1. 서 론
2. 압밀이론
2.1 Terzaghi의 1차원 압밀이론
2.2 현장 계측자료에 의한 침하예측 이론
2.3 현장 계측자료에 의한 새로운 침하예측 이론
3. 현장계측 분석결과
3.1 연구 대상 지역
3.2 P-1-1 계측 구간 지층 구성 및 토질특성
3.3 P-1-1 계측 구간 계측현황 및 분석
4. 현장계측기를 이용한 e-log p' 분석
4.1 P-1-1 구간 현장계측기를 이용한 e-log p' 고찰
4.2 P-1-1 구간 성토형태별 e-log p' 고찰
4.3 실내시험 및 현장계측자료의 e-logp 비교 분석
4.4 최종 침하량 분석
5. 결 론
1. 서 론
연약지반의 압밀 문제는 오랫동안 연구의 대상이었으며, 현재까지도 지속적으로 연구되고 있다. Terzaghi(1925)의 일차원 압밀이론이 발표된 이후, Casagrande(1936)가 제안한 선행압밀하중의 결정법, Skempton and Jones(1944)에 의한 액성한계와 압축지수와의 관계 등의 제안, Taylor(1942)의 압밀계수의 결정 방법이 제안됐다. 또한 Mikasa(1963)와 Gibson et al.(1967)의 유한변형률 압밀이론, 응력경로법, 탄성이론, 유한요소법 등 여러 방법이 제시되었다.
근래에 들어 침하 시간에 관해서는 많은 연구가 진행되어 설계단계에서부터 실측값과 유사한 압밀시간을 예측할 수 있는 많은 방법이 제안되기도 하였으며(Rendulic, 1935; Carrillo, 1942; Barron, 1948; Yoshikuni and Nakanodo, 1974; Hansbo, 1981; Onoue, 1988a, 1988b; Zeng and Xie, 1989; Lo, 1991; Chung et al., 2009), 국내에서도 많은 연구자들이 연약지반 압밀에 대한 침하특성 및 침하량 예측에 관한 연구를 수행하였으나(Lee et al., 1997; Yoon et al., 2007; Lee, 2008; Park, 2009; Ryu, 2012; Cha, 2013; Kwon, 2014), 이들 연구는 연약지반 개량 과정에서 발생하는 침하예측에 국한된 연구이다.
침하해석법의 이론적 발달에도 불구하고 해석법의 매개변수는 현장에서는 물론이고 실험실 수준에서조차 결정하기 매우 어려우므로 아직도 연약지반의 침하해석에는 비교적 간략한 방법인 Terzaghi의 일차원 압밀이론과 Barron의 압밀이론이 적용되고 있다. 따라서 압밀침하 해석 결과는 방법상의 제한, 매개변수의 불확실성 등에 의해서 실제와 차이가 발생하는 것은 불가피하다.
이러한 문제들 때문에 현장 침하량 실측치를 이용한 침하량 예측기법이 사용되고 있으며, 실측자료를 이용한 압밀침하량 추정방법을 이용하면 토질 특성의 다양성, 하중의 크기와 분포의 불확실성 등이 최소화되어 실제 침하량을 더욱 잘 예측할 수 있다.
실측지에 의한 침하량의 예측 기법은 크게 1) 통계적 방법, 2) 도형적 방법, 3) 실뮬레이션 방법으로 나눌 수 있으며, 일반적으로 쌍곡선(Hyperbolic method), 성구법(Hoshino method), 천강법(Asaoka method), 문전법, log-t법 등이 사용되고 있다. 장기침하량 예측법을 사용하여 신뢰성이 높은 침하예측을 위해서는 그 예측법의 신뢰성을 파악하는 것이 필요하나, 이에 관하여 검토한 사례는 적다.
Mesri(1973), Mesri and Rokhsar(1974), Mesri and Godlewski(1977), Mesri and Choi(1985), Mesri et al.(2001)은 일차원 압밀시험을 통한 이차압축지수와 응력 레벨의 무관함을 주장하였고 퇴적지반의 수정 이차압축지수의 영역이 0.1~10%의 범위에 있으며, 일차압축지수에 대한 이차압축지수의 비가 일정함을 밝혔다. 또한, 일차압밀이 클수록 이차압축량도 크다고 분석하였고, 수정 이차압축지수에 영향을 주는 인자들 가운데 특히 선행압축, 지속 하중 및 온도의 영향이 매우 크다고 주장하였다.
Yoshikuni et al.(1994, 1995)은 과잉간극수압은 외부 하중뿐만 아니라 응력 완화에 의해서도 유발되며, 압밀은 과잉간극수압의 단순한 소산 과정이 아니라 배수에 의한 간극수압의 소산과 점소성 변형에 의한 생성의 복합적인 과정이라고 하였다.
Yin and Graham(1989, 1994)은 실내시험 및 점소성 크리프 수치모델을 이용한 결과를 토대로 이차압축에 의한 침하량은 끝이 있으며 대수함수로 표현하는 이차압축은 장기압밀을 평가하는데 있어서 한계가 있다고 주장하였다. 즉 시간이 무한하면 침하가 계속 발생하므로 이러한 한계를 극복하기 위해서는 쌍곡선 함수를 이용하여 이차압축을 평가해야 한다고 하였다.
Baker and Crosbie(1994)는 무처리 연약지반 위에 3m와 6m의 성토를 한 후 Asaoka 법을 적용한 결과, 30일 간격으로 1년간 계측한 압밀침하량 계측치는 좋은 예측 결과를 주나 성토가 높은 경우에는 측방 변위의 영향으로 침하율을 30% 과대하게 추정되었다고 발표하였다.
최근 Sun et al.(2024)는 존 침하예측법의 한계(침하량만 고려, 지반 특성 미반영)를 극복하기 위해 머신러닝 기반 예측 모델 개발로 기존 관측방법 보다 우수한 예측 정확도를 확인하였으며, Sharma et al.(2025)는 머신러닝 기반 성토체 침하예측을 통해 전통적 회귀 모델 대비 20-30% 오차 감소 가능한 예측 기법을 제시하였다.
지금까지의 연약지반의 침하량 예측 방법이 침하 경향을 쌍곡선이나 평방근()으로 가정함으로 이론적 배경이 빈약하고 토질역학 압밀이론의 간극수압의 소산 과정을 적용하지 않아 압밀도와 유효응력 증가에 대한 평가가 매우 어려웠다.
새로운 침하예측법은 간극수압계와 층별침하계를 동시에 하나의 자료에 취합하고 간극수압의 소산 과정과 이에 따른 유효응력 증가와 간극비의 감소 과정을 하나의 그래프 즉 e-log p' 도표에 도시하여 현장 토질특성인 압축지수(), 재압축지수, 선행압밀응력을 규명하고 이에 따른 각 하중에 따른 단계별 침하량을 규명하는데 있다.
본 연구에서는 간극수압계 및 침하계를 활용하여 압밀 특성에 대해 분석하였다. 국내 OO지구 단지 조성공사에서 계측하였던 간극수압계와 층별 침하계를 설치함으로써 실내시험(e-log)의 그래프에 간극수압계()를 이용하여 e'-log p'에 도시하였다. 간극수압()을 배제한 전응력경로 e-log p 곡선을 조기에 분석하여 현장 토질특성인 재압축지수(), 선행압밀하중(), 압축지수()을 검토하였으며, 향후 추가 유효상재하중에 대한 침하량과 침하 대기 기간을 예측하는 기법을 연구 분석하였다.
2. 압밀이론
2.1 Terzaghi의 1차원 압밀이론
포화된 지반이 하중을 받으면 하중은 간극수압을 유발하여 정수압보다 커지므로 물은 흐르기 시작하는데 하중에 의해 생긴 간극수압을 과잉간극수압이라 한다, 물의 흐름은 과잉간극수압이 완전히 소산되어 정수압 상태로 돌아올 때까지 계속되며 이때 배출된 물의 부피만큼 지반은 침하하게 된다. 이러한 현상을 압밀현상이라 하며 포화 점토 지반에서 최종 침하량과 침하 속도를 규명하는 것이다.
Fig. 1(a)와 같이 점토층 웟면을 좌표의 원점으로 잡고 수직 하향으로 z 축을 잡는다. 점토층 하반부에 그림과 같이 ()인 미소 요소를 생각하되 이 요소의 웟변 좌표가 z 아랫변은 z+dz 로 한다. 물은 유속 로 요소의 웟면에서 이 미소 요소에 유입하고 의 유속으로 유출된다.
Fig. 1(b)에는 미소 요소에 대한 유입 및 유출 속도가 그려져 있다. 또한, 유입부의 유출부에 세운 물기둥의 높이도 제시되어 있다. 지하수면에서 잰 물기둥 끝까지의 높이가 과잉간극수압 에 대응하는 압력수두 이다. 유입부와 유출부의 전수두차는 dh 이다.
압밀이란 과잉간극수압의 소산되는 과정이라 정의하였다. 그리고 과잉간극수압은 시간과 위치에 따라 다르게 분포하게 된다. 압밀방정식은 하중 작용 후 시간 t 경과시 좌표 z 되는 곳의 과잉간극수압 가 시간 t와 좌표 z에 따라 어떻게 분포되는가를 나타내는 방정식이다.
2.2 현장 계측자료에 의한 침하예측 이론
현장 계측자료를 이용한 침하예측법이 필요한 가장 주된 요인은 실험실에서 획득된 이론 침하량이 실제 현장에서는 부합되지 않고 있기 때문이다. 이론 침하량과 실제 발생 침하량에 있어서 차이가 나는 주요 요인은 시료의 교란으로 인한 토질정수가 실제 지반과 달라질 경우가 많으며. 연약지반의 지층이 두꺼울 경우 시료에서 획득된 토질정수가 전체 지반을 대표하는 대표성 문제 등이 있다. 이러한 문제점으로 인해 실제 지반에서 획득된 계측자료를 이용 장기침하량을 예측하는 방법들이 제시되었는데 이러한 침하 관리의 방법으로는 Fig. 2와 같이 쌍곡선법, Hoshino법(법), Asaoka법 등이 있다.
2.3 현장 계측자료에 의한 새로운 침하예측 이론
2.3.1 기존 현장 계측자료에 의한 침하예측 이론의 문제점
연약지반 현장에서 성토 및 구조물 축조는 필수적으로 압밀침하에 대한 문제가 발생되는데 이에 따른 해결 방법으로 계측 및 분석을 수행하였으나, 이에 대한 정확한 성과분석은 기대에 미치지 못하였다. 이는 기존 연약지반의 압밀 특성 분석이 침하 형태에 따른 해석으로 국한되어 있어 과잉간극수압 소산에 따른 과정이 해석 과정에 반영되어 있지 못하였기 때문이다.
쌍곡선법의 문제점은 침하의 평균속도 침하의 평균속도가 쌍곡선적으로 감소한다는 가정하에 초기의 실측 침하량에 의해 장래의 침하량을 예측하는 방법으로서 침하의 형태가 쌍곡선적으로 감소하지 않는 침하의 형태에서는 침하량이 과소하게 평가된다는 것이다. Hoshino법(법) 문제점은 전 침하량이 시간의 평방근에 비례한다는 가정으로부터 즉 침하의 저감 속도가 만큼 감소되어 간다는 가정이다. Asaoka법은 1차원 압밀방정식에 의거 하중이 일정할 때의 침하량을 나타내는 간편식으로써 동일 간격의 시간(Δt)에 일정하게 침하량이 감소한다.
지금까지의 연약지반의 침하량의 예측 방법이 침하 경향을 쌍곡선이나 평방근()으로 가정함으로 이론적 배경이 빈약하고 토질역학 압밀이론의 간극수압의 소산과정을 적용하지 않아 압밀도와 유효응력 증가에 대한 평가가 매우 어려웠다.
새로운 침하예측법은 간극수압계와 층별침하계를 동시에 하나의 자료에 취합하고 간극수압의 소산과정과 이에 따른 유효응력 증가와 간극비의 감소 과정을 하나의 Graph 즉 e-log p' 도표에 도시하여 현장 토질특성인 압축지수(), 재압축지수, 선행압밀응력을 규명하고 이에 따른 각 하중 별 단계별 침하량을 규명하는데 있다.
2.3.2 간극수압계 및 침하계를 이용한 새로운 침하예측법 제안
간극수압계를 이용한 새로운 침하예측법은 기존의 침하예측법이 침하량만을 이용한 방법으로 침하 경향을 일정한 형태로 가정한다는 것이다. 하지만 압축성의 범위가 큰 점토에서는 압밀응력에 따라 10배 이상 차이가 나므로 침하 형태가 일정하게 구현되지 않는다. 또한, 압밀속도를 좌우하는 압밀계수의 경우도 선행압밀응력에 따라 보통 20배 이상 작아진다.
본 연구에서는 기존의 침하예측방법을 유효응력 이론과 일차원 압밀이론을 이용하여 보다 이론에 부합되고 현장에서 실험실에서와 같이 현장토질정수를 획득하여 성토단계 즉 압밀응력에 따라 침하를 예측하고 평가하고자 한다.
계측자료를 e-log p'에 도시하면 Fig. 3과 같으며, 계측자료는 실내시험의 압밀자료와 거의 유사한 곡선이 작도됨을 알 수 있다. 본 연구에서는 계측자료의 e-log p' 곡선을 이용하여 현장토질정수의 분석을 통한 새로운 침하관리기법을 제안하고자 한다.
본 연구에서는 지금까지 이용 실적이 미미하였던 간극수압 발생 및 소산과정을 유효응력의 감소 및 증가과정으로 도시하고, 유효응력 증·감에 따른 간극비의 감소를 e-log p' 표기하여 압밀특성을 분석 연구하였다.
성토과정에서 증가하는 전응력()을 표시하고, 과잉간극수압을 측정하여 유효응력() 변화를 도시한다. 그리고 침하계에서 나타난 침하량()을 간극비()로 변환하여 표준압밀시험의 e-log p' 곡선에 동시 작도한다. 작도된 e-log p' 곡선상에서는 유효응력이 선행압밀하중() 이전에는 재압축곡선을 보이며, 성토과정에서는 과잉간극수압으로 인한 유효응력의 감소로 전응력곡선의 좌측에 표기된다. 이후 성토 종료 후 유효응력곡선은 처녀압밀곡선을 따라 이동하게 된다. 이 처녀압밀곡선의 기울기를 이용 전응력과 유효응력이 같아지는 점이 최종 간극비 즉 최종 침하량이 된다. 기존의 침하예측 방법이 성토 후 일정 기간이 경과되어야 가능하나, 본 연구에서의 침하예측 시점은 성토 완료 직후로 가장 빠르게 예측이 가능하다.
3. 현장계측 분석결과
3.1 연구 대상 지역
본 연구 대상 지역은 영산강 하구언에 인접한 OO지구로써 북쪽에 오룡산, 북서방향에 부주산, 부흥산으로 둘러싸여 있으며, 남쪽에는 영산강이 동서방향으로 흐르고 있다.
전체적인 지형은 서쪽의 산지를 제외하고는 대부분 넓은 평야로 구성되어 있으며 평야 중간에 영산강 하구언 공사 이전에 섬이었던 소도들이 존재한다. 사업지구 내의 평야들은 논으로 경작되었던 지역이고 중소규모의 수로들과 농로들이 경작자들의 필요에 따라 생성, 소멸되어 지형의 인위적인 변화가 예상된다.
Fig. 4는 본 연구의 대상 지역인 OO지역 및 인근 지역에 대한 위치도를 나타내며, 점선으로 표시된 지역이 본 연구의 대상지역이다.
3.2 P-1-1 계측 구간 지층 구성 및 토질특성
(1) 지층 구성
연구대상 지점에 대한 지층구성은 Table 1과 같다. 매립층, 점성토층, 모래자갈층, 풍화토층, 풍화암층, 연암층을로 구성되어 있다. 매립층은 쇄석으로 구성되어 있으며, 연약지반 처리를 위한 상부배수층으로 약0.7m의 층후를 가지고 있으며 색조는 회갈색이다.
Table 1.
Soil profile at the target site
표토층 하부에 존재하는 점성토층은 14.1m 의 층후를 가지고 있으며 실트질 점토층(CH)으로 구성되어 있다. 연경도는 매우 연약하고 N값은 0~1로 매우 낮은값을 보이고 있으며 다량의 침하량이 발생하는 지층이다. 퇴적층하부는 모래자갈층으로 구성되었고 층후는 약 0.4m, 대단히 조밀한 지층으로 색상은 암갈색 N값은 50/17이다.
(2) 토질특성
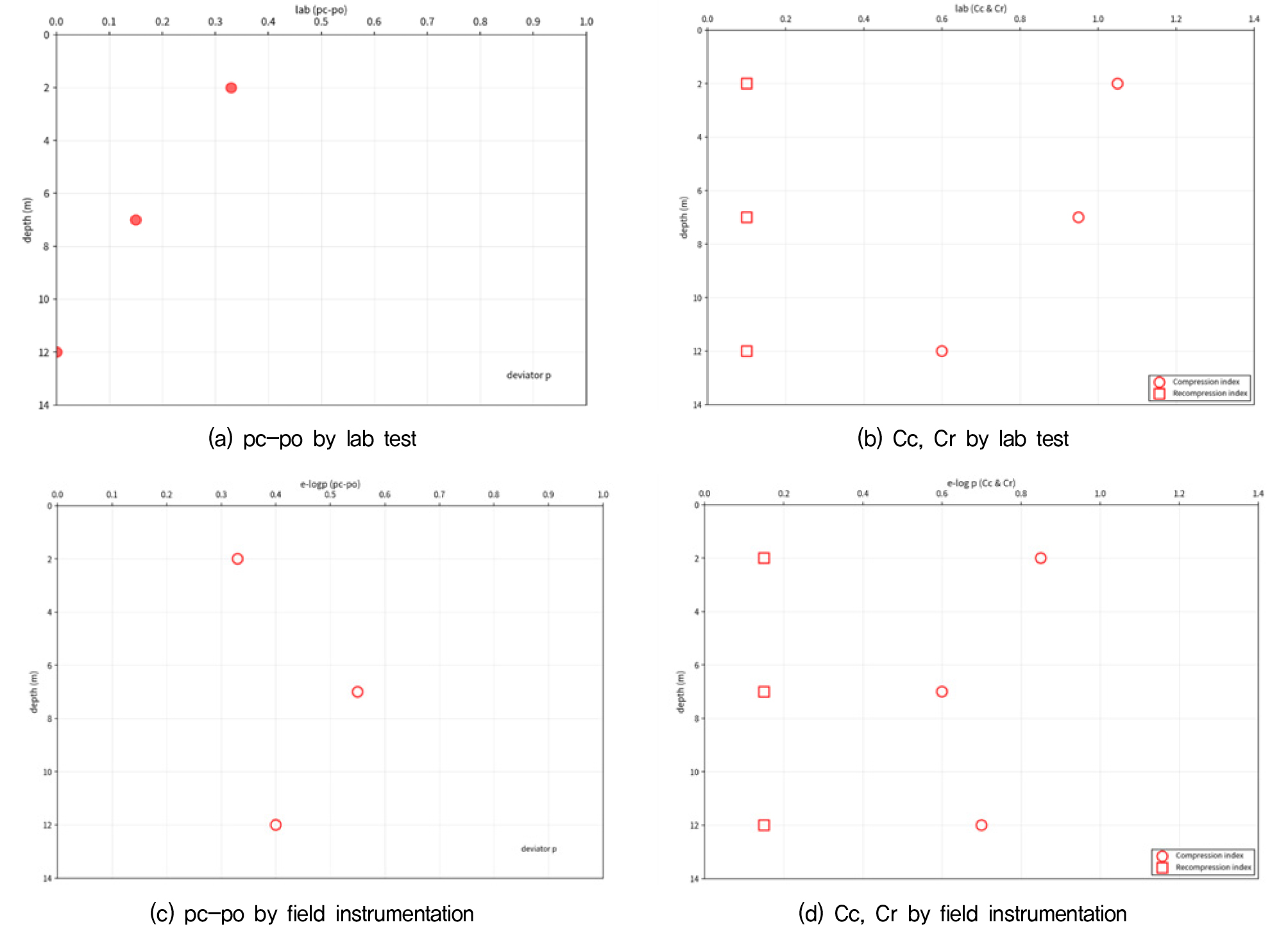
연구대상 지점에 대한 토질특성을 정리하면 Table 2와 같다. 점성토 지반의 함수비(WN, %)는 62.3~75.3% 평균 70.2%로 고함수비 점토이다. 액성한계(LL, %) 71.1~82.7% 평균 78.0%이다. 보통 액성한계가 50%가 초과 시 고압축성이라 칭하는데 연구대상 지점의 점토는 고압축성의 실트 또는 점토로 구성되어 있다. 점성토 지반의 비배수전단강도(c(kPa)) 27.6~32.2kPa로 평균 30.3kPa로 연약 점성토이다. 압축지수(Cc)는 0.78~1.04로 평균 0.930으로 매우 압축성이 큰 점성토이다.
Table 2.
Soil properties at the target site
3.3 P-1-1 계측 구간 계측현황 및 분석
(1) 계측현황
점성토 지반의 심도가 14.1m인 대상지점의 연약지반개량을 위해 경제성 및 시공성을 고려하여 P.B.D 공법을 채택하였다. 배수재 직경 0.05m, 스미어 효과로 인한 투수계수 감소는 은 5.0, 스미어 효과 영향원은 0.16×2.5 = 0.4m로 가정하여 검토된 연직배수재의 간격은 0.8m×0.8m 심도 14.1m 타입 시공하였다. Fig. 5(a)와 같이 최초 성토는 2004년 1월 7일 높이 0.87m 실시하였으며, 2004년 2월 28일에 3.58m, 2004년 7월 30일에 6.00m, 2004년 9월 6일에 7.35m, 2004년 10월 13일에 8.50m, 2004년 11월 26일에 9.74m를 최종 성토 시공 완료하였으며, 약 10개월 압밀침하 종료 후 8.44m로 절취하였다.
침하특성을 파악하기 위한 계측기기로써 지중침하계를 매설하였다. 지중침하계는 먼저 지지층인 모래자갈층까지 14.5m를 천공하고 고정소자인 RM(Ring Magnetic Sensor)을 설치하였다. 침하측정소자인 SM(Spider Magnetic Sensor)를 총 14.1m인 연약지반을 4.0~5.0m 간격으로 나누어 설치하였다. Fig. 5(b)와 같이 연약층 최상부인 0.0~4.0m 층의 침하거동 측정을 위해 SM1을 설치하였고 침하량은 190.4cm 발생하였다. 그 하부 연약층인 4.0~10.0m 층후의 침하거동 측정을 위해 SM2을 설치하였으며 침하량은 107.3cm 발생하였다. 최하부 연약층 10.0~14.1m 침하 측정을 위해 SM3를 설치하였으며 50.3cm 발생하였다.
간극수압계는 진동현 방식으로써 연약지반의 압밀특성을 파악하기 위하여 매설하였다. Fig. 5(c)와 같이 PP1은 심도 2.0m에 매설하여 SM1~SM2사이에 0.0~4.0m 층의 침하 및 변형 시 간극수압 변화를 측정할 수 있도록 하였으며 최대 5.47t/m2 발생하였다. PP2는 심도 7.0m에 매설하여 SM2~SM3의 4.0~10.0m 층의 침하 및 변형 시 간극수압의 변화를 측정할 수 있도록 하였으며 최대 71.7kPa가 발생하였다. PP3는 심도 12.0m에 매설하여 SM3~SM4의 10.0~14.1m 층의 간극수압의 변화를 측정하여 경시변화를 분석할 수 있도록 하였으며 최대 40.8kPa가 발생하였다.
(2) 0.0~4.0m 점토층 계측분석
상부점성토 지반은 심도 0.0~4.0m의 층후로 구분하였으며, 간극수압계는 심도 2.0m에 매설하였는데, 이는 지표면에서 심도 4.0m까지의 점토층 중앙에서의 간극수압을 측정하여 층후의 중앙값에서 간극수압과 전응력 및 유효응력을 측정하기 위함이다. 간극수압은 성토고의 진행에 따라 증가하며, 성토대기 시 간극수압이 연직배수재를 통하여 배수되면서 간극수압이 감소한다.
간극수압의 발생 및 소산과정을 기술하면 Table 3과 같다.
Table 3.
Pore water pressure variation with fill height at depth 0.0~4.0m
| Date | Fill height (m) | Pore water pressure (kPa) |
| 04/02/24 | 3.09 | 36.8 |
| 04/04/20 | 3.79 | 38.1 |
| 04/07/09 | 5.03 | 36.1 |
| 04/08/31 | 6.96 | 44.1 |
| 04/10/13 | 8.50 | 46.5 |
| 04/11/20 | 9.74 | 39.5 |
| 05/09/06 | 8.44 | 39.5∼(-)40.0 |
Fig. 6(a)와 같이 성토과정 중에서는 간극수압은 36.1~46.5kPa의 범위를 보이며, 성토시 첨단점을 보이다가 성토중간에는 소산이 되면서 파형을 보인다. 최종 9.74m에서 첨두간극수압 39.5kPa를 보이고 이후 추가 성토가 없으므로 서서히 소산이 되는 경향을 보인다.
Fig. 6(b)와 같이 상부점성토 지반은 심도 0.0~4.0m의 지반으로 구분하였다. 상부점성토층을 구분한 이유는 지표면에 근접되어 있어 표면건조 영향을 받으며 지반 내 지중응력이 작고 성토에 의한 재하중의 영향을 직접받기 때문에 압밀침하가 가장 많이 발생하기 때문이다. 상부점성토층의 침하량은:SM1-SM2으로 구할 수 있으며, SM1은 190.4cm, SM2는 107.3cm이므로 상부 점성토층의 침하량은 82.6cm이다.
Fig. 6(c)와 같이 상부점성토 압밀침하량을 점토지반의 간극비(eo) 변화로 표기하였다. 침하발생중 간극비의 변화는 침하량의 발생과 비례한다. 상부점성토층의 간극비는 초기간극비(eo)는 1.988에서 최종적으로 간극비(eo)는 1.367로 감소하였다.
(3) 4.0~10.0m 점토층 계측분석
상부점성토 지반은 심도 4.0~10.0m의 층후로 구분하였으며, 간극수압계는 심도 2.0m에 매설하였는데, 이는 지표면에서 심도 8.0m까지의 점토층 중앙에서의 간극수압을 측정하여 층후의 중앙값에서 간극수압과 전응력 및 유효응력을 측정하기 위함이다. 간극수압은 성토고의 진행에 따라 증가하며, 성토대기 시 간극수압이 연직배수재를 통하여 배수가 되면서 간극수압이 감소한다.
간극수압의 발생 및 소산과정을 기술하면 Table 4와 같다.
Table 4.
Pore water pressure variation with fill height at depth 4.0~10.0m
| Date | Fill height (m) | Pore water pressure (kPa) |
| 04/02/24 | 3.09 | 35.0 |
| 04/04/20 | 3.79 | 37.0 |
| 04/070/9 | 5.03 | 39.0 |
| 04/08/31 | 6.96 | 57.0 |
| 04/10/13 | 8.50 | 71.0 |
| 04/11/20 | 9.74 | 67.0 |
| 05/09/06 | 8.44 | 67.0∼12.0 |
Fig. 7(a)와 같이 성토과정 중에서는 간극수압은 35~71kPa의 범위를 보이며, 성토시 첨단점을 보이다가 성토 중간에 소산이 되면서 파형을 보인다. 최종 9.74m에서 첨두간극수압 67kPa을 보이고 이후 추가 성토가 없으므로 서서히 소산이 되는 경향을 보인다.
Fig. 7(b)와 같이 중간점성토 지반은 심도 4.0~10.0m의 지반으로 구분하였다. 중간점성토층을 구분한 이유는 지표면에서 4.0m이상 심도로 이격되어 표면건조 영향을 받지 않으며 지반 내 지중응력이 커지면서 성토에 의한 재하중의 영향을 간접적으로 받기 때문이다. 또한, 압밀침하도 상부 점성토층에 비해 적게 발생하였기 때문이다. 상부점성토층의 침하량은 SM2-SM3으로 구할 수 있으며, SM2는 107.3cm, SM3는 50.3cm이므로 상부 점성토층의 침하량은 57.0cm이다.
Fig. 7(c)와 같이 중간점성토 압밀침하량을 점토지반의 간극비(eo) 감소로 표기하였다. 침하발생시 간극비는 감소하게 되며 침하량의 발생 더불어 반비례하게 된다. 중간점성토층의 간극비는 초기간극비(eo)는 1.875에서 최종적으로 간극비(eo)는 1.602로 감소하였다.
(4) 10.0~14.0m점토층 계측분석
하부점성토 지반은 심도 10.0~14.0m의 층후로 구분하였으며, 간극수압계는 심도 12.0m에 매설하였는데, 이는 지표면에서 심도 12.0m까지의 점토층 중앙에서의 간극수압을 측정하여 층후의 중앙값에서 간극수압과 전응력 및 유효응력을 측정하기 위함이다. 간극수압은 성토고의 진행에 따라 증가하며, 성토대기 시 간극수압이 연직배수재를 통하여 배수되면서 간극수압이 감소한다.
Table 5는 간극수압의 발생 및 소산과정을 기술한 것이다.
Table 5.
Pore water pressure variation with fill height at depth 10.0~14.0m
| Date | Fill height (m) | Pore water pressure (kPa) |
| 04/02/02 | 0.47 | 27.8 |
| 04/04/20 | 3.79 | 27.3 |
| 04/07/09 | 5.03 | 27.8 |
| 04/08/31 | 6.96 | 34.6 |
| 04/10/13 | 8.50 | 40.5 |
| 04/11/20 | 9.74 | 35.1 |
| 05/09/06 | 8.44 | 35.1∼0.0 |
Fig. 8(a)와 같이 성토과정 중에서는 간극수압은 27.8~40.5kPa의 범위를 보이며, 성토시 첨단점을 보이다가 성토 중간에 소산이 되면서 파형을 보인다. 최종 9.74m에서 첨두간극수압 35.1kPa를 보이고 이후 추가 성토가 없으므로 서서히 소산이 되는 경향을 보인다.
Fig. 8(b)와 같이 하부점성토 지반은 심도 10.0~14.0m의 지반으로 구분하였다. 하부점성토층을 구분한 이유는 지표면에서 10.0m 이상 심도로 이격되어 표면건조 영향을 받지 않으며 지반 내 지중응력이 커지면서 성토에 의한 재하중의 영향을 간접적으로 받기 때문이다. 또한, 압밀침하도 상부 점성토층에 비해 적게 발생하였기 때문이다. 상부점성토층의 침하량은 SM3으로 구할 수 있으며, SM3는 50.3cm이므로 하부 점성토층의 침하량은 50.3cm이다.
Fig. 8(c)와 같이 하부점성토 압밀침하량을 점토지반의 간극비(eo) 감소로 표기하였다. 침하발생시 간극비는 감소하게 되며 침하량의 발생 더불어 반비례 하게 된다. 하부점성토층의 간극비는 초기간극비(eo)는 1.27에서 최종적으로 간극비(eo)는 0.984로 감소하였다.
4. 현장계측기를 이용한 e-log p' 분석
4.1 P-1-1 구간 현장계측기를 이용한 e-log p' 고찰
Fig. 9는 P-1-1 e-log p 도표상에서의 간극수압의 발생과 소산 그리고 간극비 감소에 따른 유효응력경로를 표기하였다.
Fig. 9(a) 중 A에서 B구간의 유효응력 경로와 전응력경로는 거의 동일한 경로를 가지며 이는 선행압밀하중 이전구간으로 간극비 변화가 적고 발생간극수압이 작아 생기는 현상이다. B에서 C구간은 비교적 단기간이지만 초기에 처녀압축선을 보여주고 있다. C에서 D구간은 과잉간극수압 발생에 따라 유효응력경로와 전응력경로는 서로 이격되었다. D에서 E구간은 유효응력경과와 전응력경로는 같은 경로를 보이며 처녀압축선을 따른다. E에서 F구간은 성토의 진행에 따라 유효응력경로와 전응력경로는 다른 경로를 보인다. F에서 G구간은 이 기간 중 성토의 진행에 따라 유효응력경로는 처녀압밀선을 따라 이동한다. 이 처녀압밀선과 간극수압의 소산된 점이 최종침하량이 평가점이다.
Fig. 9(b) 중 A에서 B구간은 유효응력 경로와 전응력경로는 거의 동일한 경로를 가지며 이는 선행압밀하중 이전구간으로 간극비 변화가 적고 발생간극수압이 작아 생기는 현상이다. B에서 C구간은 비교적 단기간이지만 초기에 처녀압축선을 보여주고 있다. C에서 D구간은 과잉간극수압이 발생에 따라 유효응력경과와 전응력경로는 서로 이격되었다. D에서 E구간은 이 기간 중 성토의 진행에 따라 유효응력경로는 처녀압밀선을 따라 이동한다. 이 처녀압밀선과 간극수압의 소산된 점이 최종침하량이 평가점이다.
Fig. 9(c) 중 A에서 B구간은 유효응력 경로와 전응력경로는 거의 동일한 경로를 이동한다. B에서 E구간은 유효응력경로와 전응력 경로가 비교적 잘 일치되는 결과를 보인다. 이는 본 P-1-1의 성토가 비교적 단계성토로 완속 시공되었고 계측기가 심도 10m 이하의 층후여서 성토로 인한 상재하중에 비해 지중응력이 커서 발생하는 현상이다. 이 처녀압밀선과 간극수압의 소산된 점이 최종침하량이 평가점이다.
간극수압계와 침하계를 이용하여 e-log p 도표를 작도하여 침하평가를 수행하면 성토과정에서 재압축지수(Cr)와 선행압밀하중(pc)평가가 가능하여 현장토질상태의 응력이력을 평가할 수 있으며, 최종성토 후 단기에 바로 압축지수(Cc)를 평가하여 최종침하량을 도출할 수 있고 이에 따라 압밀진행여부를 정량적으로 산출할 수 있었다. 본 연구에서 최종 압밀진행 전 약 10개월 이전부터 연약지반 압밀진행 과정을 모니터링이 가능하였다.
4.2 P-1-1 구간 성토형태별 e-log p' 고찰
P-1-1 현장 e-log p 곡선을 성토단계에 따라 간극비 변화의 양상을 Fig. 10(a)와 Fig. 10(b)와 같이 분석하였다. 성토고는 8.84m 이며 일평균 성토속도는 약 2.5cm/일이다. 간극수압을 고려한 유효응력경로는 성토단계를 제외하곤 비교적 전응력 경로를 잘 따르고 있다.
4.3 실내시험 및 현장계측자료의 e-logp 비교 분석
(1) 0.0~4.0m 실내시험 및 현장계측자료에 의한 e-logp 비교 분석
현장계측자료를 유효응력경로로 검토하면 Fig. 11(b)와 같이 성토과정에서는 A점()에서 B()으로 경로이동하며 B점()에서 급격히 간극비가 감소 현상이 발생하는데 이 값이 선행압밀하중()0.475가 된다. 이때 A에서 B의 기울기는 재압축지수()가 되며 그 값은 0.136이다. B점()에서 C점()까지 직선의 경로를 보이는데 이는 이 구간이 처녀압축선이며 이 기울기는 압축지수( : 0.899)이다. C점()에서 유효응력경로는 갑자기 처녀압축선 안쪽으로 이동하며 이는 간극수압이 급격히 증가한 결과로 보인다. 처녀압밀선 안쪽에서 이동하던 경로는 간극수압이 소산됨에 따라 D()점에서 재차 처녀압밀선을 따른다. D()점에서 E()점까지 일정한 기울기를 가진 압축선을 따르므로, 최종간극비와 최종침하량을 평가 가능하며, 최종성토에 의한 간극비() 1.921이며, 침하량은 84cm이다.
현장계측자료를 e-log p' 검토하여 최종유효응력점과 그 점에 대응하는 침하량을 이용하여 장기 예상 침하곡선을 예측하였다. 현재 실측침하량은 82.6cm 장기 침하량은 84.0cm이며 침하곡선에 의한 압밀계수는 1.0×10-3cm2/sec이다.
(2) 4.0~10.0m 실내시험 및 현장계측자료에 의한 e-log p' 비교 분석
현장계측자료를 유효응력경로로 검토하면 Fig. 12(b)와 같이 성토과정에서는 A점(:0.416)에서 B(:0.952)으로 경로이동하며 B점(:0.952)에서 급격히 간극비가 감소 현상이 발생하는데 이 값이 선행압밀하중() 0.952이 된다. 이때 A에서 B의 기울기는 재압축지수()가 되며 그 값은 0.016 이다. B점()에서 C점()까지 직선의 경로를 보이는데 이는 이 구간이 처녀압축선이며 이 기울기는 압축지수( : 0.60)이다. C점(:1.063)에서 유효응력경로는 갑자기 처녀압축선 안쪽으로 이동하며 이는 간극수압이 급격히 증가한 결과로 보인다. 처녀압밀선 안쪽에서 이동하던 경로는 간극수압이 소산됨에 따라 D(:1.970)점에서 재차 처녀압밀선을 따른다. D(:1.970)점에서 E(:2.218)점까지 일정한 기울기를 가진 압축선을 따르므로 최종간극비와 최종침하량을 평가 가능하며 최종성토에 의한 간극비(: 1.597) 이며 침하량은 S : 58cm이다.
현장계측자료를 e-log p' 검토하여 최종유효응력점과 그 점에 대응하는 침하량을 이용하여 장기 예상 침하곡선을 예측하였다. 현재 실측침하량은 57cm 장기 침하량은 58.0cm 이며 침하곡선에 의한 압밀계수는 7.0× 10-4cm2/sec이다.
현장계측자료를 유효응력경로로 검토하면 Fig. 13(b)와 같이 성토과정에서는 A점(:0.713)에서 B(:1.12)으로 경로이동하며 B점(:0.952)에서 급격히 간극비가 감소 현상이 발생하는데 이 값이 선행압밀하중() 1.12이 된다. 이때 A에서 B의 기울기는 재압축지수()가 되며 그 값은 0.0174 이다. B점()에서 C점()까지 직선의 경로를 보이는데 이는 이 구간이 처녀압축선이며 이 기울기는 압축지수( : 0.711)이다. C점(:1.323)에서 유효응력경로는 갑자기 처녀압축선 안쪽으로 이동하며 이는 간극수압이 급격히 증가한 결과로 보인다. 처녀압밀선 안쪽에서 이동하던 경로는 간극수압이 소산됨에 따라 D(:1.527)점에서 재차 처녀압밀선을 따라 가게 된다. D(:1.527)점에서 E(:2.145)점까지 일정한 기울기를 가진 압축선을 따라 가므로 최종간극비와 최종침하량을 평가 가능하며 최종성토에 의한 간극비(: 0.986) 이며 침하량은 S : 50cm 이다.
현장계측자료를 e-log p' 검토하여 최종유효응력점과 그 점에 대응하는 침하량을 이용하여 장기 예상 침하곡선을 예측하였다. 현재 실측침하량은 50.3cm 장기 침하량은 50.0cm 이며 침하곡선에 의한 압밀계수는 1.9×10-3cm2/sec이다.
(4) 종합결론
실내시험자료에서 구한 토질정수와 현장계측자료의 e-log p' 도표를 이용한 토질정수를 Table 6과 Fig. 14에 표기하였다. 표준압밀자료와 e-log p' 의 압축지수와 재압축지수는 모두 거의 유사한 양상을 보이나, 선행압밀하중과 지중응력의 차는 표준압밀시험에서 심도가 깊어질수록 감소하여 12.0m 이하에서는 거의 0이 된다.
Table 6.
Comparison of soil parameters from laboratory test and field instrumentation data
4.4 최종 침하량 분석
계측자료와 실내시험자료를 이용하여 최종침하량은 Table 7과 Fig. 15와 같이 산출하였다. 본 지점의 과잉간극수압은 PP1은 3.7kPa, PP2는 3.9kPa, PP3는 0.1kPa로 잔류되어 있으며, 쌍곡법의 예상침하량과 거의 비슷한 값을 보인다.
Table 7.
Settlement analysis results
실내시험에 의한 예상 침하량은 토질을 선행압밀하중을 적용하지 않는 정규압밀상태와 선행압밀하중을 포함하여 산출하는 과압밀 상태로 구분하여 검토하였다. 현장계측 침하량으로 비교 분석한 결과 현장계측 침하량 대비 쌍곡선법 침하량은 약 93.8%, 새롭게 제안한 현장 계측자료 e-log p' 곡선에 의한 침하량은 약 98.9%로 유사율을 가지므로 보다 정확한 결과로 나타났으며, 실내실험 결과 정규압밀점토는 52.3%, 과압밀 점토에서는 73.8%로 정규압밀 점토에서 예상침하량은 과하게 산정됨을 확인하였다.
5. 결 론
(1)작도결과 현장 계측자료 e-log p' 곡선으로 현장토질정수를 획득할 수 있었다. 실내 표준압밀시험과 비교결과 압축지수() 재압축지수()는 유사한 경향을 보이나, 응력이력을 나타내는 선행압밀하중()은 표준압밀시험에서는 소멸되거나 현저히 작아진다. 이는 표준압밀시험의 시료 획득과정에서 응력해방에 의한 시료 교란 효과로 보인다.
(2)현장 계측 자료를 이용한 e-log p' 곡선 분석결과, 성토 초기부터 단계 성토가 잘 이뤄지거나 완속의 성토 시공이 이루어진 경우 간극수압계를 이용한 곡선은 재압축선과 처녀압축선에서 큰 이탈을 하지 않으며 이탈시에도 처녀압축선에 빠르게 복귀하였다.
(3)현장 e-log p' 법과 쌍곡선법과의 비교 분석결과, 간극수압이 소산되거나 잔류간극수압이 거의 남지 않을 때 쌍곡선법의 결과와 e-log p' 법의 결과는 거의 유사하다.
(4)본 연구는 한정된 지역 및 지반조사 Data를 이용한 값이므로 보다 많은 Data가 확보된다면 e-log p' 법으로 최종성토 이전 최종침하량 평가가 가능하며, 간극수압 소산에 의한 개량효과 확인이 용이할 것으로 판단된다.

















