1. 서 론
2. 해석프로그램 설명
2.1 파압 및 수압 산정
2.2 안정해석
3. 수치해석
3.1 수치해석 흐름
3.2 해석단면
3.3 간극수압 및 파압입력 위치
3.4 지반 및 방파구조물 물성치
3.5 파압 산정
3.6 안전율 산정
3.6.1 파압 및 간극수압 분포
3.6.2 안정성 검토
4. 기존 검토와 비교 분석
4.1 활동력
4.2 직선활동 안정성 검토
4.3 안전율 비교
5. 결 론
1. 서 론
Fig. 1은 일반적인 콘크리트블록을 사용한 사석경사식 방파제의 일반적인 형태이다. 사석경사식 구조물은 사석마운드 상부에 콘크리트블록을 설치한 형태를 취하고 있는 일반적으로 많이 사용되는 해안구조물 중 하나이다.
국내의 경우 항만 및 어항설계기준(Ministry of Oceans and Fisheries, 2014)에 따르면 침투에 의한 검토는 주로 조차의 영향을 받는 해역에 준설토 투기를 위해 축조되는 사석호안 구조물의 안정성 설계에 적용하고 있다. 사석호안 구조물의 침투류에 의한 침투해석 시 적용되는 설계조위는 최대유속과 최대동수경사를 산정할 수 있도록 구조물 내・외수위차가 최대로 발생하는 조위를 적용하고, 정상류 해석을 기본으로 하고 있다. 단, 실험과 문헌조사 등을 통하여 입력변수(물성치)가 결정되면 비정상류 해석을 할 수 있도록 하고 있다. 사석호안 구조물의 침투류에 의한 파이핑 안정성 평가방법은 한계유속법, 한계동수경사법 모두를 적용하라고 항만 및 어항설계기준에 명시되어 있다.
사석호안 구조물의 호안 내측 및 외측에 큰 수두차가 발생하면 사석제체와 그 하부지반에 침투류가 집중되어 강한 유속이 발생한다. 실트질 점토와 실트질 모래가 사석호안 구조물 주변부에 분포되어 있으면 창낙조시 양방향으로 제체를 통과한 침투류가 투수계수가 작은 지반부를 통과하지 않고 투수계수가 상대적으로 매우 큰 사석부(Table 1)로 유출되어 사석제체와 하부 지반의 경계면에서 파이핑, 침식 및 세굴을 유발시킨다. 침투류가 지속적으로 발생되면 하부지반의 파이핑, 침식 및 세굴 등에 의해 사석부가 침하되고 이로 인해 근고사석 일부가 이탈 및 이격되거나, 사석이완 등의 2차적인 파괴가 발생된다. 하부지반의 침투로 인해 발생된 문제에 대한 대책으로 연약지반개량 또는 치환공법 등이 적용되고 있다(Ministry of Oceans and Fisheries, 2014).
Table 1. Diameter of stone types typically used in rubble mound ![]() | |
* Note: The shape of stone is assumed as a circle. | |
사석호안과 달리 항만 및 어항설계기준(2014)에서는 사석경사식 방파제에 대해 침투류에 대한 고려는 언급하고 있지 않다. 다만 직선활동검토를 통해 사석마운드 안정성을 판정한다(안전율 1.2). 가정된 직선활동파괴면에서의 구조물자중, 파압, 토압에 의해 발생되는 활동력과 저항력의 비로 안전율을 판정한다. 현재 우리나라 연근해에 설치된 대부분의 사석경사식 방파제의 경우 사석마운드의 활동안전률이 확보되도록 설계 및 시공되었을 것이다. 하지만 사석경사식 방파제의 파괴는 아직도 종종 발생하고 있는 실정이다. 특히 태풍 시 사석경사식 방파제의 파괴가 자주 발생하고 있어 현재의 정적인 검토방안에 대한 재검토가 필요한 시점이다.
일본의 경우 최근에 동적파압으로 발생된 침투류에 의한 방파제에 있어 사석제체의 안정성이 해안항만 분야에서 새롭게 관심을 받고 있다(Sassa, 2014; Sassa et al., 2014, 2016). 연구의 본격적인 시작은 동일본대지진이후부터 시작되었다. 대지진 이전에도 쯔나미에 의한 침투압에 대한 연구는 이루어졌지만(Tonkin et al., 2003), 대지진 이후 좀 더 많은 관심을 받고 있다(Sumer and Fredsøe, 2002; Qi and Gao, 2014; Sumer, 2014). 쯔나미로 인한 방파제의 항외와 항내의 수위차는 한 방향의 침투를 발생시킨다. 그와 같은 침투는 사석마운드기초의 지지력을 감소시키고, 기초의 파이핑 또는 보일링을 유발시키고, 모래 해저지반의 세굴을 발생시킨다(Takahashi et al., 2014; Sassa et al., 2016). 이것은 수위차가 상방향(upward)력을 발생시켜, 사석기초의 강도, 강성, 구속압을 감소시키기 때문이다(Lage, 1998; Macdonald et al., 1979).
국내의 경우 사석경사식 방파제는 쯔나미 보다는 조차(주로 서해안에 해당)와 태풍(전 지역에 해당)의 영향을 받는다. 따라서 본 연구에서는 태풍 영향 하에서 대표적인 사석경사식 구조물인 사석경사식 콘크리트 방파제에 대해 “동적 침투류 해석”을 실시하여 침투류가 사석제체의 안정성에 미치는 영향을 분석하였다.
본 연구에서 태풍 시 시계열에 따라 구조물에 작용하는 파압과 사석제체에 작용하는 수압은 OLAFOAM프로그램을 활용하여 산정하였고, 안정성 해석은 Geo-Studio의 사면안정해석 전용 프로그램인 SLOPE/W를 이용하여 구조물이 가장 불안한 시점(즉, 파압과 수압이 구조물의 안정에 가장 부정적으로 작용하는 시점)에 대해 실시하였다. OLAFOAM으로 산정된 파압을 입력 데이터로 사용하여 사석제체내의 간극수압과 구조물에 작용하는 파압을 산정하고 이를 한계평형법을 이용한 사면안정해석과 연동하여 시계열에 따른 제체의 안정성을 해석하는 방법이다(Kobayashi, 1977; Che, 2013).
2. 해석프로그램 설명
2.1 파압 및 수압 산정
본 연구에서는 OLAFOAM(Higuera et al., 2015)을 이용하여 사석제체를 포함한 방파제에 작용하는 동파압을 산정하였다. OLAFOAM은 OpenFOAMⓇ으로 부터 개발된 프로그램으로, OpenFOAM(Open source Field Operation And Manipulation; Jacobsen et al., 2012)은 GNU GPL(General Public License)을 기반으로 하는 공개 CFD(Computational Fluid Dynamics) 소스코드이다. 오픈소스 기반인 OpenFOAM의 경우 높은 범용성을 목적으로 개발되어 왔지만, 해안 및 항만공학에 적용하기 위해서 요구되는 조파기능 및 반사파제어기능이 불충분하여 파동역학에 관련된 공학적 문제로의 적용에는 한계가 있었다. 이러한 제한을 극복하기 위하여 Higuera et al.(2013a, 2014, 2015)은 3차원 VARANS(Volume- Averaged Reynolds-Averaged Navier-Stokes)방정식을 기초로 OpenFOAMⓇ에 추가적으로 조파기능, 반사파제어 기능, 투과성구조물에서 유체저항을 고려 기능 등을 연차적으로 추가하여 계산비용을 절감한 OLAFOAM 코드를 개발하였다(Lee et al., 2016).
비압축성유체의 혼상류해석에 대해 소스코드가 공개된 OLAFOAM은 유한체적이산화법과 VOF법(Kissling et al., 2010)을 이용하며, 그 지배방정식은 다음의 식 (1)과 (2)에 나타낸 연속방정식과 운동량보존방정식으로 구성된다.
(1)

(2)
여기서
는 시간,
는 공간벡터좌표,
는 후술하는 액체와 기체상태를 고려한 혼상유체의 밀도,
와
는 속도벡터,
는 pseudo-dynamic 압력,
는 위치벡터,
는 공극률,
은 중앙입경,
는
,
는 난류동점성계수,
는 투과성 구조물에 의한 저항 항으로 다음의 식 (3)과 식 (4)로 주어진다.
(3)
(4)
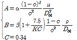
여기서,
는 Engelund 공식에 의해 제시된 마찰계
수로 van Gent(1995)에 의한 결과를 적용하였다.
는 Keulegan-Carpenter수로
를 나타내며,
은 진
동주기,
은 최대진동속도이다.
OLAFOAM은 각각의 계산 셀에서 단위부피당 액체의 양을 정의하는 VOF함수
를 사용하여 자유표면을 추적하며,
이면 액체셀이고,
이면 기체셀 혹은 구조물셀로 판정된다. 액체와 기체가 혼합되는 혼상유체의 밀도의 경우는 VOF함수를 이용하여 식 (5)와 같이 주어지고, VOF함수에 대한 이류방정식은 식 (6)을 적용한다(Lee et al., 2016).
(5)
(6)
(7)
여기서,
는 유체밀도,
는 기체밀도, 
이며,
는 기본적으로는 1의 값을 가지며, 액체와 기체의 경계면에서 압축을 증가시키기 위해서는 더 큰 값의 적용도 가능하다. 한편, OpenFOAM은 경계면에서 정확한 계산과
가 0에서 1의 값을 유지하기 위하여 식 (7)에 나타내는 바와 같이 압축차분스킴(compressing differencing scheme) 대신 인공압축항(artificial compression term)
를 적용하고 있다. 이는 보존적이고, 경계면에서 0이 아닌 값을 사용한다. 게다가,
값보다 더 큰 값을 지닌 지점에서
가 경계면에 수직방향
이면 흐름은 압축되지 않기 때문에 액체는 기체로부터 압축되지 않는다.
2.2 안정해석
안정해석에 이용된 프로그램은 캐나다 GEO-SLOPE사에서 개발하여 지반내 간극수의 침투 및 안정성 해석에 있어 전 세계에 널리 이용되고 있는 2차원 지반공학전용 유한요소해석 프로그램인 GeoStudio 2012의 한 모듈로 사면안정해석에 특화된 프로그램인 SLOPE/W를 사용하여 해석을 수행하였다. SLOPE/W는 포화지반 뿐만 아니라 불포화지반에 대한 원호활동 및 비원호활동에 대하여 Ordinary, Bishop, Janbu, Sarma, Spencer 및 Morgenstern-Price법 등을 이용한 한계평형해석을 수행할 수 있다. 또한, SEEP/W와의 연동을 통해 지반내 비정상침투에 의한 간극수압변화를 고려한 안정해석과 SIGMA/W와의 연동을 통해 시공단계별 안정해석이 가능하다.
해석은 한계평형법(Limit Equilibrium Method)을 사용하였는데 이 방법은 활동면을 따라 파괴발생이 예상되는 토체의 안정성을 해석하는 것으로 검토를 단순화하기 위해 여러 조건을 가정하고 이를 이용하여 간단한 정역학적 이론으로 해를 얻을 수 있다. 전체적인 파괴에 대한 현재상태의 안전율을 직접적으로 제공하므로 적용상의 편리성이 우수하다. 사면의 안정검토시 해석방법은 국내 유일의 해양/항만분야 설계기준인 ‘항만 및 어항 설계기준’에서 추천하고 있는 Bishop의 간편법을 적용하여 안정성에 대하여 검토하였다.
Bishop의 방법은 정역학적으로 해를 얻기 위해 설정한 가정 때문에 정해가 될 수 없으나 구해진 안전율은 거의 정확치에 근접하여 본 안정해석에 이용하였으며, 기본원리는 다음 Fig. 2와 같으며 사면안정에 대한 안전율(
)의 계산식은 식 (8)과 같다(Bishop, 1955). 또한, 한계평형해석법에 대한 해석결과의 정확성은 해석방법의 차이보다는 활동면의 강도정수에 더 큰 영향을 받는 것으로 알려져 있다.
(8)
여기서,
=안전율,
,
는 절편
흙의 전체중량(
),
는 흙의 점착력(
),
는 흙의 내부마찰각(°),
는 경사각(°),
는 절편의 폭(
)이다.
3. 수치해석
3.1 수치해석 흐름
파동장하에서 방파제 사석제체 내에 작용하는 동적인 간극수압 및 파압분포를 고려한 방파제의 원호활동 안정해석의 수행 흐름은 Fig. 3과 같다. 그림에서 보는 바와 같이 본 연구수행은 2단계를 걸쳐 이루어졌다.
첫 번째 단계는 사석제체를 포함한 방파제에 작용하는 시계열에 따른 파압 및 수압의 산정이다. 이를 위해서는 연구 조건에 해당되는 입사파랑 조건을 먼저 결정한 후 이를 수치모형실험을 통해 재현하여야 한다. 본 연구에서는 수치모형실험 프로그램인 OLAFOAM을 이용하여 해석을 실시하였다. 이 때 수치모형실험 시간은 태풍이 갖는 불규칙파의 영향을 반영될 수 있도록 충분히 고려되어야 한다. 그리고 수행된 수치모형실험으로부터 얻어진 파압의 시계열 데이터로부터 사석제체의 안정성에 가장 불리할 것으로 판단되는 파압의 시간 구간을 결정한다.
두 번째 단계는 산정된 파압 결과를 입력 후 사석제체내의 간극수압을 산정하고 이를 한계평형법을 이용한 Geo-Studio의 사면안정해석 전용 프로그램인 SLOPE/W를 이용하여 시계열에 따른 안전율을 산정하는 것이다. 파동장하에서의 동적인 파압분포 및 간극수압의 변동에 따른 해저지반상의 사석방파제의 동적인 안정성에 대한 검토를 수행하였다. 파동장하에서 방파제 사석제체 내에 작용하는 동적인 간극수압 및 파압분포를 고려하는 것이 기존 검토방법과 다른 점이다.
3.2 해석단면
연구에 선택된 해석단면은 사석경사식 콘크리트 방파제로 사석제제위에 이글루 블록과 콘크리트 블록 설치 후 상부에 폭 10m의 상치콘크리트가 놓이는 형태이다(Fig. 4). 사석제체의 경사는 1:1.5이며 사석의 크기는 일반적으로 많이 사용되는 0.015∼0.03m3/ea를 사용하였다. 방파제 하부 지반은 DCM 90%로 개량된 지반으로 설정하여 세굴의 문제를 본 연구에서 제외시켰다.
수치모형실험에 사용된 수치파동수로와 방파제의 형상은 Fig. 5와 같다. 수치모형실험에 적용된 격자크기와 시간간격은
=0.5m,
=0.5m의 정격자에 대해
=0.01 sec로 계산을 수행하였다.
3.3 간극수압 및 파압입력 위치
사석마운드의 안정해석 수행 흐름도(Fig. 3)에서 언급한 바와 같이 안정해석을 수행하기 위해서는 수치모형실험으로부터 얻어진 간극수압 및 파압을 적용하기 위한 위치를 선정할 필요가 있다. 간극수압 및 파압입력 위치는 대상 구조물의 특성을 반영하여 Fig. 6과 같이 선택하였다. 불투과성 구조물인 상치콘크리트 및 블록에서는 파압 분포를 투과성 구조물인 제체사석에 대해서는 간극수압 분포를 고려하였다. 특히 제체사석 부분에서는 간극수압 및 파압의 영향을 충분히 고려하여 조밀한 분포를 가지도록 입력 위치를 5m 간격으로 선택하였다.
3.4 지반 및 방파구조물 물성치
연구 대상물의 지반 및 구조물의 물성치는 Table 2와 같다. 사석제체의 경우 포화단위중량은 20kN/m3, 습윤단위중량은 18kN/m3, 내부마찰각 40°를 적용하였다.
3.5 파압 산정
파압 산정을 위해 해석에 사용된 입사파조건(Table 3)에서 조위는 고극조위(H.H.W) DL(+) 2.52m 값을 유의파고(H1/3) 4.9m, 유의주기(T1/3) 16.3초인 불규칙파를 이용하여 3000 sec 해석을 실시하였다.
Fig. 7은 3000 sec 동안 측정된 대표 작용 파압을 보여준다. 시간에 따른 작용파압의 변화를 볼 수 있다. 이글루블록하의 Ⓐ지점은 파랑의 작용이 직접적으로 작용하지 않는 위치이고, 또한 검토 위치중에서 정수면하 제일 아래에 위치하기 때문에 상대적으로 작은 파압이 작용한다. 이글루블록의 전면인 Ⓑ지점은 (+)동압이 (-)동압보다 훨씬 큰 값을 나타내며, 충격파압의 작용시에 주로 나타나는 spike현상과 같은 급격히 상승하는 파압은 나타나지 않는다. 이것은 Ⓑ지점이 사석층내에 위치하기 때문에 파압의 고주파성분이 감쇠되기 때문이다(필터링의 효과). 항외측 상치콘크리트하의 Ⓒ지점에서는 (-)파압성분은 나타나지 않고 전부 (+)파압성분을 나타내며, 시간변동은 Ⓑ지점의 경우와 유사하지만 파압의 크기는 Ⓑ지점의 경우보다 큰 값을 나타낸다. 상치콘크리트 전면의 Ⓓ지점은 상치콘크리트 연직벽체로 정수면 근방이지만 정수면보다 위에 위치하므로 작용파압의 전부가 (+)파압을 나타내며, TTP로 피복된 피복층내에 위치하기 때문에 필터링효과로 spike현상과 같이 급격히 상승하는 파압이 나타나지 않는다.
총 3000 sec 해석 결과 중에서 사석제체의 안정성에 가장 큰 영향을 미치는 390 sec 시간대 전후 파압을 안정해석 대상으로 선정하였다. 이와 같은 파압작용 시간 영역은 총 해석시간 중에서 약 10 여 차례 반복적으로 재현되는 것으로 나타났다. Fig. 8은 해석에 선택된 시간대의 수치파동수로 산정된 간극수압 및 파압 분포이다. 그림에서 방파제 전면의 항외측에서부터 파봉이 형성되어(Fig. 8(a)) 시간이 지남에 따라 파압의 전파를 알 수 있다. 파봉이 상치콘크리트 상부를 월류하여 항내측 배후면으로 이동하는 현상도 확인 할 수 있다. 그림에서 파란색은 낮은 수압을 빨간색은 큰 수압을 의미한다. 파랑의 월류 바로 전(Fig. 8(b)) 제체사석 내부에 강한 간극수압이 작용하고 상치콘크리트 측면과 하부에 강한 파압과 양압력이 작용하는 것은 빨간색으로 표시된 영역을 통해 확인할 수 있다.
3.6 안전율 산정
3.6.1 파압 및 간극수압 분포
수치파동수로로부터 산정된 결과(Fig. 8)와 연계한 안정해석에서의 파압 및 간극수압 분포는 Fig. 9와 같다. 방파구조물 하부 지반내의 간극수압은 조위를 적용한 수압을 작용시켰다. 그림에서처럼 수치파동수로에서와 같이 파가 항외측에서부터 전파되어 상치콘크리트 상부를 통해 항내측 배후면으로 월류하는 현상을 적절히 모사할 수 있다. 파랑의 월류 바로(Fig. 9(b)) 전 제체사석 내부에 강한 간극수압이 작용하고 이에 따라 상치콘크리트 측면과 하부에 강한 파압과 양압력이 발생하는 것을 확인할 수 있다. 또한 Fig. 9(b)에서 가장 큰 수압차가 사석제체내에 존재하는 것을 알 수 있다. 이것은 강한 흐름이 발생하는 조건이 제체내에 형성된 것을 의미하며 이로 인한 침투류가 방파구조물의 안정성에 영향을 미칠 것을 짐작할 수 있다.
3.6.2 안정성 검토
동적 파랑의 작용에 의한 파압과 간극수압을 고려한 방파제의 원호활동 안정성 변화는 Fig. 10과 같다. 그림에서와 같이 시간에 따라 방파제의 안전율은 1.612∼1.059의 범위를 나타낸다. 특히, 항외측에서 파봉이 존재하는 시간 386.10 sec(Fig. 10(a))에서 1.612의 최대안전율을 보이고, 파가 방파제를 월류하며서 상치콘크리트 측면과 하부에 강한 양압력이 작용하고 제체사석 내부에 간극수압이 크게 작용하는 시점인 390.42 sec(Fig. 10(b))에 1.059의 최소안전율을 보인다. 이후 파가 상치콘크리트 상부를 통해 항내측으로 넘어오면서 안전율이 다시 회복하는 것을 확인 할 수 있다. 즉 파랑의 변동에 따라 방파제의 안전율이 감소하고 다시 증가하는 반복변동이 발생하는 것을 알 수 있다.
동적 파랑의 작용에 의한 파압과 양압력 및 간극수압을 고려한 원호활동에 대한 사석제체의 안전율 변화를 종합하면 Fig. 11과 같다. 그림에서와 같이 시간에 따라 사석제체의 안전율의 변화폭은 1.612∼1.059의 범위를 보인다. 가장 작은 안전율은 1.059로 항만 및 어항설계기준에서 요구하는 안전율 1.2보다 낮아 방파제 안정성이 크게 위협받고 있는 것을 알 수 있다. 그리고 이와 같은 안전율 변화는 파랑이 방파제에 지속되는 시간동안 반복적으로 작용하여 방파제의 피로를 증가시킬 것으로 판단된다.
4. 기존 검토와 비교 분석
기존방식에서는 직선활동검토를 통해 사석마운드 안정성을 판정하는 정적해석을 하고 있다. 가정된 파괴면에서의 구조물자중, 파압, 토압에 의해 발생되는 활동력과 저항력의 비로 안전율을 판정한다. 구체적으로 살펴보면 다음과 같다.
4.1 활동력
사석경사식 방파제의 직립벽이 위치한 사석마운드의 직선활동검토를 위한 외력조건은 직립벽(콘크리트블록)과 상치에 작용하는 파력, 파압시 직립벽 하부에 발생하는 양압력, 사석제체의 토압 등으로 구성된다.
소파블록으로 피복된 콘크리트블록에 작용하는 파력과 양압력은 고다(Goda)식을 이용하여 산정한다. 서론에서 언급한 바와 같이 침투현상은 고려할 수 없다. 방파제에 작용하는 각 위치별 작용력은 다음과 같다(Fig. 12).
① 정수면에 작용하는 파압 
정수면의 Level은 H.W.L(삭망평균만조위)로 기준하였으며 이 위치에서 직립벽에 가장 큰 파압이 작용한다.

② 해저면에서의 파압 
정수면에서 최대값을 나타낸 파압강도는 중력방향으로 수심이 깊어짐에 따라 직선적인 감소를 보이며 이때 하상(seabed)에서의 파압강도를
로 정의 한다.

③ 직립벽 저면에서의 파압 
직립벽 최하단에 작용하는 파압강도이며 직립벽 수심이 고려된 값이다.

④ 천단에 작용하는 파압강도 
항외측 소파블록(T.T.P) 최상단에 작용하는 파압강도를
로 정의한다.

여기서 정수면상 파압이 0이 되는 높이 

⑤ 상치콘트리트 하단에 작용하는 파압 
상치콘크리트 하단에 작용하는 파압강도로 정수면상 파압 “0”인 높이(
)와 상치콘크리트 하단 심도(
)가 고려된 값이다.

⑥ 직립벽 하부에 작용하는 상향 수압 
양압력은 파압시 직립벽하부에 작용하는 상향의 수압으로 직립벽의 저면폭을 고려한 양압력의 크기 U는 아래와 같이 산정된다.


이들 계산식에
: 유의파주기
: 소파블록에 의한 파압 저감률=
: 소파블록으로 충분히 피복할 때 파라미터


: 수심
에서의 파장
: 직립벽 전면에서 외해로 유의파고의 5배 만큼 떨어진 지점의 수심
: 정수면에서 천단까지의 높이
: 정수면에서 상치하단까지의 높이
: 직립벽 전면의 수심
: 직립벽 저면의 수심
: 사석부의 근고공 또는 피복공 마루중 작은 수심
: 제체의 수직선과 입사각의 보정각
: 직립벽 항외측 끝단의 양압력 강도(kN/m2)
: 양압력이 작용하는 저면의 폭
⑦ 직립벽에 작용하는 토압 

여기서

: i층의 사석의 내부마찰각(°)
: 벽면의 연직과 이루는 각도(°)
: 지표면이 수평과 이루는 각도(°)
: 흙과 벽면과의 마찰각(°)
: 토압이 작용하는 높이
: 사석의 단위중량
4.2 직선활동 안정성 검토
정적인 안정성 검토에서 활동면은 항외측 블록하단과 항내측 사석층 하단 꼭지점의 각도(
)를 이용하여 결정한다(Fig. 14). 이 직선활동면에서 안정성 검토는 자중(콘크리트블록+사석, 필터, 보호층)에 의한 수직력과 블록에 작용하는 파압에 의한 수평력(Goda 식으로 산정)을 고려하여 결정된다. 직선활동에 대한 안전율은 1.280으로 항만 및 어항설계기준에서 요구하는 1.2를 만족하는 것으로 나타났다.

4.3 안전율 비교
기존방식에 따른 직선활동에 대한 안정성과 파압 시 동적 파랑에 의한 사석제체내 침투류 발생을 고려한 안정성 평가결과를 상호 비교한 결과 동적 파랑을 고려한 안정해석이 특정시간대에 있어 기존 직선활동으로 산정된 안전율(F.S.=1.280)보다 작게 산정되었다. 따라서 기존방식에 의한 직선활동만 검토할 경우 파랑의 주기에 따른 특정시간대 최소안전율이 발생하는 경우를 고려할 수 없으므로 동적해석도 필요할 것으로 판단된다. 
5. 결 론
본 연구에서는 태풍 시 시계열에 따라 구조물에 작용하는 파압과 사석제체에 작용하는 수압을 고려하여 시계열에 따른 제체의 안정성을 해석하였다. 또한 기존방법에 의한 결과와 비교 검토하여 다음과 같은 결과를 도출하였다.
(1)동적 파랑의 작용에 의한 침투류에 의한 파압과 간극수압을 고려한 사석경사식 방파구조물의 원호활동 안정성 변화를 분석한 결과, 파가 방파제를 월류하면서 상치콘크리트 측면에 강한 파압이 하부에는 양압력이 발생하고 제체사석 내부에 간극수압이 크게 발생하는 시점에 안전율이 감소된다.
(2)파가 상치콘크리트 상부를 통해 항내측으로 월류되고 제체사석 내부에 간극수압이 감소하면 안전율이 다시 회복하는 것으로 나타났다. 이와 같이 사석마운드의 안전율은 태풍 파랑이 지속되는 시간동안 증가와 감소가 반복적으로 나타난다.
(3)기존방식(정적해석)에서는 직선활동검토를 통해 사석마운드 안정성을 판정한다. 항외측 콘크리트블록하단과 항내측 사석층 하단 꼭지점을 연결한 활동면에서 구조물자중, 파압, 토압에 의해 발생되는 활동력과 저항력의 비로 안전율을 산정하고 그 값은 일정하다.
(4)기존방식에 의한 직선활동만 검토할 경우 구조체에 작용하는 침투류에 의한 동적인 파압과 간극수압을 고려할 수 없어 특정 시간대에 구조체에 발생되는 최소안전율을 고려할 수 없다. 그러므로 정적해석과 함께 시계열에 따라 구조물에 작용하는 파압과 사석제체에 작용하는 수압을 고려한 동적해석도 검토가 필요할 것으로 판단된다.




















