1. 서 론
2. 동적 수치 모델
2.1 해석 프로그램
2.2 지반 및 터널 모델링
2.3 입력 지진파
3. 해석 결과
3.1 계측 지점 선정
3.2 가속도 응답 분석
3.3 모멘트 응답 분석
4. 지진 취약도 함수 개발
5. 결 론
1. 서 론
최근 국내에서 경주( 5.8, 2016), 포항( 5.4, 2017) 지진을 비롯한 중규모의 지진 발생 빈도가 증가함에 따라, 국가 주요 사회기반시설물의 내진 안전성 확보에 대한 사회적 요구가 급증하고 있다. 이와 더불어 도시화에 따른 토지 이용의 고밀도화로 인해 지하철, 터널, 공동구 및 대규모 지하 상업 시설과 같은 지하 공간의 개발 및 활용도가 지속적으로 확대되는 추세이다. 이처럼 지하 공간에 대한 사회적 의존도가 심화됨에 따라, 과거 지상 구조물에 비해 상대적으로 지진 안전성이 높다고 인식되었던 지하 구조물의 동적 거동 분석 및 안전성 평가가 주요한 공학적 과제로 부각되고 있다.
그 동안의 선행 연구는 주로 건축물이나 교량 등 지상 구조물의 지진 위험도 평가에 집중되어 왔다. Hwang et al.(2000)은 철근 콘크리트 교량의 지진 취약도 분석을 위한 확률론적 모델을 제안하였으며, Chopra et al.(2002)은 구조물의 동적 특성을 고려한 비선형 해석 기법을 체계화함으로써 지진 하중에 따른 구조적 응답을 정량적으로 평가할 수 있는 학술적 기반을 마련하였다. 그러나 최근 지하 공간의 중요성이 증대됨에 따라 연구의 영역이 점차 확장되고 있으며, 이에 대한 정량적인 안전성 평가 연구가 활발히 수행되고 있다. 일례로, Kwon et al.(2024)은 지하 역사 구조물에 최적화된 기존 수치 모델을 바탕으로 지진 취약도 함수를 구축하기 위한 방법론을 제시하였으며, Park et al.(2005)은 유사 정적 해석을 통한 박스형 지하 구조물의 내진 성능 평가법을 제안하였다. 또한, Argyroudis and Pitilakis(2012)은 저토피 구간의 박스형 터널을 대상으로 지진 취약도 함수를 제안함으로써 지하 터널의 확률론적 안전성 평가를 위한 방법론적 기초를 마련하였다.
반면, 암반 지반에 건설되는 비개착식 터널의 경우, 주변 지반의 강한 구속 효과로 인해 지진에 상대적으로 안전하다는 인식이 지배적이었다(Hashash et al., 2001). 그러나 암반은 지진 에너지를 소산시키지 않고 구조물에 직접 전달하는 특성이 있어, 지반-구조물 상호작용에 의한 동적 응답의 증폭이나 단면력의 급격한 변동 가능성을 배제할 수 없다. 특히 이러한 비선형적 동적 거동은 기존의 정적 해석 기반 방식으로는 정밀하게 예측하는 데 한계가 있으므로, 시간 이력에 따른 지반과 라이닝의 상관관계를 모사할 수 있는 동적 수치해석이 필수적이다. 이러한 기술적 필요성에도 불구하고, 비개착식 터널의 지진 안전성에 대한 기존 통념으로 인해 다양한 암반 조건과 지진 강도를 고려한 비개착식 터널의 동적 해석 및 지진 위험도 평가 연구는 다른 형태의 지하 구조물에 비해 상대적으로 미비한 실정이다.
이에 본 연구에서는 다양한 암반 조건(경암, 연암, 풍화암 및 파쇄대)에 위치한 비개착식 터널에 대한 동적 수치해석 모델을 구축하고, 지진 발생 시 라이닝에 발생하는 휨 모멘트 응답을 분석하였다. 이를 통해 암반 강성 및 지진 강도가 비개착식 터널의 구조적 안정성에 미치는 영향을 정량적으로 평가하고, 이에 따른 지진 취약도 함수를 개발하고자 한다.
2. 동적 수치 모델
2.1 해석 프로그램
본 연구는 지반-터널 작용 및 지진 시 동적 거동 분석을 위해, 지진 공학 분야의 비선형 해석에서 널리 검증된 유한요소 수치해석 프로그램인 OpenSees를 활용하여 해석을 진행하였다. 우선, 암반 지반 모델링 측면에서 OpenSees는 광범위한 비선형 구성 모델 라이브러리를 보유하고 있어, 본 연구의 암반 지반이 나타내는 고유의 강성 및 감쇠 특성을 정밀하게 모사하는데 적합하다. 터널 구조체 구현 및 분석 측면에서, 마제형 터널의 라이닝을 빔-기둥 요소를 통하여 구축할 수 있으며, 각 요소의 적분점에서 발생하는 단면력을 직접적으로 추출할 수 있는 강력한 Recorder 기능을 제공한다. 이는 터널 라이닝의 위치별 동적 모멘트 분포를 정량적으로 분석하고 구조적 취약 부위를 파악하는 데 매우 효율적이다. 지반-터널 상호작용 측면에서는, 지반 요소와 터널 구조 요소를 결합할 수 있는 다양한 구속 조건 설정이 가능하다. OpenSees는 절점 간의 자유도를 직접 제어하거나 결합하는 방식이 매우 유연하여, 심도 15m에 위치한 터널 라이닝과 주변 암반 사이의 상호작용 거동(Hashash et al., 2001)을 수치 해석적으로 안정적이고 정확하게 구현할 수 있다. 결론적으로 지반 모델링의 정밀성, 데이터 추출의 용이성, 지반-구조물 연결의 유연성을 모두 갖춘 OpenSees는 본 연구의 목적을 달성하기 위한 최적의 수치해석 환경을 제공한다.
2.2 지반 및 터널 모델링
해석 지반 모델은 2차원 평면 변형률 조건을 가정하여 폭 80m, 높이 50m의 지반을 모델링하였으며, 지표면으로부터 15m 심도에 직경 10m의 마제형 터널을 구현하였다. 해석 단면은 Fig. 1과 같다. 일반적으로 지층은 토사층을 포함한 다층 구조로 구성되나, 본 연구에서는 암반의 강성 저하가 구조물 취약성에 미치는 상관관계를 규명하기 위해 암반 지층 중심으로 모델을 단순화하였다. 이는 비개착식 터널의 거동이 상부 토사층의 관성력보다 주변 암반 매질의 구속력과 전단 변형에 지배적인 영향을 받는 특성을 반영한 것이다(Hashash et al., 2001).
OpenSees와 같은 유한요소 수치해석 프로그램은 해석 대상을 유한한 도메인으로 한정한다는 근본적인 한계로 인해, 필연적으로 인위적인 경계면이 발생하며 이는 반사파에 의한 해석 결과의 왜곡을 초래할 수 있다. 본 연구에서는 이러한 경계 효과를 최소화하고 수치 모델의 물리적 연속성을 확보하기 위해 측면 경계에 동일 변위 구속 조건을 적용하였다. 이는 동일한 심도에 위치한 좌·우측 경계 절점의 수평 및 수직 방향 자유도를 동일하게 구속함으로써, 두 경계가 동일한 거동을 하도록 강제하는 방식이다. 이러한 설정은 유한한 2차원 도메인 내에서도 지반이 수평 방향으로 무한히 연장된 것과 같은 1차원 자유장 전단 변형 거동을 수치적으로 재현할 수 있게 하며, 경계면에서의 비물리적인 파동 반사를 방지한다. 또한, 수치 모델의 측면 경계는 터널 중심으로부터 좌우로 40m 이격시켜 경계 효과가 구조물의 동적 응답에 미치는 간섭을 방지하였다. 모델의 하부 경계는 지진파가 직접 입력되는 기반암으로 가정하여 해석을 수행하였다.
지반과 구조물의 상호작용은 터널 굴착면을 따라 배치된 지반 절점과 라이닝 절점의 수직 및 수평 자유도를 결합하는 완전 부착 조건으로 구현하였다. 이는 라이닝이 주변 암반에 완전히 밀착되어 일체로 거동하는 비개착식 터널의 시공 및 구조적 특성을 반영한 것이다(Hashash et al., 2001). 이러한 모델링 방식은 암반-라이닝 경계면의 미끄러짐 및 분리 거동을 고려하지 않음으로써 지반과 구조물 사이의 부재력 전달을 극대화한다. 본 연구에서는 극한의 상호작용 조건 하에서 구조적 응답을 평가하기 위한 보수적인 접근법으로서 완전 부착 조건을 채택하였다.
지반은 4절점 평면 변형률 요소를 적용하여 모델링하였으며, 재료 구성 모델은 Drucker Prager(1952) 모델을 적용하였다. 본 모델은 암반 지반의 핵심적인 거동 특성인 압력 의존성 탄소성 거동을 반영할 수 있으며, Drucker-Prager 항복 기준을 적용하여 동적 해석 시 수치적 수렴성과 안정성을 크게 향상시킨다. 이때 항복 함수(f)는 식 (1)와 같이 정의된다.
식 (1)에서 은 구속 압력 효과를, 는 전단 응력 상태를 나타내며, 와 는 지반의 물리적 성질인 점착력() 및 내부 마찰각(∅)에 의해 결정되는 재료상수이다. 특히, 본 항복 기준은 모서리가 없는 매끄러운 원뿔 형태의 항복면을 형성하므로, 동적 수치 해석 시 계산의 수렴성과 안정성을 확보하는데 유리하다(Drucker and Prager, 1952). Drucker Prager(1952) 모델의 주요 입력 변수로는 전단탄성계수(G), 체적탄성계수(), 점착력(), 내부마찰각(∅) 등이 있으며 이를 통해 암반 지반을 모사한다.
본 연구에서는 암반 조건에 따른 비개착식 터널 구조물의 모멘트 특성을 분석하기 위해 암반 강성에 따라 총 4가지 해석 케이스를 설정하였다. 각 케이스는 경암(Case 1), 연암(Case 2), 풍화암(Case 3), 파쇄대(Case 4)를 대표하도록 분류하여 Fig. 2와 같이 도식하였으며, 수치 해석에 적용된 암반 지반 물성치는 Hoek and Brown(1997)이 제시한 암반 등급 별 공학적 특성을 준용하여 산정하였다. 해석에 사용된 구체적인 지반 물성치는 Table 1에 정리하였다.
Table 1.
Input parameters for each cases
동적 수치해석에서 요소의 크기는 지진파의 파동 정보를 왜곡 없이 전달하기 위해 충분히 세밀하게 구성되어야 한다. 요소가 너무 클 경우 파동 에너지가 수치적으로 손실될 수 있으므로, Kuhlemeyer and Lysmer(1973)는 식 (2)과 같이 요소의 최대 크기()를 최소 파장()의 1/8 이하로 설정할 것을 권장하였다. 최소 파장은 지반의 전단파 속도와 입력 지진파의 주파수 특성()에 의해 결정되며, 이는 식 (3)과 같이 정의된다. 본 연구에서는 파쇄대 지반의 전단파 속도()를 고려한 보수적인 기준에 따라 지반 요소의 크기를 최대 1.0m × 1.0m로 설정하였다.
본 연구의 해석 대상인 마제형 터널은 국내 복선 철도 터널의 일반적인 제원을 고려하여 굴착 폭을 10m로 설정하였다. 라이닝 두께는 터널 폭의 5% 수준인 0.5m를 적용하였다. 이는 국내 철도 설계 기준인 KDS 47 10 40에서 동적 안전성 확보가 요구되는 구간에 권장하는 표준 두께를 준용한 것이며, 상세한 해석 모델의 단면 형상은 Fig. 3과 같다.
터널 구조물의 경우 dispBeamColumn 요소를 적용하여 모델링하였다. 이 요소는 터널 라이닝의 휨 및 축 거동을 모사할 수 있는 2절점 빔-기둥 요소이다. 지진 시 암반 내 비개착식 터널 구조물은 주변 지반의 강한 구속 효과로 인해 주로 탄성 범위 내에서 거동하는 것으로 널리 알려져 있다(Wang, 2001). 본 해석에서는 이러한 거동 특성을 반영하여, dispBeamColumn 요소에 연결되는 단면을 탄성 단면으로 정의하여 라이닝의 탄성 거동을 가정하였다.
터널 라이닝의 구체적인 공학적 물성치는 Table 2와 같이 적용하였다. 라이닝의 강성 평가를 위한 탄성계수를 할당하였으며, 단면의 기하학적 특성을 반영하기 위해 아치부와 인버트부를 구분하여 각각의 단면적과 관성 모멘트를 적용하였다. 또한, 라이닝의 질량 효과를 모사하고자 dispBeamColumn 요소 정의 시 해당 밀도를 별도로 할당하여 동적 해석 시 관성력이 적절히 반영되도록 하였다.
Table 2.
Input parameters for tunnel lining
| Parts of Tunnel |
Young’s Modulus (Mpa) |
Density (ton/m3) |
Element Area (m2) |
Moment of Inertia (m4) |
| Arch section | 27,000 | 2.5 | 0.25 | 0.00521 |
| Invert section | 27,000 | 2.5 | 0.357 | 0.00744 |
2.3 입력 지진파
비개착식 터널의 동적 응답을 다각도로 분석하기 위해, 본 연구에서는 국내외 실지진 기록으로부터 추출한 총 40개의 지진파를 입력 지진파로 채택하였다.
국내 지진파의 경우, 기상청(NECIS)에서 제공하는 2007~2017년 관측 자료를 조사하여 수치해석적 활용성이 검증된 18개의 가속도 시계열을 수집하였다. 국외 지진파는 NGA-West2 데이터베이스를 활용하였으며, 규모 5.0에서 7.5사이의 지진 사례 중 본 연구의 목적에 부합하는 22개의 기록을 추가로 선별하였다.
선정된 40개의 실지진 기록은 원지진파와 2.0배, 3.0배 배율의 스케일링 과정을 거쳐 총 120개의 입력 지진파로 구성하였다. 모든 입력 지진파는 해석적 적용성을 확보하기 위해 물리적 단위계 일치 및 시간 간격 보정과 같은 전처리 작업을 수행한 후 시간이력 데이터로 정의하였다.
입력 지진파의 최대지반가속도(PGA) 분포는 국내 지진파의 경우 0.048g~1.541g, 국외 지진파는 0.128g~3.092g의 범위를 나타낸다. 이와 같은 광범위한 강도 분포를 통해 비개착식 터널의 동적 거동 특성을 평가하였으며, 확률론적 기법에 기반한 지진 취약도 함수 도출을 위한 정량적 지표로 활용되었다.
선정된 120개의 입력 지진파에 대한 구조물의 동적 응답 특성을 검토하고자, 본 연구에서는 1995년 Kobe 지진 기록(PGA 0.276g)을 대표 사례로 선정하여 케이스별 비교분석을 수행하였다. Kobe 지진은 Daikai 지하철역의 대규모 함몰 피해 사례에서 확인된 바와 같이, 지하 구조물의 내진 안전성 연구에 있어 역사적학술적 중요성이 매우 높은 사례이다. 또한, 지반의 비선형성을 평가하기 위한 대표적인 사례로 널리 활용되고 있다. 해당 지진파는 총 30초의 지속시간을 가지며, 해석에 적용된 가속도 시간 이력은 Fig. 4와 같다.
3. 해석 결과
3.1 계측 지점 선정
가속도 계측 지점은 해석 모델의 최상단 중앙부로 설정하였다. 이는 기반암으로부터 시작된 지진파가 상부 지반을 통과하며 지층 고유의 역학적 특성에 따라 증폭 또는 감쇠되는 지반 응답 특성을 효과적으로 확인하기 위함이다.
본 연구는 비개착식 터널 라이닝의 동적 거동 분석 및 지진 취약도 함수 개발을 통한 구조적 안전성 평가를 주요 목적으로 한다. 이에 따라 분석 범위를 라이닝의 구조적 응답 특성 규명에 집중하였으며, 지표면 침하 등 지반 자체의 변형 거동은 구조물 부재력 산정 과정에 내포된 것으로 간주하여 별도의 분석 범위에서는 제외하였다.
모멘트 계측 지점의 선정을 위해, 우선적으로 지진 하중 작용 시 터널 라이닝의 구조적 취약 부위를 식별하고자 하였다. 이를 위해 지반 변형이 두드러지는 Case 4를 대표 Case로 선정하였으며, 천정부, 측벽부, 측벽-인버트 접합부의 모멘트 응답을 비교 분석하여 Table 3에 제시하였다.
Table 3.
Peak response moments at different monitoring locations
| Monitoring Location | Crown | Side Wall | Side Wall-Invert Junction |
| Peak Response Moment (kN·m) | 73.51 | 67.86 | 178.24 |
해석 결과, 라이닝의 최대 휨 모멘트는 측벽부와 인버트의 접합부에서 발생하는 것으로 확인되었다. 이는 마제형 터널의 아치부와 인버트부의 곡률 반지름이 급격히 변화하며 기하학적 불연속성을 형성하기 때문이다(Do et al., 2021). 이러한 형상적 특성은 해당 절점을 구조역학적 응력 집중점으로 작용하게 하며, 라이닝의 거동을 결정짓는 핵심 요소가 된다. 따라서 본 연구에서는 구조적 취약부인 측벽-인버트 접합부를 주요 모멘트 계측 지점으로 설정하였다.
3.2 가속도 응답 분석
앞서 설정하였던 대표 지진파인 Kobe 0.276g에 대한 해석 Case별 시간-응답 가속도 그래프는 Fig. 5와 같으며 이에 대한 응답 최대 지반 가속도 표는 Table 4에서 제시하였다.
Table 4.
Peak acceleration response by case
| Case No. | Case 1 | Case 2 | Case 3 | Case 4 |
| input Acceleration (g) | 0.276 | |||
| Response Acceleration (g) | 0.273 | 0.289 | 0.293 | 0.282 |
해석 결과, Case 1~3(경암, 연암, 풍화암)은 상대적으로 높은 밀도와 전단파 속도를 보유하고 있어 기반암과의 임피던스 대비가 크지 않으므로 급격한 가속도 증폭은 관측되지 않았다. 다만, 암반의 강성이 낮아짐에 따라 가속도 증폭률이 미세하게 상승하는 경향을 보였다. 반면, Case 4(파쇄대)의 경우 밀도와 전단파 속도가 낮아 이론적으로는 큰 임피던스 대비에 의한 가속도 증폭이 예상되나, 실제로는 지반의 강한 비선형 거동에 따른 이력 감쇠가 지진 에너지를 소산시켜 가속도 증폭이 오히려 억제되는 양상을 나타냈다. 이처럼 지반 조건에 따라 가속도를 증폭시키거나 억제하는 물리적 요인이 각각 다르게 작용함에 따라, 모든 Case에서 최대 응답 가속도의 차이가 크게 두드러지지 않은 것으로 판단된다.
3.3 모멘트 응답 분석
앞서 설정하였던 대표 지진파인 Kobe 0.276g에 대한 해석 Case별 시간-응답 모멘트 그래프는 Fig. 6과 같으며 이에 대한 응답 최대 모멘트는 Table 5에서 제시하였다. 그래프 초기(0초시점)에 나타나는 모멘트는 중력 해석에 의해 발생하는 정적 모멘트로, 이는 지반과 라이닝 사이의 강성 차이에 따른 응력 재분배 원리에 의해 결정된다. 암반의 강성이 낮을수록 지반 자체의 하중 지지 능력이 약화되어 구조물로 전이되는 하중 비중이 커지게 되며, 이는 결과적으로 라이닝에 발생하는 초기 정적 모멘트의 상승으로 이어진다.
Table 5.
Peak moment response by case
| Case No. | Case 1 | Case 2 | Case 3 | Case 4 |
| Peak Moment (kN·m) | 13.39 | 51.40 | 87.65 | 185.02 |
지진 시의 동적 모멘트는 지진파가 전달될 때 발생하는 지반의 강제적인 변형에 큰 영향을 받는다(Wang, 2001). 특히 가속도 응답이 지반의 동적 특성에 의존하는 것과 달리, 모멘트 응답은 지반 변형량의 변화에 매우 민감하게 반응한다. 지반 강성이 낮을수록 주변 지반의 변형이 크게 발생하며, 라이닝이 지반의 거동에 구속되어 거동하는 지반-구조물 상호작용 특성으로 인해 휨모멘트는 현저히 증가하게된다(Hashash et al., 2001). 본 해석 결과에서도 이러한 특성이 확인 되었으며, 또한, Case 1에서 Case 4로 갈수록 지반과 구조물 간의 상대적인 강성 차이가 확대됨에 따라 모멘트 응답이 증폭되는 것으로 분석된다.
본 연구에서는 동적 휨 모멘트 응답의 정량적 평가 및 지진 취약도 함수의 손상 지수 기준 수립을 위해 라이닝 설계 휨강도(∅)를 산정하였다. 라이닝 단면은 국내 철도 설계 기준을 준용하여 폭 1,000mm, 유효깊이 440mm의 복철근(D22@200, SD400) 조건으로 가정하였으며, 강도감소계수(∅)는 부재의 복합적인 응력 상태를 고려하여 0.85의 보수적인 값을 적용하였다.
지반 강성이 저하될수록 지반-구조물 상호작용에 의한 부재의 축력이 증가하며, 이는 단면의 휨 내력을 상승시키는 결과를 초래한다. 따라서 파쇄대와 같은 연약 지반 구간에서는 구조적 내력이 실제보다 과대 평가될 소지가 있다.
이에 본 연구에서는 지진 취약도 분석 시 발생할 수 있는 안전성 과대 평가를 방지하고자, 축력에 의한 내력 증진 효과가 최소화되는 경암 지반의 축력을 임계 축력으로 채택하였다. 이와 같이 보수적으로 도출된 설계 휨강도는 305kN·m이며, 이를 파손 임계값으로 설정하여 지진 시 터널 라이닝의 구조적 안전성 및 손상 확률을 평가하였다.
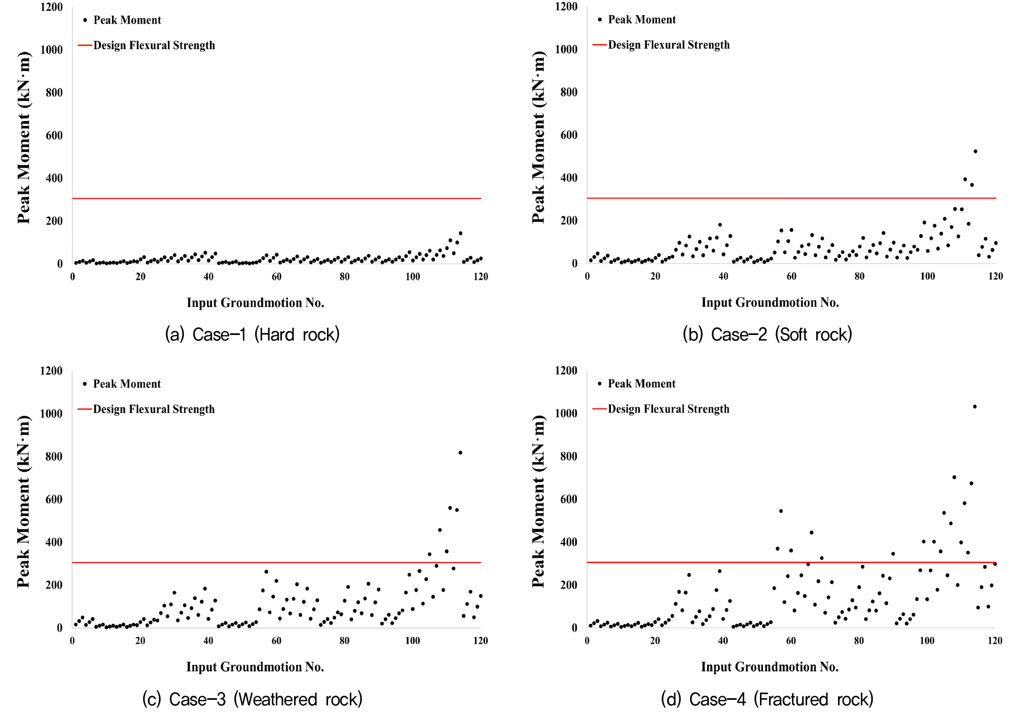
이러한 안전성 평가 기준을 바탕으로, 40종의 지진파와 3단계의 강도 수준(1.0, 2.0, 3.0배)을 조합한 총 120개 해석 케이스에 대한 종합적인 분석을 수행하였다. 암반 강성과 지진 강도라는 핵심 변수가 라이닝 응답에 미치는 전반적인 경향성을 파악하기 위해, 각 케이스에서 계측된 최대 응답 모멘트를 산출하였다. 최종적으로 산출된 120개의 응답 데이터와 앞서 설정한 설계 휨 강도 경계선을 동일 평면상에 도식하여 Fig. 7과 같이 제시하였으며, 이를 통해 설계 강도 초과 여부 및 터널 라이닝의 구조적 안전성을 검토하였다.
해석 결과, Case 1(경암)에서 Case3(풍화암) 수준의 양호한 암반 조건에서는 대부분의 해석 케이스가 설계 휨강도(305kN·m) 이내의 거동을 나타냈다. 이를 통해 국내 표준 비개착식 터널은 강한 지진 하중 조건에서도 대부분 설계 강도 이내의 거동을 보여 충분한 구조적 안전성을 확보하고 있는 것으로 나타났다. 반면, Case 4(파쇄대)의 경우 17개의 지진파 시나리오에서 설계 휨강도를 상회하는 응답이 발생하여, 양호한 암반 대비 지진 취약성이 뚜렷하게 증가함을 확인하였다. 이는 파쇄대와 같은 연약한 지반 특성이 터널의 내진 성능을 결정짓는 핵심 요인임을 의미한다.
4. 지진 취약도 함수 개발
지진 취약도 함수는 특정 강도의 지진이 발생했을 때 구조물이 목표하는 손상 한계 상태를 초과할 확률을 나타내는 통계적 모델로(Yang and Kwak, 2023), 구조적 내력의 변동성과 지진 하중의 불확실성을 확률론적 관점에서 정량화하는 데 활용된다. 특히 본 연구에서는 수치 해석 결과를 바탕으로 파쇄대 구간 암반 지반 내 터널 라이닝의 손상 확률을 평가하기 위해 해석적 방법에 기반한 지진 취약도 함수를 개발하였다. 앞선 동적 해석 결과, 파쇄대 암반 지반(Case 4)은 전체 120개의 지진파 케이스 중 17개에서 설계 휨강도를 상회하는 응답이 도출되었으며, 이는 경암이나 연암, 풍화암 지반에 비해 지진 취약성이 현저히 높음을 시사한다. 이처럼 파쇄대 구간에서 확보된 유의미한 수의 설계 강도 초과 데이터는 회귀 분석의 통계적 유의성을 확보하고 지반 강성 저하에 따른 터널의 손상 확률을 통계적으로 정의할 수 있는 핵심적인 근거를 제공한다.
반면, Case 1~3(경암, 연암, 풍화암)의 경우 설계 휨강도를 상회하는 응답 케이스가 8개 미만으로 도출되었다. 이는 확률론적 지진 취약도 함수 도출을 위한 통계적 표본 크기가 충분하지 않음을 시사하며, 결과적으로 도출된 함수의 신뢰성을 확보하는 데 한계가 있을 것으로 판단된다. 따라서 본 연구에서는 데이터의 유효성이 확보된 파쇄대 암반 지반을 중점 분석 대상으로 선정하였다.
지진 취약도 함수를 도출하기 위한 첫 단계로, 터널의 손상 정도를 정량적으로 평가하기 위하여 터널 라이닝의 최대 응답 모멘트()와 설계 휨강도()의 비로 정의되는 손상 지수(DI)를 도입하였으며, 식 (4)와 같이 정의하였다. 이를 기반으로 손상 상태를 경미한 손상(Minor), 중간 손상(Moderate), 광범위한 손상(Extensive)으로 분류하고, 각 단계별 손상 임계값을 Table 6과 같이 설정하여 정량적인 평가 기준을 마련하였다(Huang et al., 2020).
Table 6.
Damage thresholds for each state
| Damage State | Damage Threshold |
| None | DI < 1.0 |
| Minor | 1.0 ≤ DI < 1.5 |
| Moderate | 1.5 ≤ DI < 2.5 |
| Extensive | 2.5 < DI ≤ 3.5 |
이어 지반 운동 강도()와 손상 지수() 사이의 상관 관계를 규명하기 위해, Cornell et al.(2002)의 확률적 지진 요구 모델(PSDM) 방법론을 준용하였다. 해당 문헌에 제시된 바와 같이, 입력 지진 강도인 최대 지반 가속도(PGA)와 손상 지수 간의 관계를 멱함수 형태로 가정하고 이를 로그 변환하여 선형 회귀 분석을 수행하였다. 그 결과, 식 (5)와 같이 로그 공간에서의 선형 관계식을 도출하였다.
Fig. 8은 120개 지진파 케이스에 대해 수행된 확률적 지진 요구 모델의 선형 회귀 분석 결과를 나타낸다. 분석 결과, 지진 강도와 손상 지수 사이의 관계를 결정짓는 회귀 계수는 = 1.2464, = -0.1839으로 각각 산출되었다. 이러한 회귀 계수를 통해 구축된 선형 방정식은 지반 운동 강도가 증가함에 따라 터널 라이닝의 손상 지수가 대수적으로 선형 증가하는 경향을 보여준다. 이러한 PSDM의 회귀 매개 변수는 특정 손상 상태에 도달할 확률을 정의하는 지진 취약도 함수의 입력 변수로 직결된다.
본 연구에서는 위 회귀 분석 결과와 오차 성분을 바탕으로 로그 정규 분포를 따르는 지진 취약도 함수를 산정하였다. 지진 취약도 함수는 지반 운동 강도()에 대해 구조물이 특정 손상 상태()를 초과할 확률을 나타내는 곡선으로, 식 (6)과 같이 정의된다.
여기서 는 표준 누적 분포 함수이며, 본 연구에서는 입력 지진파의 최대 지반 가속도(PGA)를 강도 지표()로 적용하였다. 는 번째 손상 상태를 유발하는 지반 운동 강도의 중앙값을 의미하며, 이는 앞서 식 (5)에서 도출된 회귀 계수(a,b)와 각 손상 상태별 임계값 사이의 관계식을 역산하여 산출하였다.
지진 취약도 함수는 구조물의 파손 확률을 결정하는 중앙값뿐만 아니라, 해석 모델 및 재료의 불확실성을 나타내는 분산 값에 의해서도 결정된다. 이에 따라 지진 취약도 곡선의 경사도를 결정하는 전체 로그 표준편차()는 해석 과정에서 발생하는 다양한 불확실성을 포함하도록 식 (7)과 같이 정의하였다.
식 (7)에서 는 지반 운동의 변동성에 따른 구조물 응답의 불확실성을 의미하며, 는 손상 상태 정의의 불확실성, 는 구조물의 지진 내력 평가에 따른 불확실성을 나타낸다(FEMA, 2003).
앞서 결정된 중앙값()과 식 (7)에서 정의된 전체 로그 표준편차()를 식 (6)에 대입함으로써, Fig. 9와 같은 최종적인 지진 취약도 곡선을 도출하였다. 이는 앞서 설정한 실제 지진파의 3단계 스케일링에 따른 손상 초과 확률을 나타낸다. 각 손상 상태별 누적 분포 함수에서 손상 확률 10%에 해당하는 PGA 값인 와, 표준 편차인 는 Table 7에서 제시하였다. 이를 통해 지진 강도 증가에 따른 터널의 단계별 파손 확률을 정량적으로 확인할 수 있다.
Table 7.
Seismic fragility parameters for case 4
| PGA at 10% probability of exceedance | β | ||
| Minor | Moderate | Extensive | |
| 0.484 | 0.706 | 0.977 | 0.821 |
파쇄대 지반에 위치한 터널 구조물의 지진 취약도 곡선을 분석한 결과, 10%의 손상 발생 확률을 나타내는 PGA 임계값은 손상 등급별로 각각 0.48g(Minor), 0.71g (Moderate), 0.98g(Extensive)으로 산정되었다. 이러한 분석 결과는 매우 강한 강진이 발생할 경우 구조물에 임계치를 넘어서는 유의미한 손상이 초래될 수 있을 것으로 판단된다. 결과적으로 일반적인 토사 지반에 비해서는 상대적으로 안정적인 거동을 보이지만, 대규모 지진 발생 시 구조물의 파손 위험을 배재할 수 없으므로 구조물의 안전성을 완전히 보장하기에는 한계가 있음을 시사한다.
5. 결 론
본 연구에서는 암반 지반에 위치한 국내 비개착식 터널의 동적 거동을 분석하며 구조적 안전성을 정량적으로 평가하기 위하여 동적 수치해석을 모델링하였으며, 이를 통해 지진 취약도 함수를 개발하였다. OpenSees를 활용하여 2차원 동적 해석 모델을 구축하였으며, 국내 암반 조건을 경암(Case 1)부터 파쇄대(Case 4)까지 4가지로 분류하여 해석을 진행하였다. 또한 국내외 실지진파 40개를 세가지 강도 수준으로 선형 스케일링하여, 암반 강성과 지진 강도가 터널 라이닝의 휨 모멘트 응답에 미치는 영향을 분석하였다.
가속도 응답 해석 결과, 모든 Case에 대해 대상 지반이 모두 암반으로 구성되어 있어 기반암과의 물리적 성질 차이가 작아 지진파의 뚜렷한 증폭 현상은 관측되지 않았다.
마제형 터널 라이닝에 작용하는 휨모멘트 분포를 분석한 결과, 단면 형상의 기하학적 불연속성으로 인해 응력 집중이 발생하는 측벽-인버트 접합부에서 최대 응답이 관측되었으며, 이를 근거로 해당 지점을 핵심 계측 지점으로 선정하였다.
대표 지진파에 대한 가속도 응답 분석 결과, 주변 암반의 강성이 저하될수록 라이닝의 휨모멘트 응답이 증가하는 경향을 보였다. 이는 암반의 강성이 낮을수록 지진 시 지반 자체의 변형이 크게 발생하며, 주변 지반의 거동에 구속되어 일체로 변형되는 비개착식 터널의 동적 특성상 지반의 변형 에너지가 라이닝으로 전이되어 작용 하중을 증대시킨 결과로 판단된다.
전체 지반 케이스 및 입력 지진파 시나리오에 따른 총 120회의 동적 해석 결과와 국내 설계 기준에 따른 설계 휨강도를 비교 검토한 결과, 파쇄대 지반(Case 4)의 경우 총 17개 케이스에서 설계 한계치를 초과하는 응답이 도출되었으며, 이는 타 지층 조건 대비 현저히 높은 구조적 취약성을 나타냈다.
이러한 수치 해석 결과를 통계적으로 정량화하기 위해 확률적 지진 요구 모델(PSDM)을 수립하였으며, 로그 공간상의 선형 회귀 분석을 통해 지반 운동 강도(PGA)와 손상 지수(DI)간의 상관관계를 규명하였다. 최종적으로 구축된 PSDM 매개변수와 손상 임계값을 로그 정규 누적 분포 함수에 결합하고, 지반 운동의 변동성 및 내력 평가의 불확실성을 종합적으로 고려한 전체 로그 표준편차를 산정함으로써 파쇄대 구간의 지진 취약도 곡선을 도출하였다.
분석 결과, 10%의 손상 발생 확률을 나타내는 PGA 임계값이 손상 등급별로 각각 0.48g(Minor), 0.71g(Moderate), 0.98g(Extensive)으로 산정되었으며, 이는 파쇄대 구간에 대해 확률론적 관점에서의 정밀한 내진 안전성 평가와 그에 따른 보강 대책 수립이 필수적임을 시사한다. 본 연구의 성과는 향후 지하 터널의 내진 성능 기반 설계 및 유지 관리를 위한 정량적 근거 자료로 활용될 수 있을 것으로 기대된다.











