수 있을 것으로 판단된다.
6. 결 론
본 연구에서는 국내 화강 풍화암의 지반특성을 평가하기 위해서 경기도 고양시의 화강 풍화암 지층을 대상으로 시추조사 및 다양한 현장 시추공 시험을 수행하였고, 채취한 풍화암 코어시료에 대한 X선 형광분석을 실시하여 풍화도를 평가하였다. 이를 바탕으로 화강 풍화암의 심도에 따른 지반특성과 풍화도의 변화를 고찰하고, 지반특성과 풍화도의 관계를 평가하였다. 본 연구의 결론은 다음과 같다.
(1)프레셔미터시험을 통해 평가한 풍화암의 변형계수(Em)는 239.5MPa~2301.9MPa의 범위로 나타났으며, 회귀분석 결과 심도와 상관도가 우수한 것으로 확인되었다(R2 > 0.6). 또한, 풍화암의 변형계수(Em)는 연암 층과 경계부 인근에서 약 3배~5배 정도 급격히 증가하는 것을 확인하였다.
(2)Haberfield와 Johnston(1990)이 제안한 해석적 방법으로 평가한 풍화암의 점착력(c)과 마찰각(
)은 각각 1.27MPa~9MPa, 40.5°~44.3°의 범위로 나타났으며, 심도에 따라 점착력(c)은 전반적으로 증가하는 경향을 나타내었고 마찰각(
)은 감소하는 경향을 나타내었다. 추후 보다 많은 사례 연구를 통해 Haberfield와 Johnston(1990) 방법의 적용성을 평가하는 것이 필요할 것으로 판단된다.
(3)공내전단시험을 통해 평가한 풍화암의 마찰각(
)은 15.4°~29.3°의 범위로 매우 느슨한 사질토와 유사하게 산정되어 풍화암의 전단강도를 평가하기에 부적절한 것으로 판단된다. 마찰각을 과소평가하게 된 원인은 전단플레이트(shear plate)의 관입압 부족으로 풍화암과 전단플레이트(shear plate) 사이의 접촉면 마찰각(Interfacial friction angle)을 측정한 것으로 추정된다. 추후, 풍화암의 전단강도 정수를 평가하기 위한 공내전단시험기의 개선이 필요할 것으로 판단된다.
(4)풍화암의 심도에 따른 화학적 풍화지수를 평가한 결과 MWPI, SAR, CIA는 심도와의 상관도(R2≓0.07)가 매우 낮아 특별한 경향이 나타나지 않은 것으로 판단하였다. VR의 경우 다른 화학적 풍화지수에 비해 심도와의 상관도(R2≓0.44)가 비교적 우수하였다.
(5)VR과 풍화암 층의 시추공 시험 결과에 대한 상관관계를 분석한 결과 Downhole test를 통해 산정된 전단파 속도(vs)는 VR이 증가함에 따라 감소하는 일반적인 경향을 나타내었다. 이외의 화학적 풍화지수와 시추공 시험 결과의 상관도는 매우 낮아 특별한 경향이 나타나지 않은 것으로 판단된다.













