1. 서론
2. 기존의 강도 추정식
3. 시험 개요
3.1 실험 재료
3.2 현탁액 배합
3.3 시료 조성
3.4 블리딩 실험
3.5 점도 실험
3.6 일축 압축 실험
4. 시험 결과
4.1 시멘트 현탁액의 블리딩 및 점도
4.2 마이크로 시멘트로 그라우팅 된 모래의 일축압축강도
4.3 마이크로 시멘트로 그라우팅 된 모래의 일축압축강도 추정
5. 결론
1. 서론
그라우팅 공법은 고결성 용액을 지반의 공극에 주입시킴으로써 지반의 강도와 강성을 증가시키고 투수계수, 지반의 침하를 감소시키는 공법이다. 그라우팅 공법의 종류에는 할렬 그라우팅, 압밀 그라우팅, 침투 그라우팅 등이 있다. 이중 침투 그라우팅 공법은 낮은 점도의 주입액과 1MPa 이하의 주입압력으로 원지반의 입자 배열을 변화시키지 않으면서 지반의 공극 속으로 고결성 용액을 주입시키는 공법으로 액상화 및 사면붕괴 방지를 위해 지반 저항력을 향상시키고 기초 및 터널 등 지반 구조물에서 지반보강의 목적으로 널리 사용되고 있다(Zebovitz et al., 1989; Pantazopoulos et al., 2012; Sayehvand and Kalantari, 2012).
투수성이 큰 자갈이나 사질토 지반의 경우, 보통 포틀랜드 시멘트(ordinary portland cement, OPC)를 이용한 침투 그라우팅이 주로 사용되고 있다. 하지만 OPC의 입자크기는 약 15μm∼80μm 정도로 공극의 크기가 작아 투수성이 낮은 실트질 지반의 경우 OPC의 주입이 제한적이다. 국내에서도 1980년대부터 주입성 향상을 위하여 다양한 종류의 마이크로 시멘트를 개발하였으며, 최근 들어 최대 입경 16μm 및 비표면적 860m2/kg 이상인 마이크로 시멘트가 상용화되고 있다. KS의 경우 마이크로 시멘트에 대한 별도의 규격이 없으나, 영국표준협회(British Standards, BS EN 12715, 2000)의 경우 마이크로 시멘트의 특성을 비표면적 800m2/kg 이상, 통과백분율 95%에 해당하는 입자크기가 20μm 이하로 규정하고 있으며, 미 콘크리트 협회(American Concrete Institute, ACI)의 경우에는 통과백분율 95%에 해당하는 입자크기가 16μm 이하인 시멘트를 마이크로 시멘트로 규정하고 있다(Perret et al., 2000). 마이크로 시멘트는 OPC보다 블리딩 및 유동학적 특성에서 장점을 가지며, 약액 주입공법의 문제점인 지반/지하수 오염과 시간에 따른 강도 저하 현상을 보다 경제적이고 효율적으로 해결할 수 있다(Warner, 2003; Dano et al., 2004; Mollamahmutoglu and Yilmaz, 2011).
그라우팅 공법이 적용된 지반의 보강효과를 판단하기 위하여 시추 작업으로 현장 시료를 채취하고, 실내 일축 압축 실험을 통한 압축 강도 측정법이 널리 실시되고 있다(Clough et al., 1979; Christopher et al., 1989; Ozgurel and Vipulanandan, 2005). 하지만 시추작업은 시공비가 비싸며 원지반의 교란이 발생할 뿐만 아니라, 시편 준비에 많은 시간이 소요된다는 문제점이 있다. 이러한 단점을 보완하기 위하여 많은 연구자들이 그라우팅 된 모래의 일축압축강도를 추정하는 경험식이 제시하였다. 그러나 기존의 그라우팅 된 모래의 일축압축강도 추정식은 대부분 물/시멘트(water/cement, W/C) 비만의 함수로 이루어져 있어, 그라우팅 된 모래의 일축압축강도에 영향을 주는 복합적인 인자들인 W/C, 상대밀도 (Dr), 모래의 입자크기 등을 포괄적으로 고려하지 못하는 한계점이 있다.
본 연구에서는 평균 입경(D50)이 서로 다른 모래를 사용하여 물/시멘트 비(W/C=1.0, 1.5, 2.0), 상대밀도(Dr=30%, 50%, 70%), 그리고 양생기간을 변화시키며 마이크로 시멘트로 그라우팅 된 모래의 일축압축강도(Unconfined compressive strength, UCS)를 평가하였다. 또한, 현탁액의 특성인 W/C 비 및 양생기간과 모래의 특성인 상대밀도 및 모래의 입자크기를 고려한 마이크로 시멘트로 그라우팅 된 모래의 28일 일축압축강도 관계식을 제안하고자 한다.
2. 기존의 강도 추정식
기존의 연구들에 의하면 마이크로 시멘트로 그라우팅 된 모래의 일축압축강도는 물/시멘트(W/C) 비(Dano and Hicher, 2002), 양생기간, 상대밀도(Avci and Mollamahmutoglu, 2016), 모래의 입자크기(Zebovitz et al., 1989, Avci and Mollamahmutoglu, 2016), 시멘트의 비 표면적(specific surface)(Markou and Droudakis, 2013) 등에 영향을 받으며, 상대밀도나 모래의 입자크기 등과 비교하여 W/C 비가 그라우팅 된 모래의 일축압축강도를 지배하는 요소로 알려져 있다.
Table 1은 기존 연구자들이 제시한 그라우팅 된 흙의 일축압축강도 경험식을 보여준다. Dano et al.(2004)은 Dr=78%에 해당하는 Fontainebleau 모래에 마이크로 시멘트를 주입하여, W/C 비에 따른 일축압축강도 추정식을 제시하였으나, 모래의 특성인 상대밀도나 모래의 입자크기 등을 고려하지 못하였다. Ozgurel and Vipulanandan (2005)은 아크릴아미드(acrylamide)로 그라우팅 된 모래의 일축압축강도를 순수한 약액의 일축압축강도(UCSpure)와 모래의 통과백분율 10%의 해당하는 입자크기(D10)의 곱으로 나타내었다. 하지만 현탁액의 특성인 W/C 비를 고려하지 못한다는 한계점이 있다. 또한 Sunitsakul et al.(2011)은 W/C 비와 CBR(california bearing ratio)을 이용하여 고결된 지반의 7일 일축압축강도를 제안한 바 있다. 반면 Markou and Droudakis(2013)은 다양한 순수 모래의 투수계수(permeability coefficient, kcs)를 이용하여 그라우팅 된 모래의 일축압축강도를 제시하였다.
3. 시험 개요
3.1 실험 재료
본 연구에서는 입자크기에 따른 그라우팅 된 모래의 일축압축강도 변화를 관찰하기 위하여 평균 입경(median particle size, D50)이 서로 다른 3종류의 인공 파쇄사를 사용하였으며, 시중에서 판매되고 있는 S사의 마이크로 시멘트를 사용하였다. 모래와 마이크로 시멘트의 입도분포는 Fig. 1과 같다. 인공 파쇄사는 통일분류법(unified soil classification system, USCS)에 따라 SP로 분류되었다(ASTM D2488, 2009). 사용된 모래의 비중은 2.65이며, D50 각각 1.01mm, 0.8mm 그리고 0.47mm이다(Table 2). 마이크로 시멘트의 통과백분율 95% 해당하는 입자크기는 16μm이하이고 비 표면적은 860m2/kg로 BS와 ACI의 마이크로 시멘트 기준을 모두 만족시켰다.
3.2 현탁액 배합
W/C가 3이상의 빈배합 현탁액의 경우, 큰 블리딩 현상과 낮은 강도의 발현으로 그라우팅에 사용이 금지되어 있다(Markou and Droudakis, 2013). 또한 W/C가 1보다 낮은 현탁액을 투수계수가 낮은 지반에 주입하면 필터레이션(filtration) 현상(Markou and Droudakis, 2013) 또는 폐색(clogging) 현상(Bruce et al., 1997)이 발생할 가능성이 있다. 따라서 본 연구에서는 W/C의 변화에 따른 그라우팅 된 모래의 일축압축강도를 평가하기 위하여 W/C=1.0, 1.5, 2.0의 3가지 현탁액을 준비하였으며, 블리딩 감소를 위하여 벤토나이트(Kanto chemical company, Japan)를 첨가하였다(De paoli et al., 1992; Chun et al., 2000). Schwarz and Krizek(2000)는 동일한 W/C에서도 벤토나이트 첨가 방법, 순서, 양 등에 따라 그라우팅 된 모래의 일축압축강도, 투수계수 등이 변화한다고 보고하였다. 따라서 본 연구에서는 제작된 시료의 동일성과 실험의 반복성 확보를 위하여 다음의 순서로 현탁액 조성하였다: 1) W/C=1.0, 1.5, 2.0의 조건에 맞추어 선계산 된 총 물 무게의 70%에 해당하는 물에 마이크로 시멘트를 넣고 600rpm의 속도로 5분간 교반하였다; 2) 나머지 30%의 물에 벤토나이트를 섞어 벤토나이트 입자들이 충분히 물을 머금을 수 있게 10분 이상 방치 한 후, 기존에 배합된 그라우팅액과 혼합하여 5분 동안 추가 교반하였다; 3) 배합이 완료된 현탁액은 시멘트와 물의 분리방지를 위해 그라우팅 탱크(Fig. 2(a)) 내에서 120rpm을 유지하여 교반하였다. 경화현상을 방지하기 위해 모든 시료에 시멘트 현탁액을 배합 후 20분 내 주입을 완료하였다.
3.3 시료 조성
Fig. 2(a)와 같이 그라우팅 된 모래 시료 제작을 위하여 지름 50mm, 높이 450mm인 아크릴 몰드를 사용하였고, 몰드의 내부에는 윤활류를 뿌려 경화 후 시료 분리를 용이하게 하였다. 현탁액 주입 시 시료의 분리현상을 방지하고 시멘트 현탁액이 균일하게 주입하기 위하여 시료의 최하부 및 상부에 높이 1cm의 자갈층과 철망을 설치하였다. 균질하고 완전히 포화된 시료를 조성하기 위하여 수중 낙사법을 사용하였다. 수중 낙사법은 탈기수에 시료를 낙하시키는 방법으로 건조낙사법 보다 낮은 상대밀도의 시료를 조성하는데 용이하다(Vaid and Nequssey, 1984). 먼저, 몰드 내부에 몰드 부피의 1/3에 해당하는 탈기수를 채운 후 깔때기를 사용하여 모래 시료를 균질하게 낙사 시켜 상대밀도 30%인 시료를 조성하였다. 상대적으로 높은 상대밀도의 시료를 조성 시에는 목표 상대밀도에 도달할 때까지 시료 내 기포 발생에 유의하면서 고무망치를 이용하여 낙사와 동시에 몰드에 진동을 가하여 밀한 시료를 조성하였다. 조성된 시료의 상대밀도 및 입자크기에 따라 50kPa~500kPa의 주입 압력으로 계산된 시료 내부 공극 부피의 2배에 해당하는 물과 시멘트 현탁액이 배출될 때까지 시멘트 현탁액을 주입하였다(Dano et al., 2004; Murat and Eyubhan, 2015). 시멘트 현탁액이 주입된 시료는 초기 3일간 습도 99%, 온도 23℃인 항온항습 조건에서 습윤 양생을 실시한 후, 몰드에서 분리하여 지름 50mm, 높이 110mm로 절단하였다. 제작된 시료의 균질성을 확인하기 위하여 몰드 내 높이별로 절단된 시료에 상, 중, 하를 표시한 후, 각각 7일, 14일, 28일, 그리고 56일 동안 수중양생을 실시하였다.
3.4 블리딩 실험
W/C가 높은 현탁액에서는 시멘트와 물이 분리되는 블리딩 현상이 발생한다. 블리딩은 현탁액의 안정성을 평가하는 지표로 사용되며, 시멘트의 비 표면적과 W/C의 영향을 받는다(Dano et al., 2004; Markou and Droudakis, 2013). 시멘트 현탁액의 블리딩 높이를 관찰하기 위하여 1000ml 용량의 메스실린더에 800 ml의 현탁액을 채운 후, 초기 1시간은 15분 간격으로 블리딩을 측정하였다. 1시간 이후에는 현탁액이 안정될 때까지 한 시간 간격으로 블리딩을 측정하였다(ASTM C940, 2010).
3.5 점도 실험
현탁액을 지반에 주입하면 주입 압력에 의해 높은 전단 변형이 생기며, 상대적으로 높은 전단 변형에서 현탁액의 점도는 일정한 정상상태(steady state)에 도달하게 된다. 이때의 점도를 현탁액의 겉보기 점도(apparent viscosity)로 정의한다. 현탁액의 점도는 W/C, 벤토나이트 첨가량, 첨가 방법 등에 의해 영향을 받으며(Eklund and Stille, 2007), 현탁액의 침투능(penetration capacity)에 영향을 미친다고 알려져 있다(Yoon and Mohtar, 2014).
본 연구에서는 현탁액의 점도를 추정하기 위하여 길이 14mm, 두께 1mm, 높이 30mm의 베인 형태 레오메타(Rheometer, Merlin VR)를 이용하였다. W/C=1.0, 1.5, 2.0 및 벤토나이트 함유량(시멘트 무게의 3% 및 5%) 따른 현탁액의 점도를 측정하였다. 현탁액의 점도는 온도에 민감하기 때문에 모든 실험은 23℃(±0.05℃) 조건에서 실시하였다.
3.6 일축 압축 실험
최대하중 10kN인 일축압축강도 시험기를 이용하여 양생된 시료의 일축압축강도를 측정하였다. 일축 압축 실험 시 시료 표면에 균일하게 응력을 재하하기 위하여 양생이 완료된 시료의 상/하부에 스테인리스와 네오프렌으로 제작된 비 접착식 캡을 사용하였다(ASTM C1231, 2015). 일축 압축 실험은 1mm/min의 속도로 하중을 재하하여 시료가 파괴될 때까지 실시하였으며, 응력-변형률 곡선에서 응력의 최댓값을 일축압축강도로 산정하였다. 마이크로 시멘트로 그라우팅 된 모래의 일축압축강도는 세 개의 시료의 평균값으로 산정하였다. 본 연구에서 실시한 일축 압축 실험조건은 Table 3과 같다.
4. 시험 결과
4.1 시멘트 현탁액의 블리딩 및 점도
W/C와 벤토나이트 첨가량에 따른 현탁액의 블리딩 양을 측정한 결과는 Fig. 3과 같다. 블리딩은 W/C가 증가할수록 선형적으로 증가하는 경향을 보였다. 벤토나이트를 3% 첨가한 현탁액의 경우 벤토나이트를 첨가하지 않은 현탁액 보다 W/C=1.5, 2.0, 그리고 3.0에서 블리딩이 감소하는 경향을 보였다. 이는 벤토나이트와 시멘트 입자간의 전기화학적인 반발력에 의한 것으로 판단된다(Chun et al., 2000).
W/C와 벤토나이트 첨가량에 따른 현탁액의 점도는 Fig. 4와 같다. W/C가 낮아질수록 벤토나이트의 첨가 유무에 상관없이 동일한 시멘트 양에 대한 첨가한 물의 양이 줄어들게 되므로 현탁액의 점도는 비선형적으로 증가하는 경향을 보였다. 또한 벤토나이트 함유량이 증가할수록 현탁액의 점도는 증가는 경향을 보였는데 이는 벤토나이트와 시멘트 입자 간의 전기화학적인 반발력이 커져 입자의 분산이 향상되어 경화 속도가 촉진되며, 벤토나이트의 팽윤성 때문에 현탁액의 전단저항력이 커지기 때문이다(Chun et al., 2000). 일반적으로 시멘트 현탁액의 블리딩양을 줄이기 위하여 시멘트 무게의 1~5%의 벤토나이트를 첨가한다(Henn et al., 2003). 하지만 Fig. 3과 같이 3%와 5%의 벤토나이트 첨가량에 따라 블리딩양에서는 큰 차이를 보이지 않으나, Fig. 4와 같이 벤토나이트 양이 증가할수록 시멘트 현탁액의 점도가 크게 증가하는 경향을 보여, 본 연구에서는 블리딩의 양과 점도를 고려하여 시멘트 무게의 3%에 해당하는 벤토나이트를 현탁액에 첨가하였다(Gustin et al., 2007).
4.2 마이크로 시멘트로 그라우팅 된 모래의 일축압축강도
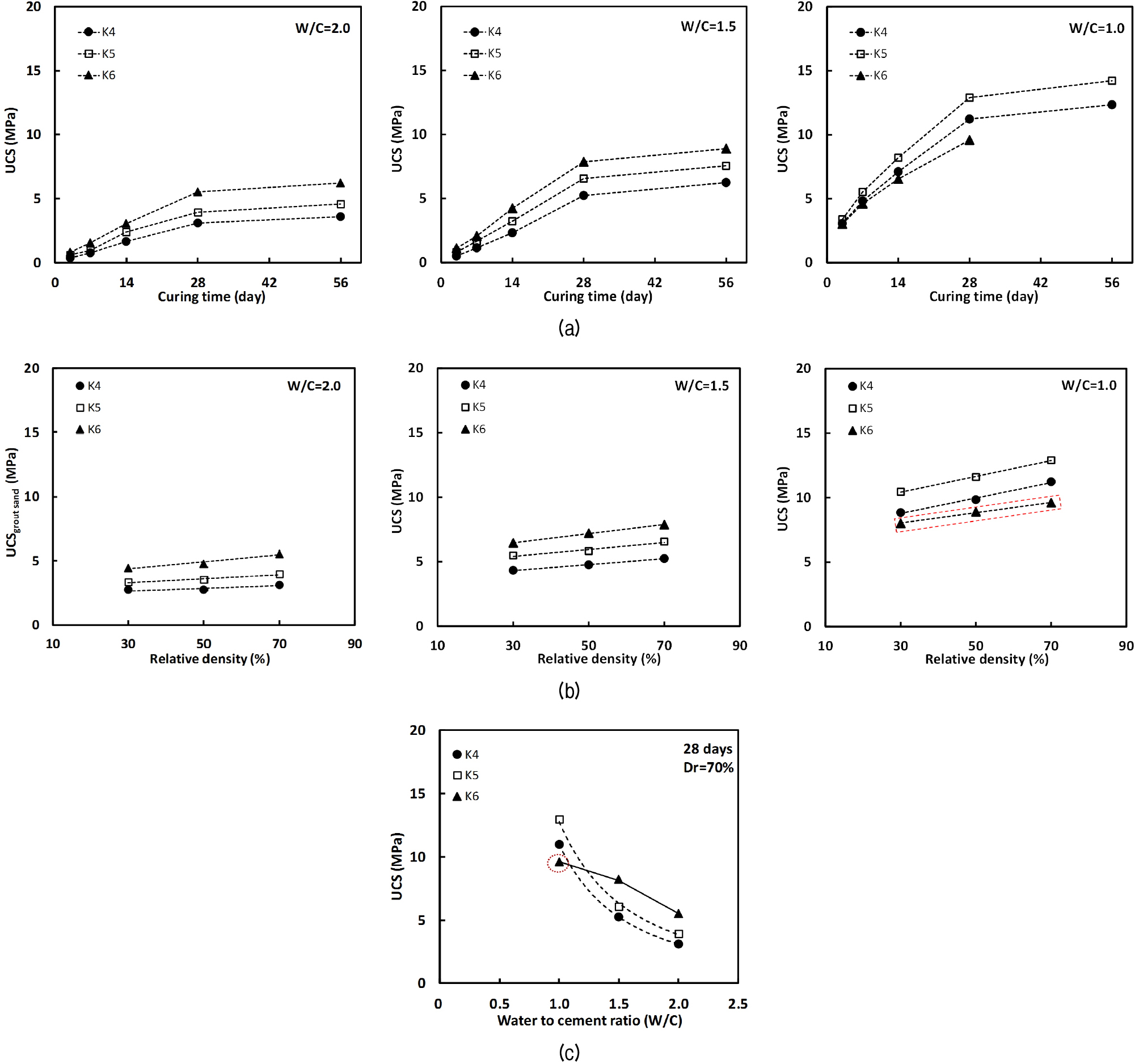
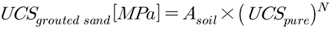
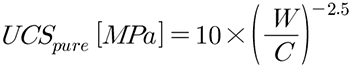
마이크로 시멘트로 그라우팅 된 모래의 양생 기간에 따른 일축압축강도는 Fig. 5(a)와 같다. 모래의 평균 입경에 상관없이 모든 W/C 비에서 일축압축강도는 현탁액의 경화현상에 의해 28일까지는 선형적으로 증가하는 경향을 보인 후 시간의 증가에 따라 수렴하는 경향을 보였다. W/C는 그라우팅 된 모래의 일축압축강도에 가장 큰 영향을 미치는 인자로 알려져 있다(Zeboviz et al., 1989; Dano et al., 2004). Fig. 5(b)는 실험에 사용된 모든 모래에서 상대밀도 및 W/C 변화에 따른 일축압축강도를 보여준다. 양생된 모래의 28일 강도는 모든 W/C 조건에서 상대밀도가 증가함에 따라 선형으로 증가하는 경향을 보이며, W/C가 작아질수록 상대밀도에 따른 일축압축강도의 기울기는 점차 증가는 경향을 보인다. 이는 상대밀도가 증가할수록 공극의 크기가 작아지기 때문에 단위 부피당 평균 입자 간 접촉 수(coordination number)가 많아지게 되어 모래 입자 사이의 마찰력이 증가하기 때문이다(Clough et al., 1981; Dano et al., 2004; Avci and Mollamahmutoglu, 2016). W/C=1.5 및 2.0의 경우, K4와 K5와 비교하여 상대적으로 입자크기가 작은 K6의 일축압축강도가 동일한 상대밀도에서 더 큰 값을 보이는데, 이는 미립자(finer particle)의 성분이 많을수록 입도 분포가 좋아지기 때문에 입자와 입자 간 접촉점이 많아져 일축압축강도가 증가하기 때문이다(Zebovitz et al., 1989; Ismail et al., 2002). 그러나 W/C=1.0 경우, K6의 일축압축강도가 K4와 K5의 일축압축강도보다 작은 값을 보이는데, 이는 K4와 K5에 비하여 상대적으로 시료 내 공극의 크기가 작은 K6에 점도가 큰 현탁액(W/C=1.0)이 주입됨으로써, 주입 압력에 의한 필터레이션 현상이 일어나 현탁액이 적절히 주입되지 않은 것으로 판단된다(Suat and Ahmet, 2002; Eklund and Stille, 2008). 현탁액의 주입성은 W/C 비의 영향에 크게 받으므로 시공 전 적절한 배합이 요구된다. Fig. 5(c)는 Dr=70% 시료의 W/C 비에 따른 그라우팅 된 모래의 28일 일축압축강도를 나타낸다. 그라우팅 된 모래의 일축압축강도는 W/C 비가 낮아질수록 비선형적으로 증가하였다. K4와 K5의 경우 W/C 비가 낮아질수록 일축압축강도가 지수적으로 증가하는 경향을 보였는데, 이는 높은 W/C 비에서는 현탁액의 경화 과정에서 대부분의 시멘트 입자가 모래 표면에 흡착되어 강도의 증가에 큰 영향을 미치지 못하지만, 낮은 W/C 비의 경우 충분한 시멘트 입자가 공극 사이에서 경화되어 입자 간 접촉면적을 증가시켜 일축압축강도가 지수적으로 증가한 것으로 판단된다(Markou and Droudakis, 2013; Choo et al., 2017). 반면, K6의 경우 앞서 언급한 바와 같이 필터레이션 현상으로 강도의 지수적 증가 경향이 관찰되지 않았다. 이러한 현상은 상대밀도 30% 및 50%의 시료에서도 동일하게 관찰되었다.
4.3 마이크로 시멘트로 그라우팅 된 모래의 일축압축강도 추정
Kaga and Yonekura(1991)은 그라우팅 된 모래의 28일 일축압축강도를 추정하기 위하여 그라우팅 된 모래의 일축압축강도(UCSgrouted sand)를 고결된 현탁액의 일축압축강도(UCSpure) 및 흙의 특성을 반영한 계수(Asoil)의 함수와 그라우팅 되지 않은 흙의 일축압축강도 (B)의 합으로 표현하였다(Eq. (1)):
(1)
여기서 N은 실험적으로 결정되는 지수이다.
본 연구와 같이 모래 시료의 경우 점착력이 존재하지 않으므로 Eq. (1)의 B 값은 0이다. Fig. 6과 같이 W/C에 따른 28일된 고결된 현탁액의 일축압축강도인 UCSpure를 도시하면, Dano et al.(2004)의 결과와 유사하게 UCSpure는 W/C가 증가함에 따라 비선형적으로 감소하는 관계(Eq. (2))를 보인다(Fig. 7):
(2)
Fig. 7은 각 시료별로 그라우팅 된 모래의 일축압축강도(UCSgrouted sand)와 고결된 현탁액의 일축압축강도(UCSpure)의 변화를 보여준다. UCSgrouted sand는 모래의 입경 변화에 관계없이 W/C의 변화로 인한 UCSpure가 증가함에 따라 증가하는 경향을 보였으며, 동일한 입경의 시료에서는 시료의 상대밀도가 증가함에 따라 증가하는 경향을 보였다. Eq. (2)를 Eq. (1)에 대입하여 얻은 Eq. (3) 및 Fig. 8과 같이 UCSgrouted sand와 UCSpure는 멱함수의 관계를 보였다.
(3)
Eq. (3)에서 지수 N은 UCSpure에 따른 UCSgrouted sand 변화의 민감도를 나타낸다. Kaga and Yonekura(1991)는 3종류의 모래에 대해 물-유리계 그라우팅을 실시하고 실험 결과를 바탕으로 지수 N이 공극을 대변하는 특성인 상대밀도(Dr)와 선형 함수 관계인 N = 0.727-0.2×Dr의 관계를 제안하였으나, 본 연구에서는 상대밀도에 따른 지수 N의 변화는 미미하였다. 그라우팅 시 현탁액은 시료 내 공극을 채우게 되므로 지수 N은 간극비에 영향을 받으며, 동일한 간극 부피에서도 모래 입자의 입경 크기에 따라 시료 내 간극의 크기가 변화하므로 지수 N은 Fig. 8과 같이 N = -0.3×(n/D50)+0.85의 관계를 보였다. 단, 필터레이션이 발생한 경우는(i.e., K6, W/C=1) 현탁액의 높은 점도로 인하여 일축압축강도가 충분히 발휘되지 못하므로 지수 N과 Asoil 추정 시 제외하였다.
Asoil의 경우, 상대밀도, 모래의 입자크기나 비표면적, 흙의 광물학적 특성(mineralogy)에 영향을 받는 것으로 알려져 있다(Kaga and Yonekura, 1991; Dano et al., 2004). 양생기간에 따른 고결된 모래와 현탁액의 일축압축강도를 도시하면 Fig. 7과 같다. Fig. 7의 결과로부터 획득한 상대밀도에 따른 각 시료의 Asoil값을 Table 4에 정리하였다. Asoil의 경우 상대밀도가 증가하고 모래의 입경이 작아질수록 입자 간 접촉 수가 많아져 마찰력이 증가하기 때문에, 상대밀도가 커지고 모래의 입자크기가 작아질수록 커지는 경향을 보였다. 따라서 Asoil을 입자크기를 대변하는 평균 입경(D50, median particle size)과 상대밀도를 대변하는 간극률(n, porosity)의 함수로 표현할 수 있다. D50과 n의 변화가 동시에 Asoil에 영향을 미치는 영향을 분석하기 위하여 다중 회귀 분석(multiple regression analysis)을 실시하고, Asoil과 D50 및 n의 관계를 Fig. 9 및 Eq. (5)와 같이 결정하였다. 이때 추후 제안된 식의 검증을 위하여 K4 시료의 Dr=50%의 일축압축강도 결과를 제외하였다.
(5)
Avci and Mollamahmutoglu(2016)의 연구 결과와 유사하게 Asoil은 간극률(n)보다 평균 입경(D50)에 더 큰 영향을 많이 받으며, 이는 앞서 언급한 그라우팅 된 모래의 일축압축강도의 영향요인 분석 결과와 일치한다. Eq. (4)과 Eq. (5)을 결합하여 D50, n, 그리고 W/C 비를 이용하여 그라우팅 된 모래의 28일 일축압축강도 추정식을 Eq. (6)과 같이 제안하였다:
(6)
여기서 N = -0.3×(n/D50)+0.85이다.
Fig. 10과 같이 측정값과 Eq. (6)에 의해 마이크로 시멘트로 그라우팅 된 모래의 일축압축강도를 추정한 결과 두 값이 매우 잘 일치함을 알 수 있었으며, 제외한 K4시료 Dr=50%의 일축압축강도 또한 잘 일치하였다(R2=0.990). 그러나, 마이크로 시멘트로 그라우팅 된 모래의 일축압축강도는 사용된 모래의 광물학적 특성, 입자의 모양 등에 영향을 받을 것으로 판단되며, 추가적인 연구가 필요하다.
5. 결론
본 연구에서는 다양한 입자크기를 가지는 모래를 서로 다른 상대밀도로 조성하고 마이크로 시멘트로 그라우팅 한 후 일축압축강도 실험을 실시하였다. 실험결과를 바탕으로 그라우팅 된 모래의 일축압축강도 추정식을 제시하였다. 추정식 제안을 위하여 현탁액의 블리딩 실험과 점도 실험을 실시하여 현탁액의 안정성과 점도를 평가하였다. 또한 마이크로 시멘트로 그라우팅 된 모래의 일축 강도에 미치는 영향요인을 비교 분석하였으며, 본 연구의 주요 결과는 아래와 같다.
(1) 블리딩은 W/C 비가 증가할수록 선형적으로 증가하였으며, 벤토나이트를 첨가한 현택액의 경우 벤토나이트를 첨가하지 않은 현탁액보다 블리딩이 감소하였다. W/C가 낮아질수록 벤토나이트의 첨가 유무에 상관없이 동일한 시멘트 양에 대한 첨가한 물의 양이 줄어들게 되므로 현탁액의 점도는 비선형적으로 증가하는 경향을 보였다. 또한 벤토나이트 함유량이 증가할수록 현탁액의 점도는 증가는 경향을 보였는데 이는 벤토나이트와 시멘트 입자간의 전기화학적인 반발력에 의한 것으로 판단된다.
(2) 마이크로 시멘트로 그라우팅 된 모래의 일축압축강도는 W/C에 가장 큰 영향을 받았으며, W/C가 낮아짐에 따라 비선형적으로 증가하였다. 또한, 모든 W/C에서 상대밀도가 증가할수록 마이크로 시멘트로 그라우팅 된 모래의 일축압축강도는 선형적으로 증가하였다.
(3) 모래의 입자크기가 작아질수록 입자 간 접촉점이 많아져 마찰력이 증가하여 마이크로 시멘트로 그라우팅 된 모래의 일축압축강도가 증가하였으나 W/C=1.0에서 K6호사의 일축압축강도는 K5와 K4의 일축압축강도보다 낮은 경향을 보였다. 이는 상대적으로 작은 공극을 가지고 있는 K6 모래에 점도가 큰 현탁액이 주입됨으로써, 높은 주입압력에 의한 필터레이션 현상이 일어난 것으로 판단된다.
(4) 마이크로 시멘트로 그라우팅 된 입경이 다른 모래의 일축압축강도를 W/C 비, 모래의 평균 입경, 그리고 간극률의 함수로 나타내었다. 그라우팅 된 모래의 일축압축강도 추정식을 제시하였으며 예측된 일축압축강도와 측정된 일축압축강도는 잘 일치하였다.















